Association between albumin corrected anion gap and in-hospital mortality in critically ill patients with chronic obstructive pulmonary disease.

IF 3 3区 医学 Q2 RESPIRATORY SYSTEM
Mohan Giri, Anju Puri, Lan Huang, Shuliang Guo
{"title":"Association between albumin corrected anion gap and in-hospital mortality in critically ill patients with chronic obstructive pulmonary disease.","authors":"Mohan Giri, Anju Puri, Lan Huang, Shuliang Guo","doi":"10.1177/17534666251315352","DOIUrl":null,"url":null,"abstract":"<p><strong>Background: </strong>The relationship between albumin-corrected anion gap (ACAG) and in-hospital mortality in critically ill patients with COPD remains unclear.</p><p><strong>Objective: </strong>This study investigated the association between ACAG levels and the risk of in-hospital mortality in critically ill patients with COPD.</p><p><strong>Design: </strong>A retrospective cohort study.</p><p><strong>Methods: </strong>This study uses data from the Medical Information Mart for Intensive Care (MIMIC-IV) database. The receiver operating characteristic (ROC) curve was used to determine the optimal threshold for ACAG, and participants were divided into two categories based on this threshold. The primary outcome was in-hospital mortality. We employed univariable and multivariable logistic regression analyses and Kaplan-Meier (KM) survival curves to assess the relationship between ACAG and the risk of in-hospital mortality. Moreover, subgroup analyses were conducted.</p><p><strong>Results: </strong>A total of 2121 patients (54.7% male) were enrolled in the study. The in-hospital mortality rate was 18.9%. In patients with elevated ACAG levels, the in-hospital mortality rate was significantly higher than in those with lower ACAG levels (27.7% vs 11.3%, <i>p</i> < 0.001). Multivariate logistic regression analysis indicated that even after mitigating for potential confounders, patients in the high ACAG group had significantly greater odds of in-hospital mortality across all models (Model I: OR = 3.000, 95% CI: 2.383-3.777, <i>p</i> < 0.001; Model II: OR = 3.021, 95% CI: 2.397-3.808, <i>p</i> < 0.001; Model III: OR = 1.916, 95% CI: 1.458-2.519, <i>p</i> < 0.001). Patients with elevated ACAG levels have more than twice the risk of in-hospital mortality compared to those with lower levels (hazard ratio (HR): 2.1277, 95% CI: 1.7490-2.5884).</p><p><strong>Conclusion: </strong>This study demonstrates that elevated ACAG levels are strongly associated with an increased risk of in-hospital mortality in critically ill COPD patients, suggesting that ACAG could serve as a potential predictor of adverse outcomes in this patient population.</p>","PeriodicalId":22884,"journal":{"name":"Therapeutic Advances in Respiratory Disease","volume":"19 ","pages":"17534666251315352"},"PeriodicalIF":3.0000,"publicationDate":"2025-01-01","publicationTypes":"Journal Article","fieldsOfStudy":null,"isOpenAccess":false,"openAccessPdf":"https://www.ncbi.nlm.nih.gov/pmc/articles/PMC11770725/pdf/","citationCount":"0","resultStr":null,"platform":"Semanticscholar","paperid":null,"PeriodicalName":"Therapeutic Advances in Respiratory Disease","FirstCategoryId":"3","ListUrlMain":"https://doi.org/10.1177/17534666251315352","RegionNum":3,"RegionCategory":"医学","ArticlePicture":[],"TitleCN":null,"AbstractTextCN":null,"PMCID":null,"EPubDate":"","PubModel":"","JCR":"Q2","JCRName":"RESPIRATORY SYSTEM","Score":null,"Total":0}
引用次数: 0

Abstract

Background: The relationship between albumin-corrected anion gap (ACAG) and in-hospital mortality in critically ill patients with COPD remains unclear.

Objective: This study investigated the association between ACAG levels and the risk of in-hospital mortality in critically ill patients with COPD.

Design: A retrospective cohort study.

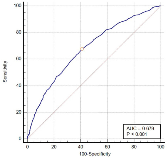
Methods: This study uses data from the Medical Information Mart for Intensive Care (MIMIC-IV) database. The receiver operating characteristic (ROC) curve was used to determine the optimal threshold for ACAG, and participants were divided into two categories based on this threshold. The primary outcome was in-hospital mortality. We employed univariable and multivariable logistic regression analyses and Kaplan-Meier (KM) survival curves to assess the relationship between ACAG and the risk of in-hospital mortality. Moreover, subgroup analyses were conducted.

Results: A total of 2121 patients (54.7% male) were enrolled in the study. The in-hospital mortality rate was 18.9%. In patients with elevated ACAG levels, the in-hospital mortality rate was significantly higher than in those with lower ACAG levels (27.7% vs 11.3%, p < 0.001). Multivariate logistic regression analysis indicated that even after mitigating for potential confounders, patients in the high ACAG group had significantly greater odds of in-hospital mortality across all models (Model I: OR = 3.000, 95% CI: 2.383-3.777, p < 0.001; Model II: OR = 3.021, 95% CI: 2.397-3.808, p < 0.001; Model III: OR = 1.916, 95% CI: 1.458-2.519, p < 0.001). Patients with elevated ACAG levels have more than twice the risk of in-hospital mortality compared to those with lower levels (hazard ratio (HR): 2.1277, 95% CI: 1.7490-2.5884).

Conclusion: This study demonstrates that elevated ACAG levels are strongly associated with an increased risk of in-hospital mortality in critically ill COPD patients, suggesting that ACAG could serve as a potential predictor of adverse outcomes in this patient population.

Abstract Image

Abstract Image

Abstract Image

慢性阻塞性肺疾病危重患者白蛋白校正阴离子间隙与住院死亡率的关系
背景:COPD危重患者白蛋白校正阴离子间隙(ACAG)与住院死亡率的关系尚不清楚。目的:探讨慢性阻塞性肺病危重患者ACAG水平与院内死亡风险的关系。设计:回顾性队列研究。方法:本研究使用重症监护医学信息市场(MIMIC-IV)数据库的数据。采用受试者工作特征(ROC)曲线确定ACAG的最佳阈值,并根据该阈值将受试者分为两类。主要终点是住院死亡率。我们采用单变量和多变量logistic回归分析和Kaplan-Meier (KM)生存曲线来评估ACAG与院内死亡风险之间的关系。并进行亚组分析。结果:共有2121例患者(男性54.7%)纳入研究。住院死亡率为18.9%。在ACAG水平升高的患者中,院内死亡率显著高于ACAG水平较低的患者(27.7% vs 11.3%, p p p p)。结论:本研究表明,ACAG水平升高与危重COPD患者院内死亡风险增加密切相关,提示ACAG可作为该患者人群不良结局的潜在预测因子。
本文章由计算机程序翻译,如有差异,请以英文原文为准。
求助全文
约1分钟内获得全文 求助全文
来源期刊
CiteScore
6.90
自引率
0.00%
发文量
57
审稿时长
15 weeks
期刊介绍: Therapeutic Advances in Respiratory Disease delivers the highest quality peer-reviewed articles, reviews, and scholarly comment on pioneering efforts and innovative studies across all areas of respiratory disease.
×
引用
GB/T 7714-2015
复制
MLA
复制
APA
复制
导出至
BibTeX EndNote RefMan NoteFirst NoteExpress
×
提示
您的信息不完整,为了账户安全,请先补充。
现在去补充
×
提示
您因"违规操作"
具体请查看互助需知
我知道了
×
提示
确定
请完成安全验证×
copy
已复制链接
快去分享给好友吧!
我知道了
右上角分享
点击右上角分享
0
联系我们:info@booksci.cn Book学术提供免费学术资源搜索服务,方便国内外学者检索中英文文献。致力于提供最便捷和优质的服务体验。 Copyright © 2023 布克学术 All rights reserved.
京ICP备2023020795号-1
ghs 京公网安备 11010802042870号
Book学术文献互助
Book学术文献互助群
群 号:604180095
Book学术官方微信