[Analysis of phthalate esters and their novel alternatives in indoor dust using comprehensive two-dimensional gas chromatography-time of flight mass spectrometry].

Lin-Xiao Wang, Ke Gao, Jian-Jia Li, Jia-Hui Peng, Zi-Yan Yang, Er-Ken Ya, Cong-Yi Zheng, Wei Wei, Li-Ping Lu, Shui-Yuan Cheng
{"title":"[Analysis of phthalate esters and their novel alternatives in indoor dust using comprehensive two-dimensional gas chromatography-time of flight mass spectrometry].","authors":"Lin-Xiao Wang, Ke Gao, Jian-Jia Li, Jia-Hui Peng, Zi-Yan Yang, Er-Ken Ya, Cong-Yi Zheng, Wei Wei, Li-Ping Lu, Shui-Yuan Cheng","doi":"10.3724/SP.J.1123.2023.12002","DOIUrl":null,"url":null,"abstract":"<p><p>A comprehensive two-dimensional gas chromatography-time-of-flight mass spectrometry (GC×GC-TOF-MS) method was developed to analyze 25 traditional phthalate esters (PAEs) and 19 novel alternatives in indoor dust samples. PAEs are ubiquitous in indoor environments because they are widely used as plasticizers in a variety of consumer products, and potential health concerns have prompted the need for effective monitoring methods. In this study, dust samples were collected from various indoor settings in a university campus, including classrooms, cafeterias, laboratories, and dormitories, and were subsequently ultrasonically extracted with hexane-dichloromethane (1∶1, v/v) solution for 30 min. This method was chosen to maximize PAE recovery while minimizing potential interference from other compounds present in the dust matrix. Compounds were separated on a Rix-5MS column (30 m×0.25 mm×0.25 μm) as the first dimension, with a Rix-17Sil column (1.39 m×0.25 mm×0.25 μm) serving as the second dimension. The following temperature program was used: 60 ℃ for 1 min, then increasing to 220 ℃ at 20 ℃/min, followed by a further increase to 290 ℃ at 5 ℃/min, with the final temperature held for 8 min; this program was optimized to afford maximum target-compound resolution and sensitivity. The developed method rapidly, accurately, and sensitively detected the target PAEs and their alternatives under the optimal conditions, which included a carrier-gas flow rate of 1.4 mL/min, a modulation period of 4 s, and an injection-port temperature of 250 ℃. The 44 target compounds exhibited highly linear calibration curves across a content range of 1-500 μg/g, with all correlation coefficients exceeding 0.99. The limits of detection (LODs) of the method were determined to lie between 0.57 and 13.0 ng/g, which reflects the high sensitivity of the developed approach. At spiked levels of 1, 10, and 50 μg/g, the recoveries of the analyzed compounds varied from 72.8% to 125%, with relative standard deviations ranging from 1.29% to 14.8% (<i>n</i>=3), which indicates that the method is highly precise and reliable. The developed method was used to analyze PAEs and their alternatives in 40 indoor dust samples, which revealed total contents of between 2.07 and 354 μg/g in dust samples. Di-2-ethylhexyl phthalate (DEHP) emerged as the most frequently detected compound, with contents ranging from \"not detected\" (nd) to 158 μg/g. The novel alternative, bis(2-ethylhexy) terephthalate (DEHTH), was also detected, with levels ranging from nd to 117 μg/g. Notably, significant differences in the compositions and contents of the PAEs and their alternatives were observed across various indoor environments, which suggests that diverse sources and exposure pathways exist for these compounds, highlighting the necessity for ongoing PAE monitoring and risk assessment in various indoor settings. In conclusion, the developed GC×GC-TOF-MS method provides a powerful tool for comprehensively analyzing PAEs and their alternatives in indoor dust; it is well-suited for the routine monitoring of these compounds owing to its simplicity, rapidity, and robustness. These findings provide valuable insight for future research into the sources and health implications of PAEs in indoor environments, and ultimately support risk assessment and regulatory efforts.</p>","PeriodicalId":101336,"journal":{"name":"Se pu = Chinese journal of chromatography","volume":"43 2","pages":"185-196"},"PeriodicalIF":0.0000,"publicationDate":"2025-02-01","publicationTypes":"Journal Article","fieldsOfStudy":null,"isOpenAccess":false,"openAccessPdf":"https://www.ncbi.nlm.nih.gov/pmc/articles/PMC11755752/pdf/","citationCount":"0","resultStr":null,"platform":"Semanticscholar","paperid":null,"PeriodicalName":"Se pu = Chinese journal of chromatography","FirstCategoryId":"1085","ListUrlMain":"https://doi.org/10.3724/SP.J.1123.2023.12002","RegionNum":0,"RegionCategory":null,"ArticlePicture":[],"TitleCN":null,"AbstractTextCN":null,"PMCID":null,"EPubDate":"","PubModel":"","JCR":"","JCRName":"","Score":null,"Total":0}
引用次数: 0

Abstract

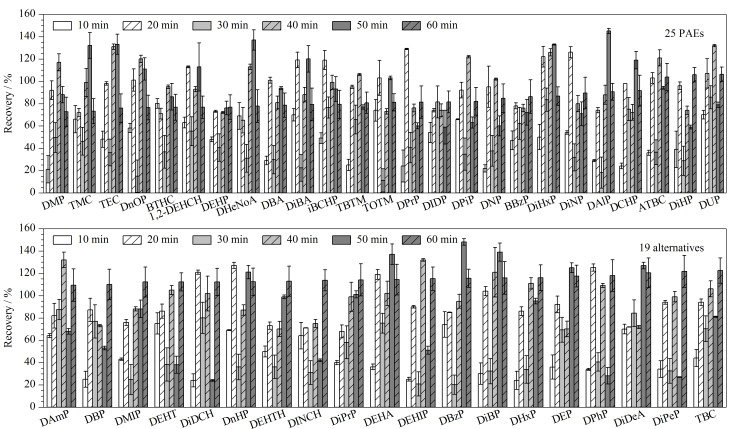
A comprehensive two-dimensional gas chromatography-time-of-flight mass spectrometry (GC×GC-TOF-MS) method was developed to analyze 25 traditional phthalate esters (PAEs) and 19 novel alternatives in indoor dust samples. PAEs are ubiquitous in indoor environments because they are widely used as plasticizers in a variety of consumer products, and potential health concerns have prompted the need for effective monitoring methods. In this study, dust samples were collected from various indoor settings in a university campus, including classrooms, cafeterias, laboratories, and dormitories, and were subsequently ultrasonically extracted with hexane-dichloromethane (1∶1, v/v) solution for 30 min. This method was chosen to maximize PAE recovery while minimizing potential interference from other compounds present in the dust matrix. Compounds were separated on a Rix-5MS column (30 m×0.25 mm×0.25 μm) as the first dimension, with a Rix-17Sil column (1.39 m×0.25 mm×0.25 μm) serving as the second dimension. The following temperature program was used: 60 ℃ for 1 min, then increasing to 220 ℃ at 20 ℃/min, followed by a further increase to 290 ℃ at 5 ℃/min, with the final temperature held for 8 min; this program was optimized to afford maximum target-compound resolution and sensitivity. The developed method rapidly, accurately, and sensitively detected the target PAEs and their alternatives under the optimal conditions, which included a carrier-gas flow rate of 1.4 mL/min, a modulation period of 4 s, and an injection-port temperature of 250 ℃. The 44 target compounds exhibited highly linear calibration curves across a content range of 1-500 μg/g, with all correlation coefficients exceeding 0.99. The limits of detection (LODs) of the method were determined to lie between 0.57 and 13.0 ng/g, which reflects the high sensitivity of the developed approach. At spiked levels of 1, 10, and 50 μg/g, the recoveries of the analyzed compounds varied from 72.8% to 125%, with relative standard deviations ranging from 1.29% to 14.8% (n=3), which indicates that the method is highly precise and reliable. The developed method was used to analyze PAEs and their alternatives in 40 indoor dust samples, which revealed total contents of between 2.07 and 354 μg/g in dust samples. Di-2-ethylhexyl phthalate (DEHP) emerged as the most frequently detected compound, with contents ranging from "not detected" (nd) to 158 μg/g. The novel alternative, bis(2-ethylhexy) terephthalate (DEHTH), was also detected, with levels ranging from nd to 117 μg/g. Notably, significant differences in the compositions and contents of the PAEs and their alternatives were observed across various indoor environments, which suggests that diverse sources and exposure pathways exist for these compounds, highlighting the necessity for ongoing PAE monitoring and risk assessment in various indoor settings. In conclusion, the developed GC×GC-TOF-MS method provides a powerful tool for comprehensively analyzing PAEs and their alternatives in indoor dust; it is well-suited for the routine monitoring of these compounds owing to its simplicity, rapidity, and robustness. These findings provide valuable insight for future research into the sources and health implications of PAEs in indoor environments, and ultimately support risk assessment and regulatory efforts.

Abstract Image

Abstract Image

Abstract Image

[综合二维气相色谱-飞行时间质谱法分析室内粉尘中邻苯二甲酸酯及其新替代品]。
建立了一种综合的二维气相色谱-飞行时间质谱(GC×GC-TOF-MS)方法,用于分析室内粉尘样品中的25种传统邻苯二甲酸酯(PAEs)和19种新型替代品。PAEs在室内环境中无处不在,因为它们被广泛用作各种消费品中的增塑剂,潜在的健康问题促使人们需要有效的监测方法。本研究从某大学校园内的教室、食堂、实验室和宿舍等不同室内环境中采集粉尘样品,然后用正己烷-二氯甲烷(1∶1,v/v)溶液超声提取30 min。选择该方法可以最大限度地提高PAE的回收率,同时最大限度地减少粉尘基质中其他化合物的干扰。以Rix-5MS色谱柱(30 m×0.25 mm×0.25 μm)和Rix-17Sil色谱柱(1.39 m×0.25 mm×0.25 μm)为第一维分离化合物。温度程序为:60℃保温1 min,然后以20℃/min的速度升温至220℃,再以5℃/min的速度升温至290℃,保温8 min;对该程序进行了优化,以获得最大的目标化合物分辨率和灵敏度。该方法在载气流速为1.4 mL/min、调制时间为4 s、进样口温度为250℃的最佳条件下,快速、准确、灵敏地检测出目标PAEs及其替代品。44个目标化合物在1 ~ 500 μg/g范围内均表现出高度的线性曲线,相关系数均超过0.99。方法的检出限(lod)在0.57 ~ 13.0 ng/g之间,具有较高的灵敏度。在加标浓度为1、10和50 μg时,加标回收率为72.8% ~ 125%,相对标准偏差为1.29% ~ 14.8% (n=3),表明该方法具有较高的精密度和可靠性。采用该方法对40份室内粉尘样品中的PAEs及其替代品进行了分析,结果表明,PAEs的总含量在2.07 ~ 354 μg/g之间。邻苯二甲酸二-2-乙基己酯(DEHP)是检测频率最高的化合物,其含量从“未检测”(nd)到158 μg/g不等。新的替代品,双(2-乙基己基)对苯二甲酸二酯(DEHTH),也被检测到,其水平范围从nd到117 μg/g。值得注意的是,在不同的室内环境中观察到PAE及其替代品的组成和含量存在显著差异,这表明这些化合物存在不同的来源和暴露途径,突出了在各种室内环境中持续监测PAE和风险评估的必要性。总之,所开发的GC×GC-TOF-MS方法为综合分析室内粉尘中PAEs及其替代品提供了有力的工具;由于其简单、快速和鲁棒性,它非常适合于这些化合物的常规监测。这些发现为今后对室内环境中PAEs的来源和健康影响的研究提供了有价值的见解,并最终支持风险评估和监管工作。
本文章由计算机程序翻译,如有差异,请以英文原文为准。
求助全文
约1分钟内获得全文 求助全文
来源期刊
自引率
0.00%
发文量
0
×
引用
GB/T 7714-2015
复制
MLA
复制
APA
复制
导出至
BibTeX EndNote RefMan NoteFirst NoteExpress
×
提示
您的信息不完整,为了账户安全,请先补充。
现在去补充
×
提示
您因"违规操作"
具体请查看互助需知
我知道了
×
提示
确定
请完成安全验证×
copy
已复制链接
快去分享给好友吧!
我知道了
右上角分享
点击右上角分享
0
联系我们:info@booksci.cn Book学术提供免费学术资源搜索服务,方便国内外学者检索中英文文献。致力于提供最便捷和优质的服务体验。 Copyright © 2023 布克学术 All rights reserved.
京ICP备2023020795号-1
ghs 京公网安备 11010802042870号
Book学术文献互助
Book学术文献互助群
群 号:604180095
Book学术官方微信