Evaluation of a surrogate virus neutralization assay for detecting neutralizing antibodies against SARS-CoV-2 in an African population.

IF 1.3 Q3 BIOCHEMICAL RESEARCH METHODS
Biology Methods and Protocols Pub Date : 2024-12-23 eCollection Date: 2025-01-01 DOI:10.1093/biomethods/bpae095
Lilian Nkinda, Victoria Shayo, Salim Masoud, Godfrey Barabona, Isaac Ngare, Ponsian P Kunambi, Emmanuel Nkuwi, Doreen Kamori, Frank Msafiri, Elisha Osati, Frank Eric Hassan, Juma Kisuse, Benson Kidenya, Sayoki Mfinanga, Mbazi Senkoro, Takamasa Ueno, Eligius Lyamuya, Emmanuel Balandya
{"title":"Evaluation of a surrogate virus neutralization assay for detecting neutralizing antibodies against SARS-CoV-2 in an African population.","authors":"Lilian Nkinda, Victoria Shayo, Salim Masoud, Godfrey Barabona, Isaac Ngare, Ponsian P Kunambi, Emmanuel Nkuwi, Doreen Kamori, Frank Msafiri, Elisha Osati, Frank Eric Hassan, Juma Kisuse, Benson Kidenya, Sayoki Mfinanga, Mbazi Senkoro, Takamasa Ueno, Eligius Lyamuya, Emmanuel Balandya","doi":"10.1093/biomethods/bpae095","DOIUrl":null,"url":null,"abstract":"<p><p>The global resurgence of coronaviruses and the move to incorporate COVID-19 vaccines into the expanded program for immunization have warranted for a high-throughput and low-cost assay to measure and quantify mounted neutralizing antibodies as an indicator for protection against SARS-CoV-2. Hence, we evaluated the surrogate-virus-neutralization-assay (sVNT) as an alternative assay to the pseudo-virus neutralization assay (pVNT). The sVNT was used to measure neutralizing antibodies among 119 infected and/or vaccinated blood samples, against wild-type SARS-CoV-2 (WT) and the Omicron-variant with reference to the pVNT. Four different cut-offs were assessed for suitability in distinguishing neutralizers: the manufacturer (>30%), literature-based (>50%) and (>80%), and population-based (>27.69%). The obtained data was analyzed using \"R\" through its integrated development environments; JAMOV and R-Studio. Using the WT strain, only the population-based cut-off was able to differentiate neutralizers from non-neutralizers beyond chance, with an area under the curve (AUC) of 0.833 (95%CI, 0.505-1.0; <i>P</i> = .049). Applying the population-based cut-off, improved the sensitivity to 100% from 91.4% obtained from the manufacturer cut-off (<i>P</i> = .002). However, the specificity remained low (67%). The negative-predictive-value also improved to 100% vs 16.4% (<i>P</i> = .006), but there was no difference in the positive-predictive-value (99.1% vs 99.1%) (<i>P</i> = .340). When we used the Omicron-variant, the sVNT titers were not able to predict the neutralizers and non-neutralizers with reference to pVNT (AUC of 0.649) (<i>P</i> = .221). The sVNT assay is a potential alternative for screening individuals harboring potent neutralizing antibody with high sensitivity, although we recommend continuous improvement of the assay in line with the viral mutations. Further, we recommend that individual users establish a population-based cut-off while using the sVNT assay.</p>","PeriodicalId":36528,"journal":{"name":"Biology Methods and Protocols","volume":"10 1","pages":"bpae095"},"PeriodicalIF":1.3000,"publicationDate":"2024-12-23","publicationTypes":"Journal Article","fieldsOfStudy":null,"isOpenAccess":false,"openAccessPdf":"https://www.ncbi.nlm.nih.gov/pmc/articles/PMC11769676/pdf/","citationCount":"0","resultStr":null,"platform":"Semanticscholar","paperid":null,"PeriodicalName":"Biology Methods and Protocols","FirstCategoryId":"1085","ListUrlMain":"https://doi.org/10.1093/biomethods/bpae095","RegionNum":0,"RegionCategory":null,"ArticlePicture":[],"TitleCN":null,"AbstractTextCN":null,"PMCID":null,"EPubDate":"2025/1/1 0:00:00","PubModel":"eCollection","JCR":"Q3","JCRName":"BIOCHEMICAL RESEARCH METHODS","Score":null,"Total":0}
引用次数: 0

Abstract

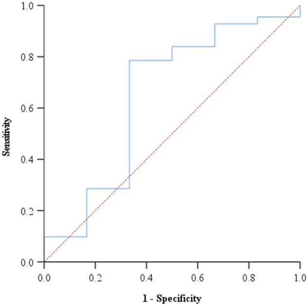
The global resurgence of coronaviruses and the move to incorporate COVID-19 vaccines into the expanded program for immunization have warranted for a high-throughput and low-cost assay to measure and quantify mounted neutralizing antibodies as an indicator for protection against SARS-CoV-2. Hence, we evaluated the surrogate-virus-neutralization-assay (sVNT) as an alternative assay to the pseudo-virus neutralization assay (pVNT). The sVNT was used to measure neutralizing antibodies among 119 infected and/or vaccinated blood samples, against wild-type SARS-CoV-2 (WT) and the Omicron-variant with reference to the pVNT. Four different cut-offs were assessed for suitability in distinguishing neutralizers: the manufacturer (>30%), literature-based (>50%) and (>80%), and population-based (>27.69%). The obtained data was analyzed using "R" through its integrated development environments; JAMOV and R-Studio. Using the WT strain, only the population-based cut-off was able to differentiate neutralizers from non-neutralizers beyond chance, with an area under the curve (AUC) of 0.833 (95%CI, 0.505-1.0; P = .049). Applying the population-based cut-off, improved the sensitivity to 100% from 91.4% obtained from the manufacturer cut-off (P = .002). However, the specificity remained low (67%). The negative-predictive-value also improved to 100% vs 16.4% (P = .006), but there was no difference in the positive-predictive-value (99.1% vs 99.1%) (P = .340). When we used the Omicron-variant, the sVNT titers were not able to predict the neutralizers and non-neutralizers with reference to pVNT (AUC of 0.649) (P = .221). The sVNT assay is a potential alternative for screening individuals harboring potent neutralizing antibody with high sensitivity, although we recommend continuous improvement of the assay in line with the viral mutations. Further, we recommend that individual users establish a population-based cut-off while using the sVNT assay.

Abstract Image

Abstract Image

在非洲人群中检测SARS-CoV-2中和抗体的替代病毒中和试验的评价
冠状病毒在全球的死灰复燃,以及将COVID-19疫苗纳入扩大免疫规划的举措,需要一种高通量和低成本的检测方法,以测量和量化已安装的中和抗体,作为预防SARS-CoV-2的指标。因此,我们评估了替代病毒中和试验(sVNT)作为伪病毒中和试验(pVNT)的替代试验。使用sVNT检测119份感染和/或接种的血液样本中针对野生型SARS-CoV-2 (WT)和参照pVNT的omicron变体的中和抗体。评估了四个不同的临界值来区分中和剂的适用性:制造商(>30%),基于文献(>50%)和(>80%),以及基于人群(>27.69%)。通过集成开发环境,使用“R”对获得的数据进行分析;JAMOV和R-Studio。使用WT菌株,只有基于种群的截止值能够区分中和剂和非中和剂,其曲线下面积(AUC)为0.833 (95%CI, 0.505-1.0;p = .049)。应用基于人群的临界值,将灵敏度从从制造商临界值获得的91.4%提高到100% (P = 0.002)。然而,特异性仍然很低(67%)。阴性预测值也提高到100% vs 16.4% (P = 0.006),但阳性预测值无差异(99.1% vs 99.1%) (P = 0.340)。当我们使用Omicron-variant时,sVNT滴度不能以pVNT为参考预测中和剂和非中和剂(AUC为0.649)(P = 0.221)。sVNT检测是筛选具有高敏感性的强效中和抗体个体的潜在替代方法,尽管我们建议根据病毒突变不断改进检测方法。此外,我们建议个人用户在使用sVNT检测时建立基于人群的临界值。
本文章由计算机程序翻译,如有差异,请以英文原文为准。
求助全文
约1分钟内获得全文 求助全文
来源期刊
Biology Methods and Protocols
Biology Methods and Protocols Agricultural and Biological Sciences-Agricultural and Biological Sciences (all)
CiteScore
3.80
自引率
2.80%
发文量
28
审稿时长
19 weeks
×
引用
GB/T 7714-2015
复制
MLA
复制
APA
复制
导出至
BibTeX EndNote RefMan NoteFirst NoteExpress
×
提示
您的信息不完整,为了账户安全,请先补充。
现在去补充
×
提示
您因"违规操作"
具体请查看互助需知
我知道了
×
提示
确定
请完成安全验证×
copy
已复制链接
快去分享给好友吧!
我知道了
右上角分享
点击右上角分享
0
联系我们:info@booksci.cn Book学术提供免费学术资源搜索服务,方便国内外学者检索中英文文献。致力于提供最便捷和优质的服务体验。 Copyright © 2023 布克学术 All rights reserved.
京ICP备2023020795号-1
ghs 京公网安备 11010802042870号
Book学术文献互助
Book学术文献互助群
群 号:604180095
Book学术官方微信