Prioritizing Patients from the Most Deprived Areas on Elective Waiting Lists in the NHS in England: Estimating the Health and Health Inequality Impact.

IF 1.7 Q3 HEALTH CARE SCIENCES & SERVICES
MDM Policy and Practice Pub Date : 2025-01-21 eCollection Date: 2025-01-01 DOI:10.1177/23814683241310146
Naomi Kate Gibbs, Susan Griffin, Nils Gutacker, Adrián Villaseñor, Simon Walker
{"title":"Prioritizing Patients from the Most Deprived Areas on Elective Waiting Lists in the NHS in England: Estimating the Health and Health Inequality Impact.","authors":"Naomi Kate Gibbs, Susan Griffin, Nils Gutacker, Adrián Villaseñor, Simon Walker","doi":"10.1177/23814683241310146","DOIUrl":null,"url":null,"abstract":"<p><p><b>Introduction.</b> Reducing hospital waiting lists for elective procedures is a policy concern in the National Health Service (NHS) in England. Following growth in waiting lists after COVID-19, the NHS published an elective recovery plan that includes an aim to prioritize patients from deprived areas. We use a previously developed model to estimate the health and health inequality impact under hypothetical targeted versus universal policies to reduce waiting time. <b>Methods.</b> We use a Markov model to estimate the health impact of waiting, by index of multiple deprivation quintile group, for 8 elective procedures. We estimate patients' remaining quality-adjusted life-years (QALYs) with baseline waiting times and under 2 hypothetical policy scenarios: 1) a universal policy in which all patients receive an equal reduction in wait and 2) a targeted policy in which patients living in the most deprived quintile are prioritized. We estimate individual and population level health under each of the 2 policies and compare it with baseline. We also estimate how health inequality changes from baseline using the slope index of inequality, reflecting the difference in health between the least and most deprived quintile based on QALYs. <b>Results.</b> A universal reduction in waiting time is estimated to improve overall population health but increase health inequality. A targeted reduction would achieve nearly the same overall health gain and would also increase population-level health inequalities but to a lesser extent than the universal policy would. <b>Discussion.</b> If the NHS is successful in prioritizing patients on waiting lists from the most deprived areas, this may result in smaller increases in health inequalities while maintaining a similar level of overall health gain compared with a universal policy.</p><p><strong>Highlights: </strong>The NHS elective recovery plans include prioritizing patients who live in the most deprived areas of England.Evaluating a hypothetical targeted wait time reduction policy against a universal wait time reduction policy suggests almost the same level of population health gain could be achieved while lessening the negative impact on health inequality.Expected outcomes of government health policies should be quantified to explore the impact on both health maximization and health inequality minimization, as both represent legitimate policy concerns.</p>","PeriodicalId":36567,"journal":{"name":"MDM Policy and Practice","volume":"10 1","pages":"23814683241310146"},"PeriodicalIF":1.7000,"publicationDate":"2025-01-21","publicationTypes":"Journal Article","fieldsOfStudy":null,"isOpenAccess":false,"openAccessPdf":"https://www.ncbi.nlm.nih.gov/pmc/articles/PMC11748141/pdf/","citationCount":"0","resultStr":null,"platform":"Semanticscholar","paperid":null,"PeriodicalName":"MDM Policy and Practice","FirstCategoryId":"1085","ListUrlMain":"https://doi.org/10.1177/23814683241310146","RegionNum":0,"RegionCategory":null,"ArticlePicture":[],"TitleCN":null,"AbstractTextCN":null,"PMCID":null,"EPubDate":"2025/1/1 0:00:00","PubModel":"eCollection","JCR":"Q3","JCRName":"HEALTH CARE SCIENCES & SERVICES","Score":null,"Total":0}
引用次数: 0

Abstract

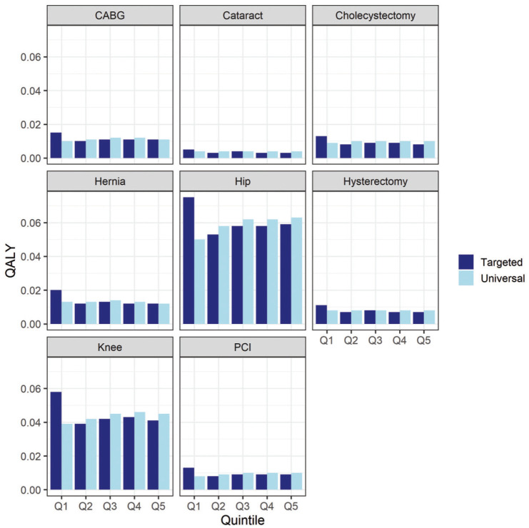
Introduction. Reducing hospital waiting lists for elective procedures is a policy concern in the National Health Service (NHS) in England. Following growth in waiting lists after COVID-19, the NHS published an elective recovery plan that includes an aim to prioritize patients from deprived areas. We use a previously developed model to estimate the health and health inequality impact under hypothetical targeted versus universal policies to reduce waiting time. Methods. We use a Markov model to estimate the health impact of waiting, by index of multiple deprivation quintile group, for 8 elective procedures. We estimate patients' remaining quality-adjusted life-years (QALYs) with baseline waiting times and under 2 hypothetical policy scenarios: 1) a universal policy in which all patients receive an equal reduction in wait and 2) a targeted policy in which patients living in the most deprived quintile are prioritized. We estimate individual and population level health under each of the 2 policies and compare it with baseline. We also estimate how health inequality changes from baseline using the slope index of inequality, reflecting the difference in health between the least and most deprived quintile based on QALYs. Results. A universal reduction in waiting time is estimated to improve overall population health but increase health inequality. A targeted reduction would achieve nearly the same overall health gain and would also increase population-level health inequalities but to a lesser extent than the universal policy would. Discussion. If the NHS is successful in prioritizing patients on waiting lists from the most deprived areas, this may result in smaller increases in health inequalities while maintaining a similar level of overall health gain compared with a universal policy.

Highlights: The NHS elective recovery plans include prioritizing patients who live in the most deprived areas of England.Evaluating a hypothetical targeted wait time reduction policy against a universal wait time reduction policy suggests almost the same level of population health gain could be achieved while lessening the negative impact on health inequality.Expected outcomes of government health policies should be quantified to explore the impact on both health maximization and health inequality minimization, as both represent legitimate policy concerns.

Abstract Image

Abstract Image

Abstract Image

优先考虑来自最贫困地区的患者在英国国民保健服务候诊名单:估计健康和健康不平等的影响。
介绍。减少医院候诊名单的选择性程序是一个政策关注的国家卫生服务(NHS)在英格兰。随着COVID-19后等待名单的增加,NHS发布了一项选择性恢复计划,其中包括优先考虑来自贫困地区的患者。我们使用先前开发的模型来估计在假设的目标政策与普遍政策下减少等待时间的健康和健康不平等影响。方法。我们使用马尔可夫模型,通过多重剥夺五分位数组的指数来估计8种选择性手术的等待对健康的影响。我们根据基线等待时间和两种假设政策情景估计患者的剩余质量调整生命年(QALYs): 1)所有患者获得同等等待时间减少的普遍政策和2)优先考虑生活在最贫困五分之一的患者的目标政策。我们估计了两种政策下的个人和人群健康水平,并将其与基线进行比较。我们还使用不平等的斜率指数来估计健康不平等如何从基线变化,反映基于质量年的最贫困和最贫困五分之一之间的健康差异。结果。据估计,普遍减少等待时间将改善总体人口健康,但也会增加健康不平等。有针对性的减少将实现几乎相同的总体健康收益,也将增加人口一级的健康不平等,但程度低于普遍政策。讨论。如果国民保健制度成功地将最贫困地区的病人排在等候名单上,这可能导致保健不平等的增加幅度较小,同时与普遍政策相比,保持类似水平的总体健康收益。亮点:NHS选择性恢复计划包括优先考虑生活在英格兰最贫困地区的患者。将假设的有针对性的减少等待时间政策与普遍的减少等待时间政策进行评估表明,在减少对健康不平等的负面影响的同时,可以实现几乎相同水平的人口健康收益。应量化政府卫生政策的预期结果,以探讨对健康最大化和健康不平等最小化的影响,因为两者都是合理的政策关切。
本文章由计算机程序翻译,如有差异,请以英文原文为准。
求助全文
约1分钟内获得全文 求助全文
来源期刊
MDM Policy and Practice
MDM Policy and Practice Medicine-Health Policy
CiteScore
2.50
自引率
0.00%
发文量
28
审稿时长
15 weeks
×
引用
GB/T 7714-2015
复制
MLA
复制
APA
复制
导出至
BibTeX EndNote RefMan NoteFirst NoteExpress
×
提示
您的信息不完整,为了账户安全,请先补充。
现在去补充
×
提示
您因"违规操作"
具体请查看互助需知
我知道了
×
提示
确定
请完成安全验证×
copy
已复制链接
快去分享给好友吧!
我知道了
右上角分享
点击右上角分享
0
联系我们:info@booksci.cn Book学术提供免费学术资源搜索服务,方便国内外学者检索中英文文献。致力于提供最便捷和优质的服务体验。 Copyright © 2023 布克学术 All rights reserved.
京ICP备2023020795号-1
ghs 京公网安备 11010802042870号
Book学术文献互助
Book学术文献互助群
群 号:604180095
Book学术官方微信