Association of Time in Target Range of Resting Heart Rate With Adverse Clinical Outcomes in Patients With Acute Coronary Syndromes After Percutaneous Coronary Intervention.

IF 3.1 3区 医学 Q2 CARDIAC & CARDIOVASCULAR SYSTEMS
Global Heart Pub Date : 2025-01-17 eCollection Date: 2025-01-01 DOI:10.5334/gh.1384
Jianmei Zheng, Cen Chen, Zhongcai Fan, Qiang Ye, Yi Zhong, Jinsong Li, Hao Huang, Jianping Deng, Jinghong Zhao, Tinglin Xiong, Wenjie Tian, Xuemei Zhang
{"title":"Association of Time in Target Range of Resting Heart Rate With Adverse Clinical Outcomes in Patients With Acute Coronary Syndromes After Percutaneous Coronary Intervention.","authors":"Jianmei Zheng, Cen Chen, Zhongcai Fan, Qiang Ye, Yi Zhong, Jinsong Li, Hao Huang, Jianping Deng, Jinghong Zhao, Tinglin Xiong, Wenjie Tian, Xuemei Zhang","doi":"10.5334/gh.1384","DOIUrl":null,"url":null,"abstract":"<p><p>Heart rate (HR) has been proved to be associated with major adverse cardiovascular events (MACE) in Acute coronary syndrome patients. However, the threshold value and clinical significance of time in target of resting heart rate (TTR-HR) remain insufficiently elucidated. Our study aimed to evaluate the independent association between TTR-HR and cardiovascular outcomes in the follow-up study of ACS. A total of 1455 ACS patients who underwent percutaneous coronary intervention (PCI) and were admitted to 22 hospitals between 2019 and 2022 were enrolled and followed up for 12 months. MACE was defined as a composite of cardiac death, nonfatal recurrent myocardial infarction, ischemic-driven revascularization, and ischemic stroke. The association between TTR-HR and cardiovascular outcomes was assessed using Cox regression model. Compared to patients with TTR-HR 0-50% and >50%-75%, patients with TTR-HR > 75%-100% were older and less alcohol user, less likely to use diuretics and anti-diabetic drugs, these patients had less comorbidities of hyperlipidemia, diabetes, heart failure, and cardiac shock. After 12 months follow up, the incidence of MACE and composite endpoint but not mortality was higher in patients with TTR-HR 0-50% and >50%-75% than those with TTR-HR > 75%-100%. After multivariate adjustment, TTR-HR [hazard ratio = 2.11, 95% CI: 1.19-3.74, p = 0.01] was independently associated with composite endpoint. In summary, our study demonstrates that TTR-HR holds significant prognostic value, with TTR-HR > 75%-100% being independently associated with reduced composite endpoint risk in ACS patients following PCI. These findings emphasize the importance of effective heart rate control in ACS patients following PCI.</p>","PeriodicalId":56018,"journal":{"name":"Global Heart","volume":"20 1","pages":"3"},"PeriodicalIF":3.1000,"publicationDate":"2025-01-17","publicationTypes":"Journal Article","fieldsOfStudy":null,"isOpenAccess":false,"openAccessPdf":"https://www.ncbi.nlm.nih.gov/pmc/articles/PMC11740706/pdf/","citationCount":"0","resultStr":null,"platform":"Semanticscholar","paperid":null,"PeriodicalName":"Global Heart","FirstCategoryId":"3","ListUrlMain":"https://doi.org/10.5334/gh.1384","RegionNum":3,"RegionCategory":"医学","ArticlePicture":[],"TitleCN":null,"AbstractTextCN":null,"PMCID":null,"EPubDate":"2025/1/1 0:00:00","PubModel":"eCollection","JCR":"Q2","JCRName":"CARDIAC & CARDIOVASCULAR SYSTEMS","Score":null,"Total":0}
引用次数: 0

Abstract

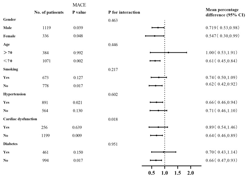
Heart rate (HR) has been proved to be associated with major adverse cardiovascular events (MACE) in Acute coronary syndrome patients. However, the threshold value and clinical significance of time in target of resting heart rate (TTR-HR) remain insufficiently elucidated. Our study aimed to evaluate the independent association between TTR-HR and cardiovascular outcomes in the follow-up study of ACS. A total of 1455 ACS patients who underwent percutaneous coronary intervention (PCI) and were admitted to 22 hospitals between 2019 and 2022 were enrolled and followed up for 12 months. MACE was defined as a composite of cardiac death, nonfatal recurrent myocardial infarction, ischemic-driven revascularization, and ischemic stroke. The association between TTR-HR and cardiovascular outcomes was assessed using Cox regression model. Compared to patients with TTR-HR 0-50% and >50%-75%, patients with TTR-HR > 75%-100% were older and less alcohol user, less likely to use diuretics and anti-diabetic drugs, these patients had less comorbidities of hyperlipidemia, diabetes, heart failure, and cardiac shock. After 12 months follow up, the incidence of MACE and composite endpoint but not mortality was higher in patients with TTR-HR 0-50% and >50%-75% than those with TTR-HR > 75%-100%. After multivariate adjustment, TTR-HR [hazard ratio = 2.11, 95% CI: 1.19-3.74, p = 0.01] was independently associated with composite endpoint. In summary, our study demonstrates that TTR-HR holds significant prognostic value, with TTR-HR > 75%-100% being independently associated with reduced composite endpoint risk in ACS patients following PCI. These findings emphasize the importance of effective heart rate control in ACS patients following PCI.

Abstract Image

Abstract Image

Abstract Image

经皮冠状动脉介入治疗后急性冠状动脉综合征患者静息心率目标范围时间与不良临床结局的关系
心率(HR)已被证明与急性冠脉综合征患者的主要不良心血管事件(MACE)相关。然而静息心率靶时间的阈值及其临床意义尚不清楚。本研究旨在评价ACS随访研究中trr - hr与心血管结局的独立相关性。纳入2019年至2022年期间在22家医院接受经皮冠状动脉介入治疗(PCI)的1455例ACS患者,随访12个月。MACE被定义为心源性死亡、非致死性复发性心肌梗死、缺血驱动的血运重建术和缺血性卒中的复合症状。采用Cox回归模型评估TTR-HR与心血管结局的相关性。与TTR-HR 0-50%和>50 -75%的患者相比,TTR-HR > 75%-100%的患者年龄较大,饮酒较少,使用利尿剂和降糖药的可能性较小,高脂血症、糖尿病、心力衰竭和心源性休克的合并症较少。随访12个月后,trr - hr为0-50%和>为50%-75%的患者的MACE和复合终点的发生率高于trr - hr >为75%-100%的患者,而非死亡率。多因素调整后,TTR-HR[风险比= 2.11,95% CI: 1.19-3.74, p = 0.01]与复合终点独立相关。总之,我们的研究表明,trr - hr具有重要的预后价值,trr - hr > 75%-100%与ACS患者PCI后复合终点风险降低独立相关。这些发现强调了PCI术后ACS患者有效心率控制的重要性。
本文章由计算机程序翻译,如有差异,请以英文原文为准。
求助全文
约1分钟内获得全文 求助全文
来源期刊
Global Heart
Global Heart Medicine-Cardiology and Cardiovascular Medicine
CiteScore
5.70
自引率
5.40%
发文量
77
审稿时长
5 weeks
期刊介绍: Global Heart offers a forum for dialogue and education on research, developments, trends, solutions and public health programs related to the prevention and control of cardiovascular diseases (CVDs) worldwide, with a special focus on low- and middle-income countries (LMICs). Manuscripts should address not only the extent or epidemiology of the problem, but also describe interventions to effectively control and prevent CVDs and the underlying factors. The emphasis should be on approaches applicable in settings with limited resources. Economic evaluations of successful interventions are particularly welcome. We will also consider negative findings if important. While reports of hospital or clinic-based treatments are not excluded, particularly if they have broad implications for cost-effective disease control or prevention, we give priority to papers addressing community-based activities. We encourage submissions on cardiovascular surveillance and health policies, professional education, ethical issues and technological innovations related to prevention. Global Heart is particularly interested in publishing data from updated national or regional demographic health surveys, World Health Organization or Global Burden of Disease data, large clinical disease databases or registries. Systematic reviews or meta-analyses on globally relevant topics are welcome. We will also consider clinical research that has special relevance to LMICs, e.g. using validated instruments to assess health-related quality-of-life in patients from LMICs, innovative diagnostic-therapeutic applications, real-world effectiveness clinical trials, research methods (innovative methodologic papers, with emphasis on low-cost research methods or novel application of methods in low resource settings), and papers pertaining to cardiovascular health promotion and policy (quantitative evaluation of health programs.
×
引用
GB/T 7714-2015
复制
MLA
复制
APA
复制
导出至
BibTeX EndNote RefMan NoteFirst NoteExpress
×
提示
您的信息不完整,为了账户安全,请先补充。
现在去补充
×
提示
您因"违规操作"
具体请查看互助需知
我知道了
×
提示
确定
请完成安全验证×
copy
已复制链接
快去分享给好友吧!
我知道了
右上角分享
点击右上角分享
0
联系我们:info@booksci.cn Book学术提供免费学术资源搜索服务,方便国内外学者检索中英文文献。致力于提供最便捷和优质的服务体验。 Copyright © 2023 布克学术 All rights reserved.
京ICP备2023020795号-1
ghs 京公网安备 11010802042870号
Book学术文献互助
Book学术文献互助群
群 号:604180095
Book学术官方微信