The complexities of elexacaftor/tezacaftor/ivacaftor therapeutic drug monitoring in a person with cystic fibrosis and Mycobacterium abscessus pulmonary disease.

IF 1.4 Q3 RESPIRATORY SYSTEM
European Clinical Respiratory Journal Pub Date : 2025-01-24 eCollection Date: 2025-01-01 DOI:10.1080/20018525.2025.2458341
Claire Y Mou, Daniel J Henderson, Angela G Matson, Karen M Herd, David W Reid, Timothy Riddles, Ellie Johnson, Brett McWhinney, Rebecca Swenson, Andrew Burke, Ieuan E S Evans
{"title":"The complexities of elexacaftor/tezacaftor/ivacaftor therapeutic drug monitoring in a person with cystic fibrosis and <i>Mycobacterium abscessus</i> pulmonary disease.","authors":"Claire Y Mou, Daniel J Henderson, Angela G Matson, Karen M Herd, David W Reid, Timothy Riddles, Ellie Johnson, Brett McWhinney, Rebecca Swenson, Andrew Burke, Ieuan E S Evans","doi":"10.1080/20018525.2025.2458341","DOIUrl":null,"url":null,"abstract":"<p><p>Therapeutic drug monitoring (TDM) of elexacaftor/tezacaftor/ivacaftor (ETI) remains challenging due to a lack of clarity around the parameters that govern ETI plasma concentrations, whilst the use of concomitant CYP3A inducers rifabutin and rifampicin is not recommended. We present the complexities of TDM for ETI performed in a person with cystic fibrosis and refractory <i>Mycobacterium abscessus</i> pulmonary disease. Utilising National Association of Testing Authorities (NATA) accredited assays and target considerations published by the Therapeutic Goods Administration (TGA), Australia, ETI plasma concentration variability was monitored over the course of an acute admission with added complexity from an antibiotic regimen including rifabutin, a moderate cytochrome P450 3A (CYP3A) inducer, and clofazimine, a mild CYP3A inhibitor. This case highlights the challenges surrounding ETI TDM in the context of acute severe illness, malnutrition, chronic infection, and drug-to-drug interactions. The marked clinical improvement seen, alongside sustained ETI plasma concentrations and suppressed sweat chloride levels on serial testing, provided reassurance of the use of ETI and rifabutin concomitantly in this case, and highlights the potential utility of TDM in helping guide clinical practice. Though a current barrier to the application of TDM includes ETI only being available as a fixed dose combination.</p>","PeriodicalId":11872,"journal":{"name":"European Clinical Respiratory Journal","volume":"12 1","pages":"2458341"},"PeriodicalIF":1.4000,"publicationDate":"2025-01-24","publicationTypes":"Journal Article","fieldsOfStudy":null,"isOpenAccess":false,"openAccessPdf":"https://www.ncbi.nlm.nih.gov/pmc/articles/PMC11770854/pdf/","citationCount":"0","resultStr":null,"platform":"Semanticscholar","paperid":null,"PeriodicalName":"European Clinical Respiratory Journal","FirstCategoryId":"1085","ListUrlMain":"https://doi.org/10.1080/20018525.2025.2458341","RegionNum":0,"RegionCategory":null,"ArticlePicture":[],"TitleCN":null,"AbstractTextCN":null,"PMCID":null,"EPubDate":"2025/1/1 0:00:00","PubModel":"eCollection","JCR":"Q3","JCRName":"RESPIRATORY SYSTEM","Score":null,"Total":0}
引用次数: 0

Abstract

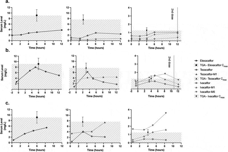
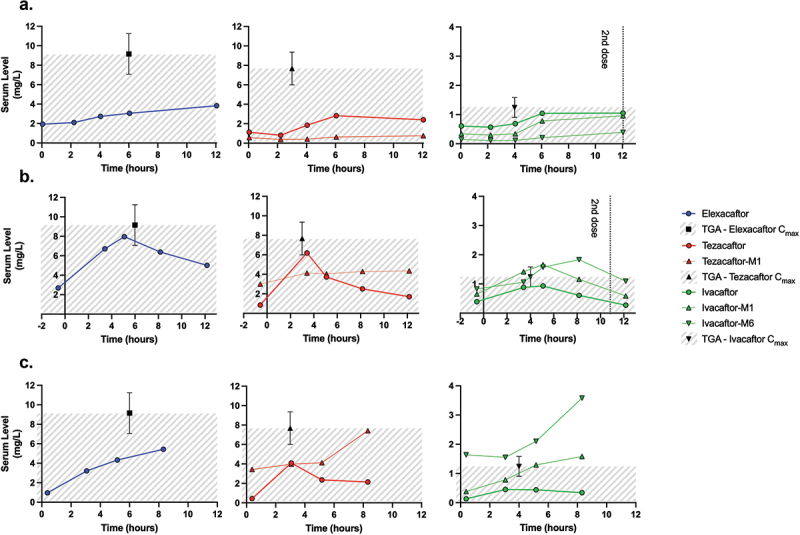
Therapeutic drug monitoring (TDM) of elexacaftor/tezacaftor/ivacaftor (ETI) remains challenging due to a lack of clarity around the parameters that govern ETI plasma concentrations, whilst the use of concomitant CYP3A inducers rifabutin and rifampicin is not recommended. We present the complexities of TDM for ETI performed in a person with cystic fibrosis and refractory Mycobacterium abscessus pulmonary disease. Utilising National Association of Testing Authorities (NATA) accredited assays and target considerations published by the Therapeutic Goods Administration (TGA), Australia, ETI plasma concentration variability was monitored over the course of an acute admission with added complexity from an antibiotic regimen including rifabutin, a moderate cytochrome P450 3A (CYP3A) inducer, and clofazimine, a mild CYP3A inhibitor. This case highlights the challenges surrounding ETI TDM in the context of acute severe illness, malnutrition, chronic infection, and drug-to-drug interactions. The marked clinical improvement seen, alongside sustained ETI plasma concentrations and suppressed sweat chloride levels on serial testing, provided reassurance of the use of ETI and rifabutin concomitantly in this case, and highlights the potential utility of TDM in helping guide clinical practice. Though a current barrier to the application of TDM includes ETI only being available as a fixed dose combination.

Abstract Image

Abstract Image

Abstract Image

囊性纤维化和脓肿分枝杆菌肺部疾病患者elexaftor /tezacaftor/ivacaftor治疗药物监测的复杂性
由于控制ETI血浆浓度的参数缺乏明确性,elexaftor /tezacaftor/ivacaftor (ETI)的治疗药物监测(TDM)仍然具有挑战性,同时不建议同时使用CYP3A诱导剂利福平和利福平。我们提出的复杂性TDM进行ETI患者囊性纤维化和难治性脓肿分枝杆菌肺疾病。利用国家检测机构协会(NATA)认可的检测方法和澳大利亚治疗用品管理局(TGA)发布的靶标考虑,在急性入院过程中监测ETI血浆浓度变动性,并增加抗生素方案的复杂性,包括利福布汀,一种中度细胞色素P450 3A (CYP3A)诱导剂,和氯法齐明,一种轻度CYP3A抑制剂。本病例突出了在急性重症、营养不良、慢性感染和药物间相互作用的背景下,ETI TDM所面临的挑战。观察到的显著临床改善,以及连续测试中持续的ETI血浆浓度和抑制的汗液氯化物水平,为在这种情况下使用ETI和利法布汀提供了保证,并强调了TDM在帮助指导临床实践中的潜在效用。虽然目前TDM应用的障碍包括ETI只能作为固定剂量组合使用。
本文章由计算机程序翻译,如有差异,请以英文原文为准。
求助全文
约1分钟内获得全文 求助全文
来源期刊
CiteScore
3.80
自引率
0.00%
发文量
15
审稿时长
16 weeks
×
引用
GB/T 7714-2015
复制
MLA
复制
APA
复制
导出至
BibTeX EndNote RefMan NoteFirst NoteExpress
×
提示
您的信息不完整,为了账户安全,请先补充。
现在去补充
×
提示
您因"违规操作"
具体请查看互助需知
我知道了
×
提示
确定
请完成安全验证×
copy
已复制链接
快去分享给好友吧!
我知道了
右上角分享
点击右上角分享
0
联系我们:info@booksci.cn Book学术提供免费学术资源搜索服务,方便国内外学者检索中英文文献。致力于提供最便捷和优质的服务体验。 Copyright © 2023 布克学术 All rights reserved.
京ICP备2023020795号-1
ghs 京公网安备 11010802042870号
Book学术文献互助
Book学术文献互助群
群 号:604180095
Book学术官方微信