Quantitative evaluation of multiple treatment regimens for treatment-resistant depression.

IF 3.7 2区 医学 Q1 CLINICAL NEUROLOGY
Yulin Feng, Yinghua Lv, Juan Yang, Ling Xu, Junchao Chen, Jihan Huang, Jiyuan Ren, Qingshan Zheng, Lujin Li
{"title":"Quantitative evaluation of multiple treatment regimens for treatment-resistant depression.","authors":"Yulin Feng, Yinghua Lv, Juan Yang, Ling Xu, Junchao Chen, Jihan Huang, Jiyuan Ren, Qingshan Zheng, Lujin Li","doi":"10.1093/ijnp/pyaf007","DOIUrl":null,"url":null,"abstract":"<p><strong>Objective: </strong>This study aims to quantitatively evaluate the efficacy and safety of various treatment regimens for treatment-resistant depression (TRD) across oral, intravenous, and intranasal routes to inform clinical guidelines.</p><p><strong>Methods: </strong>A systematic review identified randomized controlled trials on TRD, with efficacy measured by changes in the Montgomery-Åsberg Depression Rating Scale (MADRS). We developed pharmacodynamic and covariate models for different administration routes, using Monte Carlo simulations to estimate efficacy distribution. Dropout and adverse event-related dropout rates were analyzed via single-arm meta-analysis.</p><p><strong>Results: </strong>Involving 22 studies with 56 treatment arms and 3059 patients, our findings suggest combination therapies outperform monotherapy, achieving an additional 6.5% reduction in MADRS scores over 12 weeks. The most effective combinations were olanzapine with fluoxetine and quetiapine with selective serotonin reuptake inhibitors/ selective serotonin and norepinephrine reuptake inhibitors. Injectable treatments, particularly ayahuasca, produced rapid effects, with a 77% reduction in MADRS scores at 15 days. Intranasal treatments reached efficacy sooner than oral ones, with 28-day efficacy similar to the 12-week efficacy of the olanzapine-fluoxetine combination. Dropout rates due to adverse events were similar across methods (4.5%-5.2%), but total dropouts were highest for oral (17.9%) and lowest for intranasal routes (10.6%). Additionally, there was considerable variation in the incidence of headache, dizziness, and nausea across different administration routes.</p><p><strong>Conclusions: </strong>The quantitative evaluation of 22 TRD treatments illuminates key pharmacodynamic parameters, bolstering the development of clinical guidelines and aiding the design of clinical trials and medical decision-making.</p>","PeriodicalId":14134,"journal":{"name":"International Journal of Neuropsychopharmacology","volume":" ","pages":""},"PeriodicalIF":3.7000,"publicationDate":"2025-02-04","publicationTypes":"Journal Article","fieldsOfStudy":null,"isOpenAccess":false,"openAccessPdf":"https://www.ncbi.nlm.nih.gov/pmc/articles/PMC11879141/pdf/","citationCount":"0","resultStr":null,"platform":"Semanticscholar","paperid":null,"PeriodicalName":"International Journal of Neuropsychopharmacology","FirstCategoryId":"3","ListUrlMain":"https://doi.org/10.1093/ijnp/pyaf007","RegionNum":2,"RegionCategory":"医学","ArticlePicture":[],"TitleCN":null,"AbstractTextCN":null,"PMCID":null,"EPubDate":"","PubModel":"","JCR":"Q1","JCRName":"CLINICAL NEUROLOGY","Score":null,"Total":0}
引用次数: 0

Abstract

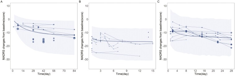
Objective: This study aims to quantitatively evaluate the efficacy and safety of various treatment regimens for treatment-resistant depression (TRD) across oral, intravenous, and intranasal routes to inform clinical guidelines.

Methods: A systematic review identified randomized controlled trials on TRD, with efficacy measured by changes in the Montgomery-Åsberg Depression Rating Scale (MADRS). We developed pharmacodynamic and covariate models for different administration routes, using Monte Carlo simulations to estimate efficacy distribution. Dropout and adverse event-related dropout rates were analyzed via single-arm meta-analysis.

Results: Involving 22 studies with 56 treatment arms and 3059 patients, our findings suggest combination therapies outperform monotherapy, achieving an additional 6.5% reduction in MADRS scores over 12 weeks. The most effective combinations were olanzapine with fluoxetine and quetiapine with selective serotonin reuptake inhibitors/ selective serotonin and norepinephrine reuptake inhibitors. Injectable treatments, particularly ayahuasca, produced rapid effects, with a 77% reduction in MADRS scores at 15 days. Intranasal treatments reached efficacy sooner than oral ones, with 28-day efficacy similar to the 12-week efficacy of the olanzapine-fluoxetine combination. Dropout rates due to adverse events were similar across methods (4.5%-5.2%), but total dropouts were highest for oral (17.9%) and lowest for intranasal routes (10.6%). Additionally, there was considerable variation in the incidence of headache, dizziness, and nausea across different administration routes.

Conclusions: The quantitative evaluation of 22 TRD treatments illuminates key pharmacodynamic parameters, bolstering the development of clinical guidelines and aiding the design of clinical trials and medical decision-making.

Abstract Image

Abstract Image

Abstract Image

难治性抑郁症多种治疗方案的定量评价。
目的:本研究旨在定量评价口服、静脉注射和鼻内治疗难治性抑郁症(TRD)的各种治疗方案的有效性和安全性,为临床指导提供依据。方法:一项系统综述确定了TRD的随机对照试验,通过Montgomery-Åsberg抑郁评定量表(MADRS)的变化来衡量疗效。我们建立了不同给药途径的药效学和协变量模型,使用蒙特卡罗模拟来估计疗效分布。通过单臂荟萃分析分析辍学率和不良事件相关辍学率。结果:涉及56个治疗组和3059名患者的22项研究,我们的研究结果表明,联合治疗优于单一治疗,在12周内MADRS评分额外降低6.5%。最有效的组合是奥氮平与氟西汀和喹硫平与SSRIs/SNRIs。注射治疗,尤其是死水,产生了快速的效果,15天MADRS评分降低了77%。鼻内治疗比口服治疗更快达到疗效,28天的疗效与奥氮平-氟西汀联合治疗的12周疗效相似。不同方法的不良事件导致的中途退出率相似(4.5%-5.2%),但口服途径的总中途退出率最高(17.9%),鼻内途径最低(10.6%)。此外,在不同的给药途径中,头痛、头晕和恶心的发生率也有相当大的变化。结论:对22种TRD治疗方法的定量评价阐明了关键的药效学参数,支持了临床指南的制定,有助于临床试验设计和医疗决策。
本文章由计算机程序翻译,如有差异,请以英文原文为准。
求助全文
约1分钟内获得全文 求助全文
来源期刊
CiteScore
8.40
自引率
2.10%
发文量
230
审稿时长
4-8 weeks
期刊介绍: The central focus of the journal is on research that advances understanding of existing and new neuropsychopharmacological agents including their mode of action and clinical application or provides insights into the biological basis of psychiatric disorders and thereby advances their pharmacological treatment. Such research may derive from the full spectrum of biological and psychological fields of inquiry encompassing classical and novel techniques in neuropsychopharmacology as well as strategies such as neuroimaging, genetics, psychoneuroendocrinology and neuropsychology.
×
引用
GB/T 7714-2015
复制
MLA
复制
APA
复制
导出至
BibTeX EndNote RefMan NoteFirst NoteExpress
×
提示
您的信息不完整,为了账户安全,请先补充。
现在去补充
×
提示
您因"违规操作"
具体请查看互助需知
我知道了
×
提示
确定
请完成安全验证×
copy
已复制链接
快去分享给好友吧!
我知道了
右上角分享
点击右上角分享
0
联系我们:info@booksci.cn Book学术提供免费学术资源搜索服务,方便国内外学者检索中英文文献。致力于提供最便捷和优质的服务体验。 Copyright © 2023 布克学术 All rights reserved.
京ICP备2023020795号-1
ghs 京公网安备 11010802042870号
Book学术文献互助
Book学术文献互助群
群 号:604180095
Book学术官方微信