Blood cortisol and faecal cortisol metabolite concentrations following an ACTH challenge in unanaesthetized brown bears (Ursus arctos).

IF 2.5 3区 环境科学与生态学 Q2 BIODIVERSITY CONSERVATION
Conservation Physiology Pub Date : 2025-01-15 eCollection Date: 2025-01-01 DOI:10.1093/conphys/coae093
Justin A Piñero, Heiko T Jansen, Charles T Robbins, Ellery P Vincent, Diana J R Lafferty
{"title":"Blood cortisol and faecal cortisol metabolite concentrations following an ACTH challenge in unanaesthetized brown bears (<i>Ursus arctos</i>).","authors":"Justin A Piñero, Heiko T Jansen, Charles T Robbins, Ellery P Vincent, Diana J R Lafferty","doi":"10.1093/conphys/coae093","DOIUrl":null,"url":null,"abstract":"<p><p>Faecal cortisol metabolites (FCMs) are increasingly used to index physiological stress in wildlife. Cortisol and other stress hormones act to mobilize glucose, providing energy for the organism to respond to environmental perturbations. Cortisol, the predominant glucocorticoid (GC) in most mammals, is metabolized by the liver and excreted as FCMs. For FCMs to serve as a meaningful physiological index of stress in brown bears (<i>Ursus arctos</i>), we sought to quantify the relationship between blood cortisol and FCM concentrations. Consequently, we conducted an adrenocorticotropic hormone (ACTH) challenge on nine unanaesthetized captive brown bears at the Washington State University Bear Research, Education, and Conservation Center. We collected 10 ml of blood at 0, 3, 6, 24, 48 and 72 h post-injection to measure changes in blood cortisol concentrations. Faecal samples were collected between 7:00 am and 8:00 pm from 24 h prior to injection through 72 h post ACTH challenge. We found that FCM concentration was positively correlated with blood cortisol concentrations and that peak blood cortisol concentrations occurred between 3 and 6 h following an ACTH challenge, whereas FCMs peaked between 10 and 27 h after injection.</p>","PeriodicalId":54331,"journal":{"name":"Conservation Physiology","volume":"13 1","pages":"coae093"},"PeriodicalIF":2.5000,"publicationDate":"2025-01-15","publicationTypes":"Journal Article","fieldsOfStudy":null,"isOpenAccess":false,"openAccessPdf":"https://www.ncbi.nlm.nih.gov/pmc/articles/PMC11734623/pdf/","citationCount":"0","resultStr":null,"platform":"Semanticscholar","paperid":null,"PeriodicalName":"Conservation Physiology","FirstCategoryId":"93","ListUrlMain":"https://doi.org/10.1093/conphys/coae093","RegionNum":3,"RegionCategory":"环境科学与生态学","ArticlePicture":[],"TitleCN":null,"AbstractTextCN":null,"PMCID":null,"EPubDate":"2025/1/1 0:00:00","PubModel":"eCollection","JCR":"Q2","JCRName":"BIODIVERSITY CONSERVATION","Score":null,"Total":0}
引用次数: 0

Abstract

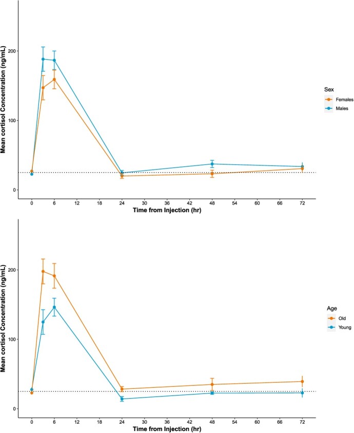
Faecal cortisol metabolites (FCMs) are increasingly used to index physiological stress in wildlife. Cortisol and other stress hormones act to mobilize glucose, providing energy for the organism to respond to environmental perturbations. Cortisol, the predominant glucocorticoid (GC) in most mammals, is metabolized by the liver and excreted as FCMs. For FCMs to serve as a meaningful physiological index of stress in brown bears (Ursus arctos), we sought to quantify the relationship between blood cortisol and FCM concentrations. Consequently, we conducted an adrenocorticotropic hormone (ACTH) challenge on nine unanaesthetized captive brown bears at the Washington State University Bear Research, Education, and Conservation Center. We collected 10 ml of blood at 0, 3, 6, 24, 48 and 72 h post-injection to measure changes in blood cortisol concentrations. Faecal samples were collected between 7:00 am and 8:00 pm from 24 h prior to injection through 72 h post ACTH challenge. We found that FCM concentration was positively correlated with blood cortisol concentrations and that peak blood cortisol concentrations occurred between 3 and 6 h following an ACTH challenge, whereas FCMs peaked between 10 and 27 h after injection.

Abstract Image

Abstract Image

Abstract Image

未麻醉棕熊ACTH刺激后血液皮质醇和粪便皮质醇代谢物浓度的变化。
粪便皮质醇代谢物(fcm)越来越多地被用于野生动物的生理应激指标。皮质醇和其他应激激素的作用是调动葡萄糖,为生物体对环境扰动的反应提供能量。皮质醇是大多数哺乳动物体内主要的糖皮质激素(GC),由肝脏代谢并以fcm的形式排出体外。为了使FCM作为棕熊应激的有意义的生理指标,我们试图量化血液皮质醇和FCM浓度之间的关系。因此,我们在华盛顿州立大学熊类研究、教育和保护中心对9只未麻醉的圈养棕熊进行了促肾上腺皮质激素(ACTH)挑战。我们在注射后0、3、6、24、48和72 h采集10 ml血液,测量血液皮质醇浓度的变化。从注射前24小时至ACTH刺激后72小时的上午7:00至晚上8:00之间收集粪便样本。我们发现FCM浓度与血皮质醇浓度呈正相关,血皮质醇浓度峰值出现在ACTH刺激后3至6小时,而FCM浓度峰值出现在注射后10至27小时。
本文章由计算机程序翻译,如有差异,请以英文原文为准。
求助全文
约1分钟内获得全文 求助全文
来源期刊
Conservation Physiology
Conservation Physiology Environmental Science-Management, Monitoring, Policy and Law
CiteScore
5.10
自引率
3.70%
发文量
71
审稿时长
11 weeks
期刊介绍: Conservation Physiology is an online only, fully open access journal published on behalf of the Society for Experimental Biology. Biodiversity across the globe faces a growing number of threats associated with human activities. Conservation Physiology will publish research on all taxa (microbes, plants and animals) focused on understanding and predicting how organisms, populations, ecosystems and natural resources respond to environmental change and stressors. Physiology is considered in the broadest possible terms to include functional and mechanistic responses at all scales. We also welcome research towards developing and refining strategies to rebuild populations, restore ecosystems, inform conservation policy, and manage living resources. We define conservation physiology broadly and encourage potential authors to contact the editorial team if they have any questions regarding the remit of the journal.
×
引用
GB/T 7714-2015
复制
MLA
复制
APA
复制
导出至
BibTeX EndNote RefMan NoteFirst NoteExpress
×
提示
您的信息不完整,为了账户安全,请先补充。
现在去补充
×
提示
您因"违规操作"
具体请查看互助需知
我知道了
×
提示
确定
请完成安全验证×
copy
已复制链接
快去分享给好友吧!
我知道了
右上角分享
点击右上角分享
0
联系我们:info@booksci.cn Book学术提供免费学术资源搜索服务,方便国内外学者检索中英文文献。致力于提供最便捷和优质的服务体验。 Copyright © 2023 布克学术 All rights reserved.
京ICP备2023020795号-1
ghs 京公网安备 11010802042870号
Book学术文献互助
Book学术文献互助群
群 号:604180095
Book学术官方微信