Assessing and Managing Primary Hyperparathyroidism and Fracture Risk in England: A Survey of Medical Professionals.

IF 3.1 Q2 ENDOCRINOLOGY & METABOLISM
Journal of the Endocrine Society Pub Date : 2025-01-28 eCollection Date: 2025-01-06 DOI:10.1210/jendso/bvae225
Kaiyang Song, Rohit Vijjhalwar, Mo Aye, Alexander N Comninos, Marian Schini, Afroze Abbas, Neil Gittoes, Muhammad Kassim Javaid
{"title":"Assessing and Managing Primary Hyperparathyroidism and Fracture Risk in England: A Survey of Medical Professionals.","authors":"Kaiyang Song, Rohit Vijjhalwar, Mo Aye, Alexander N Comninos, Marian Schini, Afroze Abbas, Neil Gittoes, Muhammad Kassim Javaid","doi":"10.1210/jendso/bvae225","DOIUrl":null,"url":null,"abstract":"<p><strong>Purpose: </strong>To describe diagnostic approaches and management strategies for patients with primary hyperparathyroidism (PHPT) and recent fracture in England.</p><p><strong>Methods: </strong>We developed a survey based on a patient at high fracture risk and a new diagnosis of probable PHPT. The survey was circulated among 50 secondary care professionals identified by the Society for Endocrinology Calcium and Bone special interest group. Descriptive statistics, combinatorial, and thematic analyses were employed.</p><p><strong>Results: </strong>In the patient with hyperparathyroidism and a recent fracture, 54% of respondents favoured a 24-hour urinary calcium: creatinine clearance ratio, with 85% opting to do so after correcting vitamin D levels. Thirty-two percent (16/50) preferred the spot urinary calcium:creatinine clearance ratio, as a random test (56%, n = 9/16). Ninety-six percent of the respondents agreed they would include a fracture risk assessment in their management plan. Eighty-five percent of the respondents selected dual-energy X-ray absorptiometry scans of the lumbar spine, total hip, and femoral neck as the most popular choice. Before initiating antiosteoporotic medications (AOMs), 94% of the respondents preferred correcting vitamin D levels with diverse regimens. IV zoledronate acid was the preferred AOM, and 58% (n = 29/50) supported cinacalcet usage if the patient was ineligible for parathyroid surgery, while 26% (n = 13/50) opposed cinacalcet use entirely. No significant correlation was found between status as an endocrinology consultant or working in a tertiary care hospital and these management preferences.</p><p><strong>Main conclusion: </strong>This study of National Health Service medical staff identified highly-varied clinical practices in managing PHPT in the setting of high fracture risk, highlighting the need for pragmatic guidelines and wider education.</p>","PeriodicalId":17334,"journal":{"name":"Journal of the Endocrine Society","volume":"9 2","pages":"bvae225"},"PeriodicalIF":3.1000,"publicationDate":"2025-01-28","publicationTypes":"Journal Article","fieldsOfStudy":null,"isOpenAccess":false,"openAccessPdf":"https://www.ncbi.nlm.nih.gov/pmc/articles/PMC11772554/pdf/","citationCount":"0","resultStr":null,"platform":"Semanticscholar","paperid":null,"PeriodicalName":"Journal of the Endocrine Society","FirstCategoryId":"1085","ListUrlMain":"https://doi.org/10.1210/jendso/bvae225","RegionNum":0,"RegionCategory":null,"ArticlePicture":[],"TitleCN":null,"AbstractTextCN":null,"PMCID":null,"EPubDate":"2025/1/6 0:00:00","PubModel":"eCollection","JCR":"Q2","JCRName":"ENDOCRINOLOGY & METABOLISM","Score":null,"Total":0}
引用次数: 0

Abstract

Purpose: To describe diagnostic approaches and management strategies for patients with primary hyperparathyroidism (PHPT) and recent fracture in England.

Methods: We developed a survey based on a patient at high fracture risk and a new diagnosis of probable PHPT. The survey was circulated among 50 secondary care professionals identified by the Society for Endocrinology Calcium and Bone special interest group. Descriptive statistics, combinatorial, and thematic analyses were employed.

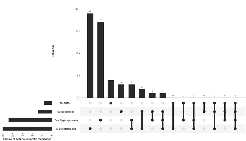
Results: In the patient with hyperparathyroidism and a recent fracture, 54% of respondents favoured a 24-hour urinary calcium: creatinine clearance ratio, with 85% opting to do so after correcting vitamin D levels. Thirty-two percent (16/50) preferred the spot urinary calcium:creatinine clearance ratio, as a random test (56%, n = 9/16). Ninety-six percent of the respondents agreed they would include a fracture risk assessment in their management plan. Eighty-five percent of the respondents selected dual-energy X-ray absorptiometry scans of the lumbar spine, total hip, and femoral neck as the most popular choice. Before initiating antiosteoporotic medications (AOMs), 94% of the respondents preferred correcting vitamin D levels with diverse regimens. IV zoledronate acid was the preferred AOM, and 58% (n = 29/50) supported cinacalcet usage if the patient was ineligible for parathyroid surgery, while 26% (n = 13/50) opposed cinacalcet use entirely. No significant correlation was found between status as an endocrinology consultant or working in a tertiary care hospital and these management preferences.

Main conclusion: This study of National Health Service medical staff identified highly-varied clinical practices in managing PHPT in the setting of high fracture risk, highlighting the need for pragmatic guidelines and wider education.

Abstract Image

Abstract Image

评估和管理原发性甲状旁腺功能亢进和骨折风险在英格兰:一项调查的医疗专业人员。
目的:描述英国原发性甲状旁腺功能亢进(PHPT)合并近期骨折患者的诊断方法和治疗策略。方法:我们对一名高骨折风险患者进行了调查,并对可能的PHPT进行了新的诊断。这项调查是在内分泌学会钙和骨特别兴趣小组确定的50名二级保健专业人员中进行的。采用描述性统计、组合分析和专题分析。结果:在甲状旁腺功能亢进和近期骨折的患者中,54%的受访者倾向于24小时尿钙:肌酐清除率,85%的人选择在纠正维生素D水平后这样做。32%(16/50)的人更喜欢用尿钙:肌酐清除率作为随机测试(56%,n = 9/16)。96%的受访者同意将骨折风险评估纳入管理计划。85%的受访者选择双能x线吸收仪扫描腰椎、全髋关节和股骨颈是最受欢迎的选择。在开始服用抗骨质疏松药物(AOMs)之前,94%的受访者倾向于用不同的方案来纠正维生素D水平。静脉注射唑来膦酸是首选的AOM, 58% (n = 29/50)的患者支持在不适合甲状旁腺手术的情况下使用cinacalcet,而26% (n = 13/50)的患者完全反对使用cinacalcet。作为内分泌咨询师或在三级保健医院工作的身份与这些管理偏好之间没有发现显著的相关性。主要结论:这项对国民健康服务医务人员的研究发现,在高骨折风险的情况下,管理PHPT的临床实践差异很大,强调了实用指南和广泛教育的必要性。
本文章由计算机程序翻译,如有差异,请以英文原文为准。
求助全文
约1分钟内获得全文 求助全文
来源期刊
Journal of the Endocrine Society
Journal of the Endocrine Society Medicine-Endocrinology, Diabetes and Metabolism
CiteScore
5.50
自引率
0.00%
发文量
2039
审稿时长
9 weeks
×
引用
GB/T 7714-2015
复制
MLA
复制
APA
复制
导出至
BibTeX EndNote RefMan NoteFirst NoteExpress
×
提示
您的信息不完整,为了账户安全,请先补充。
现在去补充
×
提示
您因"违规操作"
具体请查看互助需知
我知道了
×
提示
确定
请完成安全验证×
copy
已复制链接
快去分享给好友吧!
我知道了
右上角分享
点击右上角分享
0
联系我们:info@booksci.cn Book学术提供免费学术资源搜索服务,方便国内外学者检索中英文文献。致力于提供最便捷和优质的服务体验。 Copyright © 2023 布克学术 All rights reserved.
京ICP备2023020795号-1
ghs 京公网安备 11010802042870号
Book学术文献互助
Book学术文献互助群
群 号:604180095
Book学术官方微信