Treatment Inertia and Symptom Burden in Anemia of CKD: Insights from the SATISFY Survey in the Middle East, South Africa, and Türkiye.

IF 2.5 Q2 UROLOGY & NEPHROLOGY
Mustafa Arici, Saeed M G Al-Ghamdi, Alain G Assounga, Ahmed F El-Koraie, Abigail McMillan, Lucinda J Camidge, Budiwan Sumarsono, Martin Blogg, Daniel Bin Ng, Elvira P Lansang
{"title":"Treatment Inertia and Symptom Burden in Anemia of CKD: Insights from the SATISFY Survey in the Middle East, South Africa, and Türkiye.","authors":"Mustafa Arici, Saeed M G Al-Ghamdi, Alain G Assounga, Ahmed F El-Koraie, Abigail McMillan, Lucinda J Camidge, Budiwan Sumarsono, Martin Blogg, Daniel Bin Ng, Elvira P Lansang","doi":"10.2147/IJNRD.S474716","DOIUrl":null,"url":null,"abstract":"<p><strong>Introduction: </strong>Limited data exist regarding treatment patterns and symptom burden of patients with anemia of chronic kidney disease (CKD) in the Middle East, South Africa, and Türkiye.</p><p><strong>Methods: </strong>This real-world study explored clinical characteristics, symptom burden, and treatment patterns of patients with anemia of CKD living in the Middle East, South Africa, and Türkiye. Physician and patient perceptions of treatment were captured via cross-sectional surveys; patients' clinical characteristics were recorded by retrospective review of medical records.</p><p><strong>Results: </strong>Data were collected from 1788 patients and 217 physicians. A high proportion of patients had never received treatment for their anemia (n = 701, 39.2%); the most common treatment was erythropoietin-stimulating agents (ESAs) + intravenous iron (n = 457, 50.3%). High symptom burden was reported, with lack of energy being the most common symptom (n = 394, 75.6% treated and n = 133, 59.9% non-treated patients). Patients' self-reported symptom burden was higher than physician-reported burden; less agreement was seen for non-dialysis-dependent (NDD) patients (kappa = 0.193, standard deviation [SD]: 0.081) than dialysis-dependent (DD) patients (kappa = 0.442, SD: 0.103). Median hemoglobin thresholds that physicians reported using for initiating treatment (NDD: <10.5 [interquartile range, 9.5-12.0] g/dL; DD: <9.3 [9.0-10.0] g/dL) were higher than actual test levels at treatment initiation (NDD: 9.2 [8.7-10.0] g/dL; DD: 9.0 [8.1-10.0] g/dL).</p><p><strong>Conclusion: </strong>Treatment inertia is apparent despite high symptom burden in the Middle East, South Africa, and Türkiye, and disagreement was seen in physician and patient perspectives on symptomology. Improved awareness of this disagreement may help facilitate physician-patient dialogue to improve patient experience.</p>","PeriodicalId":14181,"journal":{"name":"International Journal of Nephrology and Renovascular Disease","volume":"18 ","pages":"27-42"},"PeriodicalIF":2.5000,"publicationDate":"2025-01-22","publicationTypes":"Journal Article","fieldsOfStudy":null,"isOpenAccess":false,"openAccessPdf":"https://www.ncbi.nlm.nih.gov/pmc/articles/PMC11766225/pdf/","citationCount":"0","resultStr":null,"platform":"Semanticscholar","paperid":null,"PeriodicalName":"International Journal of Nephrology and Renovascular Disease","FirstCategoryId":"1085","ListUrlMain":"https://doi.org/10.2147/IJNRD.S474716","RegionNum":0,"RegionCategory":null,"ArticlePicture":[],"TitleCN":null,"AbstractTextCN":null,"PMCID":null,"EPubDate":"2025/1/1 0:00:00","PubModel":"eCollection","JCR":"Q2","JCRName":"UROLOGY & NEPHROLOGY","Score":null,"Total":0}
引用次数: 0

Abstract

Introduction: Limited data exist regarding treatment patterns and symptom burden of patients with anemia of chronic kidney disease (CKD) in the Middle East, South Africa, and Türkiye.

Methods: This real-world study explored clinical characteristics, symptom burden, and treatment patterns of patients with anemia of CKD living in the Middle East, South Africa, and Türkiye. Physician and patient perceptions of treatment were captured via cross-sectional surveys; patients' clinical characteristics were recorded by retrospective review of medical records.

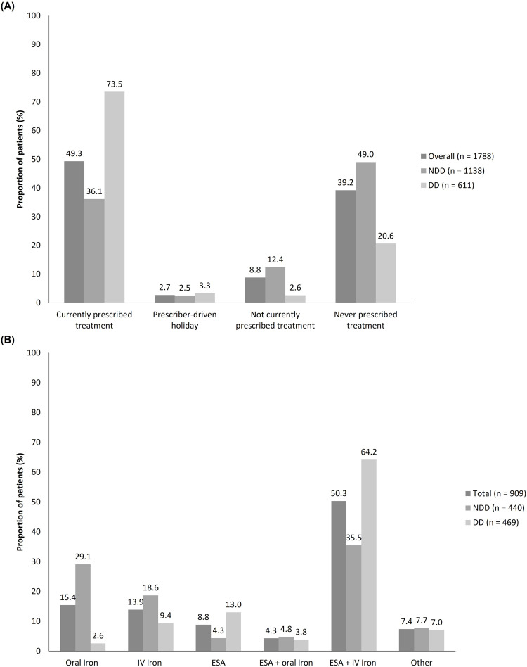
Results: Data were collected from 1788 patients and 217 physicians. A high proportion of patients had never received treatment for their anemia (n = 701, 39.2%); the most common treatment was erythropoietin-stimulating agents (ESAs) + intravenous iron (n = 457, 50.3%). High symptom burden was reported, with lack of energy being the most common symptom (n = 394, 75.6% treated and n = 133, 59.9% non-treated patients). Patients' self-reported symptom burden was higher than physician-reported burden; less agreement was seen for non-dialysis-dependent (NDD) patients (kappa = 0.193, standard deviation [SD]: 0.081) than dialysis-dependent (DD) patients (kappa = 0.442, SD: 0.103). Median hemoglobin thresholds that physicians reported using for initiating treatment (NDD: <10.5 [interquartile range, 9.5-12.0] g/dL; DD: <9.3 [9.0-10.0] g/dL) were higher than actual test levels at treatment initiation (NDD: 9.2 [8.7-10.0] g/dL; DD: 9.0 [8.1-10.0] g/dL).

Conclusion: Treatment inertia is apparent despite high symptom burden in the Middle East, South Africa, and Türkiye, and disagreement was seen in physician and patient perspectives on symptomology. Improved awareness of this disagreement may help facilitate physician-patient dialogue to improve patient experience.

Abstract Image

Abstract Image

Abstract Image

慢性肾病贫血的治疗惰性和症状负担:来自中东、南非和土耳其的调查。
在中东、南非和土耳其,关于慢性肾脏疾病(CKD)贫血患者的治疗模式和症状负担的数据有限。方法:这项现实世界的研究探讨了生活在中东、南非和土耳其的CKD贫血患者的临床特征、症状负担和治疗模式。通过横断面调查捕获了医生和患者对治疗的看法;通过回顾性查阅病历记录患者的临床特征。结果:共收集患者1788例,医生217例。较高比例的患者从未接受过贫血治疗(n = 701, 39.2%);最常见的治疗是促红细胞生成素(ESAs) +静脉注射铁(n = 457, 50.3%)。据报道,症状负担高,精力不足是最常见的症状(n = 394,接受治疗的75.6%,n = 133,未接受治疗的59.9%)。患者自我报告的症状负担高于医生报告的负担;非透析依赖(NDD)患者(kappa = 0.193,标准差[SD]: 0.081)的一致性低于透析依赖(DD)患者(kappa = 0.442, SD: 0.103)。结论:尽管中东、南非和土耳其的症状负担很高,但治疗惯性是明显的,医生和患者对症状的看法存在分歧。提高对这种分歧的认识可能有助于促进医患对话,以改善患者体验。
本文章由计算机程序翻译,如有差异,请以英文原文为准。
求助全文
约1分钟内获得全文 求助全文
来源期刊
CiteScore
3.90
自引率
5.00%
发文量
40
审稿时长
16 weeks
期刊介绍: International Journal of Nephrology and Renovascular Disease is an international, peer-reviewed, open-access journal focusing on the pathophysiology of the kidney and vascular supply. Epidemiology, screening, diagnosis, and treatment interventions are covered as well as basic science, biochemical and immunological studies. In particular, emphasis will be given to: -Chronic kidney disease- Complications of renovascular disease- Imaging techniques- Renal hypertension- Renal cancer- Treatment including pharmacological and transplantation- Dialysis and treatment of complications of dialysis and renal disease- Quality of Life- Patient satisfaction and preference- Health economic evaluations. The journal welcomes submitted papers covering original research, basic science, clinical studies, reviews & evaluations, guidelines, expert opinion and commentary, case reports and extended reports. The main focus of the journal will be to publish research and clinical results in humans but preclinical, animal and in vitro studies will be published where they shed light on disease processes and potential new therapies and interventions.
×
引用
GB/T 7714-2015
复制
MLA
复制
APA
复制
导出至
BibTeX EndNote RefMan NoteFirst NoteExpress
×
提示
您的信息不完整,为了账户安全,请先补充。
现在去补充
×
提示
您因"违规操作"
具体请查看互助需知
我知道了
×
提示
确定
请完成安全验证×
copy
已复制链接
快去分享给好友吧!
我知道了
右上角分享
点击右上角分享
0
联系我们:info@booksci.cn Book学术提供免费学术资源搜索服务,方便国内外学者检索中英文文献。致力于提供最便捷和优质的服务体验。 Copyright © 2023 布克学术 All rights reserved.
京ICP备2023020795号-1
ghs 京公网安备 11010802042870号
Book学术文献互助
Book学术文献互助群
群 号:604180095
Book学术官方微信