Subintuitionistic logics and their modal companions: a nested approach.

Q1 Arts and Humanities
Journal of Applied Non-Classical Logics Pub Date : 2024-08-03 eCollection Date: 2024-01-01 DOI:10.1080/11663081.2024.2366756
Matteo Tesi
{"title":"Subintuitionistic logics and their modal companions: a nested approach.","authors":"Matteo Tesi","doi":"10.1080/11663081.2024.2366756","DOIUrl":null,"url":null,"abstract":"<p><p>In the present paper we deal with subintuitionistic logics and their modal companions. In particular, we introduce nested calculi for subintuitionistic systems and for modal logics in the <math><mrow><mi>S</mi> <mn>5</mn></mrow> </math> modal cube ranging from <math><mrow><mi>K</mi></mrow> </math> to <math><mrow><mi>S</mi> <mn>4</mn></mrow> </math> . The latter calculi differ from standard nested systems, as there are multiple rules handling the modal operator. As an upshot, we get a purely syntactic proof of the Gödel-McKinsey-Tarski embedding which preserves the structure and the height of the derivations. Finally, we obtain a conservativity result for classical logic over a weak subintuitionistic system.</p>","PeriodicalId":38573,"journal":{"name":"Journal of Applied Non-Classical Logics","volume":"34 4","pages":"493-526"},"PeriodicalIF":0.0000,"publicationDate":"2024-08-03","publicationTypes":"Journal Article","fieldsOfStudy":null,"isOpenAccess":false,"openAccessPdf":"https://www.ncbi.nlm.nih.gov/pmc/articles/PMC11737289/pdf/","citationCount":"0","resultStr":null,"platform":"Semanticscholar","paperid":null,"PeriodicalName":"Journal of Applied Non-Classical Logics","FirstCategoryId":"1085","ListUrlMain":"https://doi.org/10.1080/11663081.2024.2366756","RegionNum":0,"RegionCategory":null,"ArticlePicture":[],"TitleCN":null,"AbstractTextCN":null,"PMCID":null,"EPubDate":"2024/1/1 0:00:00","PubModel":"eCollection","JCR":"Q1","JCRName":"Arts and Humanities","Score":null,"Total":0}
引用次数: 0

Abstract

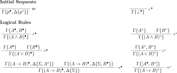
In the present paper we deal with subintuitionistic logics and their modal companions. In particular, we introduce nested calculi for subintuitionistic systems and for modal logics in the S 5 modal cube ranging from K to S 4 . The latter calculi differ from standard nested systems, as there are multiple rules handling the modal operator. As an upshot, we get a purely syntactic proof of the Gödel-McKinsey-Tarski embedding which preserves the structure and the height of the derivations. Finally, we obtain a conservativity result for classical logic over a weak subintuitionistic system.

Abstract Image

Abstract Image

Abstract Image

次直觉逻辑及其模态同伴:一种嵌套方法。
在本文中,我们讨论了次直觉逻辑及其模态同伴。特别地,我们在S 5模态立方K到S 4范围内引入了子直觉系统和模态逻辑的嵌套演算。后一种演算不同于标准的嵌套系统,因为有多个规则处理模态操作符。作为结果,我们得到了Gödel-McKinsey-Tarski嵌入的纯语法证明,它保留了衍生的结构和高度。最后,我们得到了经典逻辑在弱次直觉系统上的保守性结果。
本文章由计算机程序翻译,如有差异,请以英文原文为准。
求助全文
约1分钟内获得全文 求助全文
来源期刊
Journal of Applied Non-Classical Logics
Journal of Applied Non-Classical Logics Arts and Humanities-Philosophy
CiteScore
1.30
自引率
0.00%
发文量
8
×
引用
GB/T 7714-2015
复制
MLA
复制
APA
复制
导出至
BibTeX EndNote RefMan NoteFirst NoteExpress
×
提示
您的信息不完整,为了账户安全,请先补充。
现在去补充
×
提示
您因"违规操作"
具体请查看互助需知
我知道了
×
提示
确定
请完成安全验证×
copy
已复制链接
快去分享给好友吧!
我知道了
右上角分享
点击右上角分享
0
联系我们:info@booksci.cn Book学术提供免费学术资源搜索服务,方便国内外学者检索中英文文献。致力于提供最便捷和优质的服务体验。 Copyright © 2023 布克学术 All rights reserved.
京ICP备2023020795号-1
ghs 京公网安备 11010802042870号
Book学术文献互助
Book学术文献互助群
群 号:604180095
Book学术官方微信