MultiChem: predicting chemical properties using multi-view graph attention network.

IF 6.1 3区 生物学 Q1 MATHEMATICAL & COMPUTATIONAL BIOLOGY
Heesang Moon, Mina Rho
{"title":"MultiChem: predicting chemical properties using multi-view graph attention network.","authors":"Heesang Moon, Mina Rho","doi":"10.1186/s13040-024-00419-4","DOIUrl":null,"url":null,"abstract":"<p><strong>Background: </strong>Understanding the molecular properties of chemical compounds is essential for identifying potential candidates or ensuring safety in drug discovery. However, exploring the vast chemical space is time-consuming and costly, necessitating the development of time-efficient and cost-effective computational methods. Recent advances in deep learning approaches have offered deeper insights into molecular structures. Leveraging this progress, we developed a novel multi-view learning model.</p><p><strong>Results: </strong>We introduce a graph-integrated model that captures both local and global structural features of chemical compounds. In our model, graph attention layers are employed to effectively capture essential local structures by jointly considering atom and bond features, while multi-head attention layers extract important global features. We evaluated our model on nine MoleculeNet datasets, encompassing both classification and regression tasks, and compared its performance with state-of-the-art methods. Our model achieved an average area under the receiver operating characteristic (AUROC) of 0.822 and a root mean squared error (RMSE) of 1.133, representing a 3% improvement in AUROC and a 7% improvement in RMSE over state-of-the-art models in extensive seed testing.</p><p><strong>Conclusion: </strong>MultiChem highlights the importance of integrating both local and global structural information in predicting molecular properties, while also assessing the stability of the models across multiple datasets using various random seed values.</p><p><strong>Implementation: </strong>The codes are available at https://github.com/DMnBI/MultiChem .</p>","PeriodicalId":48947,"journal":{"name":"Biodata Mining","volume":"18 1","pages":"4"},"PeriodicalIF":6.1000,"publicationDate":"2025-01-16","publicationTypes":"Journal Article","fieldsOfStudy":null,"isOpenAccess":false,"openAccessPdf":"https://www.ncbi.nlm.nih.gov/pmc/articles/PMC11737097/pdf/","citationCount":"0","resultStr":null,"platform":"Semanticscholar","paperid":null,"PeriodicalName":"Biodata Mining","FirstCategoryId":"99","ListUrlMain":"https://doi.org/10.1186/s13040-024-00419-4","RegionNum":3,"RegionCategory":"生物学","ArticlePicture":[],"TitleCN":null,"AbstractTextCN":null,"PMCID":null,"EPubDate":"","PubModel":"","JCR":"Q1","JCRName":"MATHEMATICAL & COMPUTATIONAL BIOLOGY","Score":null,"Total":0}
引用次数: 0

Abstract

Background: Understanding the molecular properties of chemical compounds is essential for identifying potential candidates or ensuring safety in drug discovery. However, exploring the vast chemical space is time-consuming and costly, necessitating the development of time-efficient and cost-effective computational methods. Recent advances in deep learning approaches have offered deeper insights into molecular structures. Leveraging this progress, we developed a novel multi-view learning model.

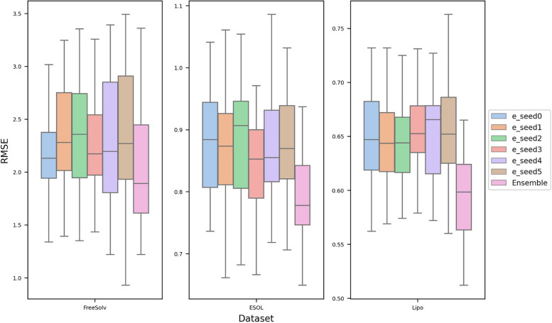
Results: We introduce a graph-integrated model that captures both local and global structural features of chemical compounds. In our model, graph attention layers are employed to effectively capture essential local structures by jointly considering atom and bond features, while multi-head attention layers extract important global features. We evaluated our model on nine MoleculeNet datasets, encompassing both classification and regression tasks, and compared its performance with state-of-the-art methods. Our model achieved an average area under the receiver operating characteristic (AUROC) of 0.822 and a root mean squared error (RMSE) of 1.133, representing a 3% improvement in AUROC and a 7% improvement in RMSE over state-of-the-art models in extensive seed testing.

Conclusion: MultiChem highlights the importance of integrating both local and global structural information in predicting molecular properties, while also assessing the stability of the models across multiple datasets using various random seed values.

Implementation: The codes are available at https://github.com/DMnBI/MultiChem .

Abstract Image

Abstract Image

Abstract Image

MultiChem:使用多视图图注意网络预测化学性质。
背景:了解化合物的分子性质对于确定潜在候选药物或确保药物开发的安全性至关重要。然而,探索广阔的化学空间既耗时又昂贵,因此需要开发具有时间效率和成本效益的计算方法。深度学习方法的最新进展为分子结构提供了更深入的见解。利用这一进展,我们开发了一种新的多视图学习模型。结果:我们引入了一个图集成模型,可以捕获化合物的局部和全局结构特征。在我们的模型中,图关注层通过联合考虑原子和键的特征来有效捕获重要的局部结构,而多头关注层则提取重要的全局特征。我们在九个MoleculeNet数据集上评估了我们的模型,包括分类和回归任务,并将其性能与最先进的方法进行了比较。我们的模型在接收者操作特征(AUROC)下的平均面积为0.822,均方根误差(RMSE)为1.133,在广泛的种子测试中,与最先进的模型相比,AUROC提高了3%,RMSE提高了7%。结论:MultiChem强调了在预测分子性质时整合局部和全局结构信息的重要性,同时也使用不同的随机种子值评估了模型在多个数据集上的稳定性。实现:代码可在https://github.com/DMnBI/MultiChem上获得。
本文章由计算机程序翻译,如有差异,请以英文原文为准。
求助全文
约1分钟内获得全文 求助全文
来源期刊
Biodata Mining
Biodata Mining MATHEMATICAL & COMPUTATIONAL BIOLOGY-
CiteScore
7.90
自引率
0.00%
发文量
28
审稿时长
23 weeks
期刊介绍: BioData Mining is an open access, open peer-reviewed journal encompassing research on all aspects of data mining applied to high-dimensional biological and biomedical data, focusing on computational aspects of knowledge discovery from large-scale genetic, transcriptomic, genomic, proteomic, and metabolomic data. Topical areas include, but are not limited to: -Development, evaluation, and application of novel data mining and machine learning algorithms. -Adaptation, evaluation, and application of traditional data mining and machine learning algorithms. -Open-source software for the application of data mining and machine learning algorithms. -Design, development and integration of databases, software and web services for the storage, management, retrieval, and analysis of data from large scale studies. -Pre-processing, post-processing, modeling, and interpretation of data mining and machine learning results for biological interpretation and knowledge discovery.
×
引用
GB/T 7714-2015
复制
MLA
复制
APA
复制
导出至
BibTeX EndNote RefMan NoteFirst NoteExpress
×
提示
您的信息不完整,为了账户安全,请先补充。
现在去补充
×
提示
您因"违规操作"
具体请查看互助需知
我知道了
×
提示
确定
请完成安全验证×
copy
已复制链接
快去分享给好友吧!
我知道了
右上角分享
点击右上角分享
0
联系我们:info@booksci.cn Book学术提供免费学术资源搜索服务,方便国内外学者检索中英文文献。致力于提供最便捷和优质的服务体验。 Copyright © 2023 布克学术 All rights reserved.
京ICP备2023020795号-1
ghs 京公网安备 11010802042870号
Book学术文献互助
Book学术文献互助群
群 号:604180095
Book学术官方微信