Momentary physical activity, subjective age, and the moderating role of pain.

IF 3.5 2区 社会学 Q1 GERONTOLOGY
Maiken Tingvold, Nanna Notthoff, Lisa Borgmann, Anna E Kornadt
{"title":"Momentary physical activity, subjective age, and the moderating role of pain.","authors":"Maiken Tingvold, Nanna Notthoff, Lisa Borgmann, Anna E Kornadt","doi":"10.1007/s10433-024-00836-8","DOIUrl":null,"url":null,"abstract":"<p><p>Subjective age, that is felt age compared to chronological age, is an important predictor of health and well-being in later life. It can fluctuate from day to day and from one moment to another. Previous cross-sectional and macro-longitudinal studies have shown that feeling younger is related to physical fitness and exercise. Yet, there is limited knowledge on the effects of physical activity on subjective age in daily life and moderators of this association. We thus aim to investigate the association of momentary physical activity with momentary subjective age, expecting that more activity is related to feeling younger. We further expect that concurrent pain experience attenuates this relationship. N = 54 participants aged 50-62 years (Mage = 56.1 years, 75% female) wore chest-sensors measuring their physical activity (step count, movement acceleration) for one week and reported on their subjective age five times per day. Multilevel regression analyses revealed between and within-person variation in momentary subjective age (ICC = 0.74), pain (ICC = 0.63) and physical activity (ICC Moac30 = 0.078, steps30 = 0.053). Pain emerged as a consistent predictor of momentary subjective age (b = 4.64, p = 0.000), whereas results were mixed for the physical activity measures. No significant moderating effect of pain was observed on the relationship between physical activity and subjective age. Our study shows the importance of pain experiences for momentary subjective age, whereas the role of momentary physical activity needs further exploration.</p>","PeriodicalId":47766,"journal":{"name":"European Journal of Ageing","volume":"22 1","pages":"1"},"PeriodicalIF":3.5000,"publicationDate":"2025-01-16","publicationTypes":"Journal Article","fieldsOfStudy":null,"isOpenAccess":false,"openAccessPdf":"https://www.ncbi.nlm.nih.gov/pmc/articles/PMC11739440/pdf/","citationCount":"0","resultStr":null,"platform":"Semanticscholar","paperid":null,"PeriodicalName":"European Journal of Ageing","FirstCategoryId":"90","ListUrlMain":"https://doi.org/10.1007/s10433-024-00836-8","RegionNum":2,"RegionCategory":"社会学","ArticlePicture":[],"TitleCN":null,"AbstractTextCN":null,"PMCID":null,"EPubDate":"","PubModel":"","JCR":"Q1","JCRName":"GERONTOLOGY","Score":null,"Total":0}
引用次数: 0

Abstract

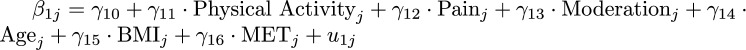
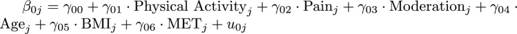
Subjective age, that is felt age compared to chronological age, is an important predictor of health and well-being in later life. It can fluctuate from day to day and from one moment to another. Previous cross-sectional and macro-longitudinal studies have shown that feeling younger is related to physical fitness and exercise. Yet, there is limited knowledge on the effects of physical activity on subjective age in daily life and moderators of this association. We thus aim to investigate the association of momentary physical activity with momentary subjective age, expecting that more activity is related to feeling younger. We further expect that concurrent pain experience attenuates this relationship. N = 54 participants aged 50-62 years (Mage = 56.1 years, 75% female) wore chest-sensors measuring their physical activity (step count, movement acceleration) for one week and reported on their subjective age five times per day. Multilevel regression analyses revealed between and within-person variation in momentary subjective age (ICC = 0.74), pain (ICC = 0.63) and physical activity (ICC Moac30 = 0.078, steps30 = 0.053). Pain emerged as a consistent predictor of momentary subjective age (b = 4.64, p = 0.000), whereas results were mixed for the physical activity measures. No significant moderating effect of pain was observed on the relationship between physical activity and subjective age. Our study shows the importance of pain experiences for momentary subjective age, whereas the role of momentary physical activity needs further exploration.

Abstract Image

Abstract Image

Abstract Image

瞬时体力活动、主观年龄和疼痛的调节作用。
主观年龄,即与实际年龄相比的感觉年龄,是晚年健康和幸福的重要预测指标。它每天都在波动,每时每刻都在波动。以前的横断面和宏观纵向研究表明,感觉年轻与身体健康和锻炼有关。然而,关于日常生活中体育活动对主观年龄的影响以及这种关联的调节因子的知识有限。因此,我们的目的是调查瞬时身体活动与瞬时主观年龄的关系,期望更多的活动与感觉年轻有关。我们进一步预期并发疼痛体验会减弱这种关系。N = 54名年龄在50-62岁之间的参与者(年龄为56.1岁,75%为女性)佩戴了测量他们身体活动(步数,运动加速度)的胸部传感器一周,每天报告他们的主观年龄五次。多水平回归分析显示,瞬时主观年龄(ICC = 0.74)、疼痛(ICC = 0.63)和身体活动(ICC Moac30 = 0.078, step30 = 0.053)在人与人之间存在差异。疼痛是瞬间主观年龄的一致预测因子(b = 4.64, p = 0.000),而体力活动测量的结果则是混合的。疼痛对体力活动与主观年龄的关系无显著调节作用。我们的研究表明疼痛经历对瞬时主观年龄的重要性,而瞬时身体活动的作用有待进一步探索。
本文章由计算机程序翻译,如有差异,请以英文原文为准。
求助全文
约1分钟内获得全文 求助全文
来源期刊
CiteScore
6.50
自引率
7.90%
发文量
72
期刊介绍: The European Journal of Ageing: Social, Behavioural and Health Perspectives is an interdisciplinary journal devoted to the understanding of ageing in European societies and the world over. EJA publishes original articles on the social, behavioral and population health aspects of ageing and encourages an integrated approach between these aspects. Emphasis is put on publishing empirical research (including meta-analyses), but conceptual papers (including narrative reviews) and methodological contributions will also be considered. EJA welcomes expert opinions on critical issues in ageing. By stimulating communication between researchers and those using research findings, it aims to contribute to the formulation of better policies and the development of better practice in serving older adults. To further specify, with the term ''social'' is meant the full scope of social science of ageing related research from the micro to the macro level of analysis. With the term ''behavioural'' the full scope of psychological ageing research including life span approaches based on a range of age groups from young to old is envisaged. The term ''population health-related'' denotes social-epidemiological and public health oriented research including research on functional health in the widest possible sense.
×
引用
GB/T 7714-2015
复制
MLA
复制
APA
复制
导出至
BibTeX EndNote RefMan NoteFirst NoteExpress
×
提示
您的信息不完整,为了账户安全,请先补充。
现在去补充
×
提示
您因"违规操作"
具体请查看互助需知
我知道了
×
提示
确定
请完成安全验证×
copy
已复制链接
快去分享给好友吧!
我知道了
右上角分享
点击右上角分享
0
联系我们:info@booksci.cn Book学术提供免费学术资源搜索服务,方便国内外学者检索中英文文献。致力于提供最便捷和优质的服务体验。 Copyright © 2023 布克学术 All rights reserved.
京ICP备2023020795号-1
ghs 京公网安备 11010802042870号
Book学术文献互助
Book学术文献互助群
群 号:604180095
Book学术官方微信