Integration of CD200, CD43 and ROR1 in Multiparameter Flow Cytometry (MFC) Routine Panels for the Differential Diagnosis of B-cell lymphoproliferative Disorders (B-LPDs).

IF 1.5 4区 医学 Q3 HEMATOLOGY
Alessandro Laganà, Raffaele Maglione, Alessandro Costa, Biancamaria Mandelli, Maria Laura Bisegna, Maria Laura Milani, Valeria Filipponi, Maria Grazia Nardacci, Tania Soriano, Eugenio Santacroce, Luigi Petrucci, Carla Giordano, Maurizio Martelli, Maria Stefania De Propris
{"title":"Integration of CD200, CD43 and ROR1 in Multiparameter Flow Cytometry (MFC) Routine Panels for the Differential Diagnosis of B-cell lymphoproliferative Disorders (B-LPDs).","authors":"Alessandro Laganà, Raffaele Maglione, Alessandro Costa, Biancamaria Mandelli, Maria Laura Bisegna, Maria Laura Milani, Valeria Filipponi, Maria Grazia Nardacci, Tania Soriano, Eugenio Santacroce, Luigi Petrucci, Carla Giordano, Maurizio Martelli, Maria Stefania De Propris","doi":"10.4084/MJHID.2025.002","DOIUrl":null,"url":null,"abstract":"<p><strong>Background: </strong>Clonal mature B-cell lymphoproliferative disorders (B-LPDs) are a heterogeneous group of neoplasia characterized by the proliferation of mature B lymphocytes in the peripheral blood, bone marrow and/or lymphoid tissues. B-LPDs classification into different subtypes and their diagnosis is based on a multiparametric approach. However, accurate diagnosis may be challenging, especially in cases of ambiguous interpretation. Multiparameter flow cytometry (MFC) represents an extensively used technique to detect the presence of different cellular lines in immunology and hematology. MFC results provide an essential contribution to the B-LPDs diagnostic process, even more so considering that panels are constantly integrating novel markers to improve diagnostic accuracy.</p><p><strong>Objectives: </strong>The aim was to evaluate the contributing role of MFC routinary studies by analyzing the expression and the mean fluorescence intensity (MFI) of CD200, ROR1, and CD43 in various B-LPDs to evaluate their usefulness in the differential diagnosis of these diseases.</p><p><strong>Methods: </strong>We retrospectively evaluated 2615 consecutive cases of newly collected samples (mostly from patients with lymphocytosis) analyzed by MFC carried out in the B-LPD diagnostic process referred to the Division of Hematology of the Sapienza University of Rome. We compared the results of CD200, ROR1, and CD43 expression percentage and their MFI between different subtypes of B-LPDs.</p><p><strong>Results: </strong>In chronic lymphocytic leukemia (CLL), CD200, ROR1, and CD43 were always expressed with bright intensity. CLL samples presented high CD200 expression and MFI [CD200%, mean: 100 (range, 24-100); positivity rate: 100%; MFI, median = 125 (range, 10-1200)] statistically higher than mantle cell lymphoma (MCL) (p<0.001), which is usually negative for CD200, and variant hairy cell leukemia (vHCL, according to 2022 ICC) (p<0.001), but comparable with classic HCL (cHCL) (p>0.9). ROR1 resulted expressed in all CLL [ROR1%, mean: 100 (range, 52-100), positivity rate: 100%; MFI, median=50 (range, 10-202)] and MCL cases with comparable MFI (p>0.9). CD43 expression and MFI were significantly higher in CLL [CD43%, mean 99 (range, 59-100); positivity rate: 100%; MFI, median = 130 (range, 41-980)] than in MCL, vHCL, cHCL, and all the others mature B-cell neoplasia (p<0.001). CD200 and CD43 expression and MFI were significantly higher in cHCL compared to vHCL. Among the other mature B-cell neoplasia, CD200 was variably expressed in follicular lymphoma (FL), marginal zone lymphoma (MZL), diffuse large B-cell lymphoma (DLBCL), and lymphoplasmacytic lymphoma (LPL). ROR1 and CD43 presented a very low expression percentage in this latter group, being mostly negative. Persistent polyclonal B-cell lymphocytosis (PPBL) resulted in uniformly positive for CD200 and negative for ROR1 and CD43.</p><p><strong>Conclusions: </strong>Our data suggest that evaluating CD200, ROR1, and CD43 antigens and their intensity of expression, along with commonly used markers in MFC routine panels for B-LPDs, might be extremely useful for prompt diagnostic evaluation in the differential diagnosis of these diseases.</p>","PeriodicalId":18498,"journal":{"name":"Mediterranean Journal of Hematology and Infectious Diseases","volume":"17 1","pages":"e2025002"},"PeriodicalIF":1.5000,"publicationDate":"2025-01-01","publicationTypes":"Journal Article","fieldsOfStudy":null,"isOpenAccess":false,"openAccessPdf":"https://www.ncbi.nlm.nih.gov/pmc/articles/PMC11740909/pdf/","citationCount":"0","resultStr":null,"platform":"Semanticscholar","paperid":null,"PeriodicalName":"Mediterranean Journal of Hematology and Infectious Diseases","FirstCategoryId":"3","ListUrlMain":"https://doi.org/10.4084/MJHID.2025.002","RegionNum":4,"RegionCategory":"医学","ArticlePicture":[],"TitleCN":null,"AbstractTextCN":null,"PMCID":null,"EPubDate":"","PubModel":"","JCR":"Q3","JCRName":"HEMATOLOGY","Score":null,"Total":0}
引用次数: 0

Abstract

Background: Clonal mature B-cell lymphoproliferative disorders (B-LPDs) are a heterogeneous group of neoplasia characterized by the proliferation of mature B lymphocytes in the peripheral blood, bone marrow and/or lymphoid tissues. B-LPDs classification into different subtypes and their diagnosis is based on a multiparametric approach. However, accurate diagnosis may be challenging, especially in cases of ambiguous interpretation. Multiparameter flow cytometry (MFC) represents an extensively used technique to detect the presence of different cellular lines in immunology and hematology. MFC results provide an essential contribution to the B-LPDs diagnostic process, even more so considering that panels are constantly integrating novel markers to improve diagnostic accuracy.

Objectives: The aim was to evaluate the contributing role of MFC routinary studies by analyzing the expression and the mean fluorescence intensity (MFI) of CD200, ROR1, and CD43 in various B-LPDs to evaluate their usefulness in the differential diagnosis of these diseases.

Methods: We retrospectively evaluated 2615 consecutive cases of newly collected samples (mostly from patients with lymphocytosis) analyzed by MFC carried out in the B-LPD diagnostic process referred to the Division of Hematology of the Sapienza University of Rome. We compared the results of CD200, ROR1, and CD43 expression percentage and their MFI between different subtypes of B-LPDs.

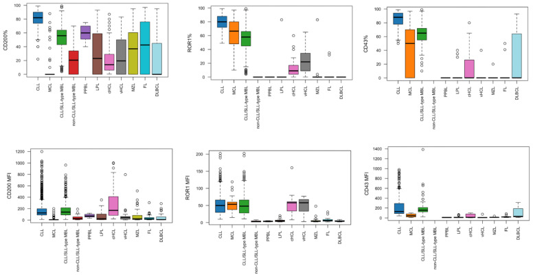
Results: In chronic lymphocytic leukemia (CLL), CD200, ROR1, and CD43 were always expressed with bright intensity. CLL samples presented high CD200 expression and MFI [CD200%, mean: 100 (range, 24-100); positivity rate: 100%; MFI, median = 125 (range, 10-1200)] statistically higher than mantle cell lymphoma (MCL) (p<0.001), which is usually negative for CD200, and variant hairy cell leukemia (vHCL, according to 2022 ICC) (p<0.001), but comparable with classic HCL (cHCL) (p>0.9). ROR1 resulted expressed in all CLL [ROR1%, mean: 100 (range, 52-100), positivity rate: 100%; MFI, median=50 (range, 10-202)] and MCL cases with comparable MFI (p>0.9). CD43 expression and MFI were significantly higher in CLL [CD43%, mean 99 (range, 59-100); positivity rate: 100%; MFI, median = 130 (range, 41-980)] than in MCL, vHCL, cHCL, and all the others mature B-cell neoplasia (p<0.001). CD200 and CD43 expression and MFI were significantly higher in cHCL compared to vHCL. Among the other mature B-cell neoplasia, CD200 was variably expressed in follicular lymphoma (FL), marginal zone lymphoma (MZL), diffuse large B-cell lymphoma (DLBCL), and lymphoplasmacytic lymphoma (LPL). ROR1 and CD43 presented a very low expression percentage in this latter group, being mostly negative. Persistent polyclonal B-cell lymphocytosis (PPBL) resulted in uniformly positive for CD200 and negative for ROR1 and CD43.

Conclusions: Our data suggest that evaluating CD200, ROR1, and CD43 antigens and their intensity of expression, along with commonly used markers in MFC routine panels for B-LPDs, might be extremely useful for prompt diagnostic evaluation in the differential diagnosis of these diseases.

Abstract Image

Abstract Image

Abstract Image

整合CD200、CD43和ROR1在多参数流式细胞术(MFC)常规检测中用于b细胞淋巴增殖性疾病(b - lpd)的鉴别诊断
背景:克隆成熟B细胞淋巴增生性疾病(B- lpd)是一种异质性肿瘤,其特征是外周血、骨髓和/或淋巴组织中成熟B淋巴细胞的增殖。b - lpd的不同亚型分类及其诊断基于多参数方法。然而,准确的诊断可能具有挑战性,特别是在解释不明确的情况下。多参数流式细胞术(MFC)是一种在免疫学和血液学中广泛应用的检测不同细胞系的技术。MFC结果为b - lpd诊断过程提供了重要的贡献,考虑到面板不断整合新的标记物以提高诊断准确性,更是如此。目的:通过分析各种b - lpd中CD200、ROR1和CD43的表达和平均荧光强度(MFI)来评估MFC常规研究的贡献作用,以评估其在这些疾病的鉴别诊断中的价值。方法:我们回顾性评估2615例新采集的样本(主要来自淋巴细胞增生患者),这些样本是在罗马Sapienza大学血液学部门的B-LPD诊断过程中进行的MFC分析。我们比较了不同亚型b - lpd中CD200、ROR1和CD43的表达百分比及其MFI的结果。结果:在慢性淋巴细胞白血病(CLL)中,CD200、ROR1、CD43均呈亮强表达。CLL样品CD200高表达,MFI [CD200%,平均值:100(范围:24-100);阳性率:100%;MFI,中位数= 125(范围,10-1200)]高于套细胞淋巴瘤(MCL) (p0.9)。ROR1结果在所有CLL中表达[ROR1 1%,平均值:100(范围,52-100),阳性率:100%;MFI,中位数=50(范围,10-202)]和MFI相当的MCL病例(p < 0 0.9)。CD43表达和MFI在CLL中显著升高[CD43%,平均99(范围,59-100);阳性率:100%;MFI,中位数= 130(范围,41-980)]高于MCL, vHCL, cHCL和所有其他成熟b细胞瘤(pp结论:我们的数据表明,评估CD200, ROR1和CD43抗原及其表达强度,以及MFC常规b - lpd检查中常用的标记物,可能对这些疾病的鉴别诊断非常有用。
本文章由计算机程序翻译,如有差异,请以英文原文为准。
求助全文
约1分钟内获得全文 求助全文
来源期刊
CiteScore
4.20
自引率
6.20%
发文量
113
审稿时长
12 weeks
期刊介绍: Reciprocal interdependence between infectious and hematologic diseases (malignant and non-malignant) is well known. This relationship is particularly evident in Mediterranean countries. Parasitosis as Malaria, Leishmaniosis, B Hookworms, Teniasis, very common in the southeast Mediterranean area, infect about a billion people and manifest prevalently with anemia so that they are usually diagnosed mostly by experienced hematologist on blood or bone marrow smear. On the other hand, infections are also a significant problem in patients affected by hematological malignancies. The blood is the primary vector of HIV infection, which otherwise manifest with symptoms related to a reduction in T lymphocytes. In turn, infections can favor the insurgency of hematological malignancies. The causative relationship between Epstein-Barr virus infection, Helicobacter pylori, hepatitis C virus, HIV and lymphoproliferative diseases is well known.
×
引用
GB/T 7714-2015
复制
MLA
复制
APA
复制
导出至
BibTeX EndNote RefMan NoteFirst NoteExpress
×
提示
您的信息不完整,为了账户安全,请先补充。
现在去补充
×
提示
您因"违规操作"
具体请查看互助需知
我知道了
×
提示
确定
请完成安全验证×
copy
已复制链接
快去分享给好友吧!
我知道了
右上角分享
点击右上角分享
0
联系我们:info@booksci.cn Book学术提供免费学术资源搜索服务,方便国内外学者检索中英文文献。致力于提供最便捷和优质的服务体验。 Copyright © 2023 布克学术 All rights reserved.
京ICP备2023020795号-1
ghs 京公网安备 11010802042870号
Book学术文献互助
Book学术文献互助群
群 号:604180095
Book学术官方微信