DDX21 Is a Potential Biomarker for Predicting Recurrence and Prognosis in Hepatocellular Carcinoma.

IF 2.7 4区 医学 Q3 CELL BIOLOGY
Analytical Cellular Pathology Pub Date : 2025-01-18 eCollection Date: 2025-01-01 DOI:10.1155/ancp/1018820
Chengjie Ji, Qing Zhong, Huilan Su, Xiaoli Xue, Renxiang Yang, Na Li
{"title":"DDX21 Is a Potential Biomarker for Predicting Recurrence and Prognosis in Hepatocellular Carcinoma.","authors":"Chengjie Ji, Qing Zhong, Huilan Su, Xiaoli Xue, Renxiang Yang, Na Li","doi":"10.1155/ancp/1018820","DOIUrl":null,"url":null,"abstract":"<p><p>DEAD-box helicase 21 (DDX21) is a conserved Asp-Glu-Ala-Asp (DEAD) box RNA helicase with multiple functions that is involved in various cellular processes and diseases. However, the role of DDX21 in the recurrence and prognosis of hepatocellular carcinoma (HCC) patients remains unknown. In the current study, we examined the protein expression of DDX21 in HCC tissues through immunohistochemical staining and analyzed the correlation between DDX21 protein expression and clinical outcome via Kaplan-Meier survival analysis. The Cox proportional hazards regression model was used to assess the interrelationships between the outcome and variable over time. Our results showed that increased expression of DDX21 protein was observed in HCC tissues compared with paracancerous tissues and was associated with advanced BCLC stage. Recurrent HCC patients had higher levels of DDX21 protein than nonrecurrent cases. Notably, DDX21 was an independent risk factor for predicting worse overall survival and recurrence-free survival in HCC patients. Furthermore, lack of DDX21 abated the growth and mobility of Hep3B cells. Taken together, our data highlight the clinical significance of DDX21 in the recurrence and prognosis of HCC patients and indicate that targeting DDX21 may represent an effective therapeutic strategy for the treatment of HCC.</p>","PeriodicalId":49326,"journal":{"name":"Analytical Cellular Pathology","volume":"2025 ","pages":"1018820"},"PeriodicalIF":2.7000,"publicationDate":"2025-01-18","publicationTypes":"Journal Article","fieldsOfStudy":null,"isOpenAccess":false,"openAccessPdf":"https://www.ncbi.nlm.nih.gov/pmc/articles/PMC11760617/pdf/","citationCount":"0","resultStr":null,"platform":"Semanticscholar","paperid":null,"PeriodicalName":"Analytical Cellular Pathology","FirstCategoryId":"3","ListUrlMain":"https://doi.org/10.1155/ancp/1018820","RegionNum":4,"RegionCategory":"医学","ArticlePicture":[],"TitleCN":null,"AbstractTextCN":null,"PMCID":null,"EPubDate":"2025/1/1 0:00:00","PubModel":"eCollection","JCR":"Q3","JCRName":"CELL BIOLOGY","Score":null,"Total":0}
引用次数: 0

Abstract

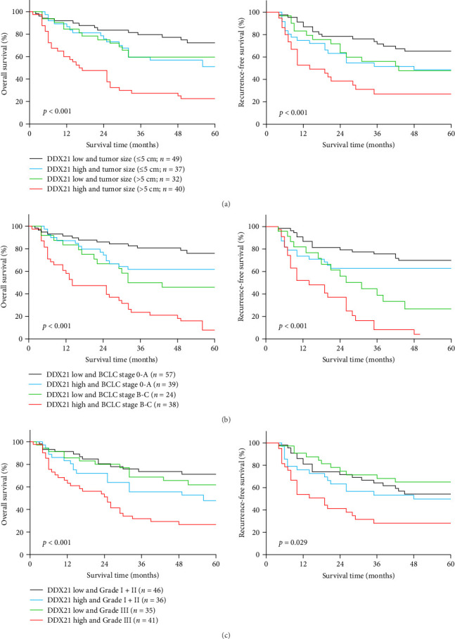
DEAD-box helicase 21 (DDX21) is a conserved Asp-Glu-Ala-Asp (DEAD) box RNA helicase with multiple functions that is involved in various cellular processes and diseases. However, the role of DDX21 in the recurrence and prognosis of hepatocellular carcinoma (HCC) patients remains unknown. In the current study, we examined the protein expression of DDX21 in HCC tissues through immunohistochemical staining and analyzed the correlation between DDX21 protein expression and clinical outcome via Kaplan-Meier survival analysis. The Cox proportional hazards regression model was used to assess the interrelationships between the outcome and variable over time. Our results showed that increased expression of DDX21 protein was observed in HCC tissues compared with paracancerous tissues and was associated with advanced BCLC stage. Recurrent HCC patients had higher levels of DDX21 protein than nonrecurrent cases. Notably, DDX21 was an independent risk factor for predicting worse overall survival and recurrence-free survival in HCC patients. Furthermore, lack of DDX21 abated the growth and mobility of Hep3B cells. Taken together, our data highlight the clinical significance of DDX21 in the recurrence and prognosis of HCC patients and indicate that targeting DDX21 may represent an effective therapeutic strategy for the treatment of HCC.

Abstract Image

Abstract Image

Abstract Image

DDX21是预测肝癌复发和预后的潜在生物标志物。
DEAD-box解旋酶21 (DDX21)是一种保守的Asp-Glu-Ala-Asp (DEAD) box RNA解旋酶,具有多种功能,参与多种细胞过程和疾病。然而,DDX21在肝细胞癌(HCC)患者复发和预后中的作用尚不清楚。在本研究中,我们通过免疫组化染色检测DDX21蛋白在HCC组织中的表达,并通过Kaplan-Meier生存分析分析DDX21蛋白表达与临床预后的相关性。Cox比例风险回归模型用于评估结果与变量之间随时间的相互关系。我们的研究结果显示,与癌旁组织相比,HCC组织中DDX21蛋白的表达增加,并且与BCLC晚期有关。复发HCC患者的DDX21蛋白水平高于非复发患者。值得注意的是,DDX21是预测HCC患者总生存期和无复发生存期较差的独立危险因素。此外,缺乏DDX21会降低Hep3B细胞的生长和移动性。综上所述,我们的数据突出了DDX21在HCC患者复发和预后中的临床意义,并表明靶向DDX21可能是治疗HCC的有效治疗策略。
本文章由计算机程序翻译,如有差异,请以英文原文为准。
求助全文
约1分钟内获得全文 求助全文
来源期刊
Analytical Cellular Pathology
Analytical Cellular Pathology ONCOLOGY-CELL BIOLOGY
CiteScore
4.90
自引率
3.10%
发文量
70
审稿时长
16 weeks
期刊介绍: Analytical Cellular Pathology is a peer-reviewed, Open Access journal that provides a forum for scientists, medical practitioners and pathologists working in the area of cellular pathology. The journal publishes original research articles, review articles, and clinical studies related to cytology, carcinogenesis, cell receptors, biomarkers, diagnostic pathology, immunopathology, and hematology.
×
引用
GB/T 7714-2015
复制
MLA
复制
APA
复制
导出至
BibTeX EndNote RefMan NoteFirst NoteExpress
×
提示
您的信息不完整,为了账户安全,请先补充。
现在去补充
×
提示
您因"违规操作"
具体请查看互助需知
我知道了
×
提示
确定
请完成安全验证×
copy
已复制链接
快去分享给好友吧!
我知道了
右上角分享
点击右上角分享
0
联系我们:info@booksci.cn Book学术提供免费学术资源搜索服务,方便国内外学者检索中英文文献。致力于提供最便捷和优质的服务体验。 Copyright © 2023 布克学术 All rights reserved.
京ICP备2023020795号-1
ghs 京公网安备 11010802042870号
Book学术文献互助
Book学术文献互助群
群 号:604180095
Book学术官方微信