Effect of Whey Protein Supplementation on Postoperative Outcomes After Gynecological Cancer Surgery: A Randomized Controlled Trial.

IF 2.2 Q3 ONCOLOGY
World Journal of Oncology Pub Date : 2025-02-01 Epub Date: 2025-01-02 DOI:10.14740/wjon1990
Wiranchana Chitti, Putsarat Insin, Nisa Prueksaritanond
{"title":"Effect of Whey Protein Supplementation on Postoperative Outcomes After Gynecological Cancer Surgery: A Randomized Controlled Trial.","authors":"Wiranchana Chitti, Putsarat Insin, Nisa Prueksaritanond","doi":"10.14740/wjon1990","DOIUrl":null,"url":null,"abstract":"<p><strong>Background: </strong>Whey protein's biochemical properties make it an ideal nutritional supplement for patients with cancer, especially in perioperative care. Thus, the present study aims to assess the efficacy of whey protein supplementation (WPS) compared to standard care in enhancing postoperative outcomes for patients undergoing comprehensive surgical staging for gynecological cancer.</p><p><strong>Methods: </strong>In an open-label, randomized controlled trial conducted at Rajavithi Hospital between November 28, 2023 and July 8, 2024, 61 patients scheduled for comprehensive surgical staging were enrolled. Participants were randomized in a 1:1 ratio to either the WPS group (n = 30) or the control group (n = 31). The WPS group received isolated whey protein powder (20 g of protein per serving), administered at 6 pm before surgery and 6 am on the first postoperative day. The control group received standard postoperative care. The primary endpoint was the length of hospital stay (LOHS), with secondary outcomes including gastrointestinal function recovery, postoperative analgesic use, complications, and potential WPS-related adverse events such as transaminitis, acute kidney injury, and electrolyte imbalances.</p><p><strong>Results: </strong>The WPS group had a significantly shorter LOHS than the control group (79.0 ± 6.7 vs. 93.3 ± 28.4 h, P = 0.021). Additionally, the WPS group demonstrated significant improvements in gastrointestinal function, with shorter times to first flatus (P < 0.001), first defecation (P = 0.013), and first ambulation (P = 0.043). No significant differences were observed between the groups regarding postoperative analgesic use or complications, including fever, nausea/vomiting, wound infection, and readmission (P > 0.05). Furthermore, no WPS-related adverse events were reported.</p><p><strong>Conclusion: </strong>The use of WPS in the perioperative operative management of gynecological cancer surgery yields promising results by significantly reducing the LOHS and accelerating the recovery of gastrointestinal function while maintaining a favorable safety profile.</p>","PeriodicalId":46797,"journal":{"name":"World Journal of Oncology","volume":"16 1","pages":"70-82"},"PeriodicalIF":2.2000,"publicationDate":"2025-02-01","publicationTypes":"Journal Article","fieldsOfStudy":null,"isOpenAccess":false,"openAccessPdf":"https://www.ncbi.nlm.nih.gov/pmc/articles/PMC11750756/pdf/","citationCount":"0","resultStr":null,"platform":"Semanticscholar","paperid":null,"PeriodicalName":"World Journal of Oncology","FirstCategoryId":"1085","ListUrlMain":"https://doi.org/10.14740/wjon1990","RegionNum":0,"RegionCategory":null,"ArticlePicture":[],"TitleCN":null,"AbstractTextCN":null,"PMCID":null,"EPubDate":"2025/1/2 0:00:00","PubModel":"Epub","JCR":"Q3","JCRName":"ONCOLOGY","Score":null,"Total":0}
引用次数: 0

Abstract

Background: Whey protein's biochemical properties make it an ideal nutritional supplement for patients with cancer, especially in perioperative care. Thus, the present study aims to assess the efficacy of whey protein supplementation (WPS) compared to standard care in enhancing postoperative outcomes for patients undergoing comprehensive surgical staging for gynecological cancer.

Methods: In an open-label, randomized controlled trial conducted at Rajavithi Hospital between November 28, 2023 and July 8, 2024, 61 patients scheduled for comprehensive surgical staging were enrolled. Participants were randomized in a 1:1 ratio to either the WPS group (n = 30) or the control group (n = 31). The WPS group received isolated whey protein powder (20 g of protein per serving), administered at 6 pm before surgery and 6 am on the first postoperative day. The control group received standard postoperative care. The primary endpoint was the length of hospital stay (LOHS), with secondary outcomes including gastrointestinal function recovery, postoperative analgesic use, complications, and potential WPS-related adverse events such as transaminitis, acute kidney injury, and electrolyte imbalances.

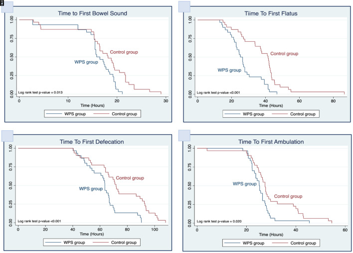
Results: The WPS group had a significantly shorter LOHS than the control group (79.0 ± 6.7 vs. 93.3 ± 28.4 h, P = 0.021). Additionally, the WPS group demonstrated significant improvements in gastrointestinal function, with shorter times to first flatus (P < 0.001), first defecation (P = 0.013), and first ambulation (P = 0.043). No significant differences were observed between the groups regarding postoperative analgesic use or complications, including fever, nausea/vomiting, wound infection, and readmission (P > 0.05). Furthermore, no WPS-related adverse events were reported.

Conclusion: The use of WPS in the perioperative operative management of gynecological cancer surgery yields promising results by significantly reducing the LOHS and accelerating the recovery of gastrointestinal function while maintaining a favorable safety profile.

Abstract Image

Abstract Image

Abstract Image

补充乳清蛋白对妇科癌症手术后预后的影响:一项随机对照试验。
背景:乳清蛋白的生化特性使其成为癌症患者理想的营养补充剂,特别是在围手术期护理中。因此,本研究旨在评估乳清蛋白补充剂(WPS)与标准护理相比在提高妇科癌症综合手术分期患者术后预后方面的疗效。方法:在Rajavithi医院于2023年11月28日至2024年7月8日进行的一项开放标签随机对照试验中,纳入61例计划进行综合手术分期的患者。参与者按1:1的比例随机分为WPS组(n = 30)或对照组(n = 31)。WPS组给予分离的乳清蛋白粉(每份蛋白20 g),分别于手术前下午6点和术后第一天早上6点给予。对照组接受标准的术后护理。主要终点是住院时间(LOHS),次要终点包括胃肠功能恢复、术后止痛药使用、并发症和潜在的wps相关不良事件,如转氨炎、急性肾损伤和电解质失衡。结果:WPS组LOHS(79.0±6.7 h)明显短于对照组(93.3±28.4 h, P = 0.021)。此外,WPS组胃肠道功能有显著改善,首次放屁(P < 0.001)、首次排便(P = 0.013)和首次下床(P = 0.043)的时间更短。两组术后镇痛药使用及并发症(发热、恶心/呕吐、伤口感染、再入院)无显著差异(P < 0.05)。此外,没有wps相关不良事件的报道。结论:WPS应用于妇科肿瘤手术围术期手术管理,可显著降低LOHS,加速胃肠功能恢复,同时保持良好的安全性。
本文章由计算机程序翻译,如有差异,请以英文原文为准。
求助全文
约1分钟内获得全文 求助全文
来源期刊
CiteScore
6.10
自引率
15.40%
发文量
37
期刊介绍: World Journal of Oncology, bimonthly, publishes original contributions describing basic research and clinical investigation of cancer, on the cellular, molecular, prevention, diagnosis, therapy and prognosis aspects. The submissions can be basic research or clinical investigation oriented. This journal welcomes those submissions focused on the clinical trials of new treatment modalities for cancer, and those submissions focused on molecular or cellular research of the oncology pathogenesis. Case reports submitted for consideration of publication should explore either a novel genomic event/description or a new safety signal from an oncolytic agent. The areas of interested manuscripts are these disciplines: tumor immunology and immunotherapy; cancer molecular pharmacology and chemotherapy; drug sensitivity and resistance; cancer epidemiology; clinical trials; cancer pathology; radiobiology and radiation oncology; solid tumor oncology; hematological malignancies; surgical oncology; pediatric oncology; molecular oncology and cancer genes; gene therapy; cancer endocrinology; cancer metastasis; prevention and diagnosis of cancer; other cancer related subjects. The types of manuscripts accepted are original article, review, editorial, short communication, case report, letter to the editor, book review.
×
引用
GB/T 7714-2015
复制
MLA
复制
APA
复制
导出至
BibTeX EndNote RefMan NoteFirst NoteExpress
×
提示
您的信息不完整,为了账户安全,请先补充。
现在去补充
×
提示
您因"违规操作"
具体请查看互助需知
我知道了
×
提示
确定
请完成安全验证×
copy
已复制链接
快去分享给好友吧!
我知道了
右上角分享
点击右上角分享
0
联系我们:info@booksci.cn Book学术提供免费学术资源搜索服务,方便国内外学者检索中英文文献。致力于提供最便捷和优质的服务体验。 Copyright © 2023 布克学术 All rights reserved.
京ICP备2023020795号-1
ghs 京公网安备 11010802042870号
Book学术文献互助
Book学术文献互助群
群 号:604180095
Book学术官方微信