[Trends in the epidemiology of acute myocardial infarction in Peru: An analysis of the official SUSALUD records].

Akram Hernández-Vásquez, Rodrigo Vargas-Fernández, Manuel Chacón-Díaz
{"title":"[Trends in the epidemiology of acute myocardial infarction in Peru: An analysis of the official SUSALUD records].","authors":"Akram Hernández-Vásquez, Rodrigo Vargas-Fernández, Manuel Chacón-Díaz","doi":"10.47487/apcyccv.v5i4.435","DOIUrl":null,"url":null,"abstract":"<p><strong>Objective: </strong>To determine the age-standardized rate of acute myocardial infarction (AMI) events and its trend in recent years.</p><p><strong>Materials and methods: </strong>An ecological study of secondary data on morbidity in emergency areas of Peruvian hospitals between 2018 and 2023 was conducted. Cases of AMI in adults aged 20 years or older were identified using ICD-10 codes. Age-standardized AMI event rates per 100,000 person-years were calculated. In addition, the change in event rate between extreme years was calculated, and a Poisson regression was used to estimate the annual percentage change in event rates along with their 95% confidence interval (CI), adjusting for age and calendar year. These rates were stratified by sex and political-administrative regions.</p><p><strong>Results: </strong>28,088 AMI events were recorded between 2018 and 2023. The national age-standardized rate increased from 22.77 in 2018 to 25.60 per 100,000 person-years in 2023, with an annual percentage change of 6.72% (95% CI 4.25-9.25). Men had higher AMI event rates compared to women throughout the study period. In addition, the highest event rates were observed in the Constitutional Province of Callao, San Martin and Loreto.</p><p><strong>Conclusions: </strong>Our findings provide a better understanding of the epidemiology of AMI in Peru and its evolution in recent years, important data to improve prevention, treatment and resource distribution strategies for the management of AMI.</p>","PeriodicalId":72295,"journal":{"name":"Archivos Peruanos de cardiologia y cirugia cardiovascular","volume":"5 4","pages":"187-197"},"PeriodicalIF":0.0000,"publicationDate":"2024-12-11","publicationTypes":"Journal Article","fieldsOfStudy":null,"isOpenAccess":false,"openAccessPdf":"https://www.ncbi.nlm.nih.gov/pmc/articles/PMC11753418/pdf/","citationCount":"0","resultStr":null,"platform":"Semanticscholar","paperid":null,"PeriodicalName":"Archivos Peruanos de cardiologia y cirugia cardiovascular","FirstCategoryId":"1085","ListUrlMain":"https://doi.org/10.47487/apcyccv.v5i4.435","RegionNum":0,"RegionCategory":null,"ArticlePicture":[],"TitleCN":null,"AbstractTextCN":null,"PMCID":null,"EPubDate":"2024/10/1 0:00:00","PubModel":"eCollection","JCR":"","JCRName":"","Score":null,"Total":0}
引用次数: 0

Abstract

Objective: To determine the age-standardized rate of acute myocardial infarction (AMI) events and its trend in recent years.

Materials and methods: An ecological study of secondary data on morbidity in emergency areas of Peruvian hospitals between 2018 and 2023 was conducted. Cases of AMI in adults aged 20 years or older were identified using ICD-10 codes. Age-standardized AMI event rates per 100,000 person-years were calculated. In addition, the change in event rate between extreme years was calculated, and a Poisson regression was used to estimate the annual percentage change in event rates along with their 95% confidence interval (CI), adjusting for age and calendar year. These rates were stratified by sex and political-administrative regions.

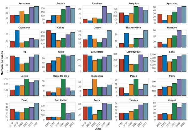
Results: 28,088 AMI events were recorded between 2018 and 2023. The national age-standardized rate increased from 22.77 in 2018 to 25.60 per 100,000 person-years in 2023, with an annual percentage change of 6.72% (95% CI 4.25-9.25). Men had higher AMI event rates compared to women throughout the study period. In addition, the highest event rates were observed in the Constitutional Province of Callao, San Martin and Loreto.

Conclusions: Our findings provide a better understanding of the epidemiology of AMI in Peru and its evolution in recent years, important data to improve prevention, treatment and resource distribution strategies for the management of AMI.

Abstract Image

Abstract Image

Abstract Image

[秘鲁急性心肌梗死流行病学趋势:对秘鲁国立卫生大学官方记录的分析]。
目的:了解近年来急性心肌梗死(AMI)事件的年龄标准化率及其变化趋势。材料与方法:对2018 - 2023年秘鲁医院急诊区发病率的二次数据进行生态学研究。使用ICD-10编码识别20岁或以上成人AMI病例。计算每10万人年的年龄标准化AMI事件发生率。此外,计算了极端年份之间事件率的变化,并使用泊松回归来估计事件率的年百分比变化及其95%置信区间(CI),调整了年龄和日历年。这些比率按性别和政治行政区域分层。结果:2018年至2023年间记录了28,088例AMI事件。全国年龄标准化率从2018年的22.77人/ 10万人年增加到2023年的25.60人/ 10万人年,年百分比变化为6.72% (95% CI 4.25-9.25)。在整个研究期间,男性的AMI发生率高于女性。此外,卡亚俄省、圣马丁省和洛雷托省的发病率最高。结论:本研究结果为了解秘鲁AMI的流行病学及其近年来的演变提供了重要数据,为AMI的预防、治疗和资源分配策略的改进提供了重要依据。
本文章由计算机程序翻译,如有差异,请以英文原文为准。
求助全文
约1分钟内获得全文 求助全文
来源期刊
CiteScore
0.40
自引率
0.00%
发文量
0
审稿时长
4 weeks
×
引用
GB/T 7714-2015
复制
MLA
复制
APA
复制
导出至
BibTeX EndNote RefMan NoteFirst NoteExpress
×
提示
您的信息不完整,为了账户安全,请先补充。
现在去补充
×
提示
您因"违规操作"
具体请查看互助需知
我知道了
×
提示
确定
请完成安全验证×
copy
已复制链接
快去分享给好友吧!
我知道了
右上角分享
点击右上角分享
0
联系我们:info@booksci.cn Book学术提供免费学术资源搜索服务,方便国内外学者检索中英文文献。致力于提供最便捷和优质的服务体验。 Copyright © 2023 布克学术 All rights reserved.
京ICP备2023020795号-1
ghs 京公网安备 11010802042870号
Book学术文献互助
Book学术文献互助群
群 号:604180095
Book学术官方微信