The Predictive Value of a Nomogram Based on Ultrasound Radiomics, Clinical Factors, and Enhanced Ultrasound Features for Central Lymph Node Metastasis in Papillary Thyroid Microcarcinoma.

IF 2.5 4区 医学 Q1 ACOUSTICS
Ultrasonic Imaging Pub Date : 2025-03-01 Epub Date: 2025-01-27 DOI:10.1177/01617346251313982
Lei Gao, Xiuli Wen, Guanghui Yue, Hui Wang, Ziqing Lu, Beibei Wu, Zhihong Liu, Yuming Wu, Dongmei Lin, Shijian Yi, Wei Jiang, Yi Hao
{"title":"The Predictive Value of a Nomogram Based on Ultrasound Radiomics, Clinical Factors, and Enhanced Ultrasound Features for Central Lymph Node Metastasis in Papillary Thyroid Microcarcinoma.","authors":"Lei Gao, Xiuli Wen, Guanghui Yue, Hui Wang, Ziqing Lu, Beibei Wu, Zhihong Liu, Yuming Wu, Dongmei Lin, Shijian Yi, Wei Jiang, Yi Hao","doi":"10.1177/01617346251313982","DOIUrl":null,"url":null,"abstract":"<p><p>This study aims to establish and validate an ultrasound radiomics nomogram for preoperative prediction of central lymph node metastasis in papillary thyroid microcarcinoma (PTMC) before operation. A retrospective analysis conducted on ultrasonic images and clinical features derived from 288 PTMC patients, who were divided into training cohorts (<i>n</i> = 201) and validating cohorts (<i>n</i> = 87) in a ratio of 7:3 base on the principle of random allocation. Radiomics features were extracted from the PTMC patients after ultrasonic examination, followed by dimension reduction and characteristic selection to construct the radiomics score (Radscore) using LASSO regression analysis. Subsequently, the models, ultrasound features plus clinical features (US-Clin), radiomics score model, and combined model of clinical features plus ultrasound features and Radscore (Combined-model) were built through multi-factor logistic regression analysis. After that, the nomograms were developed for visualization and presentation of these models. The discriminative power, calibration and clinical utility of the nomogram models were evaluated in the training and validating cohorts. The Radscore model comprised 12 carefully selected features. The independent risk factors for conventional ultrasound features and clinical features of PTMC in predicting CLNM included age <45 years, tumor envelope invasion, male gender and presence of microcalcifications, while the enhanced ultrasound features risk factor was extrathyroidal expansion. The combined model showed good performance in predicting PTMC CLNM, with AUCs of 0.921 and 0.889 in the training and validating cohorts, respectively. And DCA based on the prediction model showed good clinical utility. The nomogram developed based on preoperative clinical data, ultrasound features, and Radscore of PTMC patients can more accurately predict central lymph node metastasis (CLNM) in PTMC patients. However, it needs to be validated for clinical applicability in multicenter studies with larger sample sizes and combined with genomic mutation analyses of the tumors.</p>","PeriodicalId":49401,"journal":{"name":"Ultrasonic Imaging","volume":" ","pages":"93-103"},"PeriodicalIF":2.5000,"publicationDate":"2025-03-01","publicationTypes":"Journal Article","fieldsOfStudy":null,"isOpenAccess":false,"openAccessPdf":"https://www.ncbi.nlm.nih.gov/pmc/articles/PMC11783986/pdf/","citationCount":"0","resultStr":null,"platform":"Semanticscholar","paperid":null,"PeriodicalName":"Ultrasonic Imaging","FirstCategoryId":"5","ListUrlMain":"https://doi.org/10.1177/01617346251313982","RegionNum":4,"RegionCategory":"医学","ArticlePicture":[],"TitleCN":null,"AbstractTextCN":null,"PMCID":null,"EPubDate":"2025/1/27 0:00:00","PubModel":"Epub","JCR":"Q1","JCRName":"ACOUSTICS","Score":null,"Total":0}
引用次数: 0

Abstract

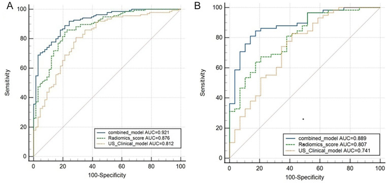
This study aims to establish and validate an ultrasound radiomics nomogram for preoperative prediction of central lymph node metastasis in papillary thyroid microcarcinoma (PTMC) before operation. A retrospective analysis conducted on ultrasonic images and clinical features derived from 288 PTMC patients, who were divided into training cohorts (n = 201) and validating cohorts (n = 87) in a ratio of 7:3 base on the principle of random allocation. Radiomics features were extracted from the PTMC patients after ultrasonic examination, followed by dimension reduction and characteristic selection to construct the radiomics score (Radscore) using LASSO regression analysis. Subsequently, the models, ultrasound features plus clinical features (US-Clin), radiomics score model, and combined model of clinical features plus ultrasound features and Radscore (Combined-model) were built through multi-factor logistic regression analysis. After that, the nomograms were developed for visualization and presentation of these models. The discriminative power, calibration and clinical utility of the nomogram models were evaluated in the training and validating cohorts. The Radscore model comprised 12 carefully selected features. The independent risk factors for conventional ultrasound features and clinical features of PTMC in predicting CLNM included age <45 years, tumor envelope invasion, male gender and presence of microcalcifications, while the enhanced ultrasound features risk factor was extrathyroidal expansion. The combined model showed good performance in predicting PTMC CLNM, with AUCs of 0.921 and 0.889 in the training and validating cohorts, respectively. And DCA based on the prediction model showed good clinical utility. The nomogram developed based on preoperative clinical data, ultrasound features, and Radscore of PTMC patients can more accurately predict central lymph node metastasis (CLNM) in PTMC patients. However, it needs to be validated for clinical applicability in multicenter studies with larger sample sizes and combined with genomic mutation analyses of the tumors.

Abstract Image

Abstract Image

Abstract Image

基于超声放射组学、临床因素和增强超声特征的Nomogram对甲状腺乳头状微癌中央淋巴结转移的预测价值。
本研究旨在建立并验证超声放射组学图术前预测甲状腺乳头状微癌(PTMC)中央淋巴结转移的方法。回顾性分析288例PTMC患者的超声影像及临床特征,按照随机分配原则,按7:3的比例分为训练组(n = 201)和验证组(n = 87)。超声检查后提取PTMC患者放射组学特征,进行降维和特征选择,采用LASSO回归分析构建放射组学评分(Radscore)。随后,通过多因素logistic回归分析,构建超声特征加临床特征(US-Clin)模型、放射组学评分模型、临床特征加超声特征和Radscore联合模型(combined -model)。之后,开发了用于这些模型的可视化和表示的nomogram。在训练组和验证组中评估nomogram models的辨别力、校正和临床应用。Radscore模型由12个精心挑选的特征组成。常规超声特征和PTMC临床特征预测CLNM的独立危险因素包括年龄
本文章由计算机程序翻译,如有差异,请以英文原文为准。
求助全文
约1分钟内获得全文 求助全文
来源期刊
Ultrasonic Imaging
Ultrasonic Imaging 医学-工程:生物医学
CiteScore
5.10
自引率
8.70%
发文量
15
审稿时长
>12 weeks
期刊介绍: Ultrasonic Imaging provides rapid publication for original and exceptional papers concerned with the development and application of ultrasonic-imaging technology. Ultrasonic Imaging publishes articles in the following areas: theoretical and experimental aspects of advanced methods and instrumentation for imaging
×
引用
GB/T 7714-2015
复制
MLA
复制
APA
复制
导出至
BibTeX EndNote RefMan NoteFirst NoteExpress
×
提示
您的信息不完整,为了账户安全,请先补充。
现在去补充
×
提示
您因"违规操作"
具体请查看互助需知
我知道了
×
提示
确定
请完成安全验证×
copy
已复制链接
快去分享给好友吧!
我知道了
右上角分享
点击右上角分享
0
联系我们:info@booksci.cn Book学术提供免费学术资源搜索服务,方便国内外学者检索中英文文献。致力于提供最便捷和优质的服务体验。 Copyright © 2023 布克学术 All rights reserved.
京ICP备2023020795号-1
ghs 京公网安备 11010802042870号
Book学术文献互助
Book学术文献互助群
群 号:604180095
Book学术官方微信