Statistics Primer for Radiologists: Part 2-Advanced statistics for Enhancing Diagnostic Precision and Research Validity.

IF 1 Q4 RADIOLOGY, NUCLEAR MEDICINE & MEDICAL IMAGING
Indian Journal of Radiology and Imaging Pub Date : 2025-01-09 eCollection Date: 2025-01-01 DOI:10.1055/s-0044-1800971
Adarsh Anil Kumar, Santhosh Kannath, Jineesh Valakkada
{"title":"Statistics Primer for Radiologists: Part 2-Advanced statistics for Enhancing Diagnostic Precision and Research Validity.","authors":"Adarsh Anil Kumar, Santhosh Kannath, Jineesh Valakkada","doi":"10.1055/s-0044-1800971","DOIUrl":null,"url":null,"abstract":"<p><p>Second part of this statistics primer focuses on advanced statistical concepts continuing on the foundation of basic statistics built from the first part of this primer. This advanced primer aims to delve deeper into essential statistical concepts beyond the basics, equipping the reader with the knowledge to effectively analyze complex data sets, explore correlations and causality, employ regression analysis techniques, interpret survival curves, and evaluate diagnostic tests rigorously. It primarily focuses on the statistical tests used to analyze the relationship between groups of variables (the statistical tests to analyze the difference between groups of variables was discussed in the part 1 of this series). Toward the end of the article concepts of survival curves and methods for assessing the diagnostic accuracy of tests are stressed upon.</p>","PeriodicalId":51597,"journal":{"name":"Indian Journal of Radiology and Imaging","volume":"35 Suppl 1","pages":"S74-S92"},"PeriodicalIF":1.0000,"publicationDate":"2025-01-09","publicationTypes":"Journal Article","fieldsOfStudy":null,"isOpenAccess":false,"openAccessPdf":"https://www.ncbi.nlm.nih.gov/pmc/articles/PMC11717465/pdf/","citationCount":"0","resultStr":null,"platform":"Semanticscholar","paperid":null,"PeriodicalName":"Indian Journal of Radiology and Imaging","FirstCategoryId":"1085","ListUrlMain":"https://doi.org/10.1055/s-0044-1800971","RegionNum":0,"RegionCategory":null,"ArticlePicture":[],"TitleCN":null,"AbstractTextCN":null,"PMCID":null,"EPubDate":"2025/1/1 0:00:00","PubModel":"eCollection","JCR":"Q4","JCRName":"RADIOLOGY, NUCLEAR MEDICINE & MEDICAL IMAGING","Score":null,"Total":0}
引用次数: 0

Abstract

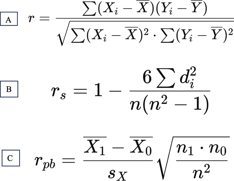
Second part of this statistics primer focuses on advanced statistical concepts continuing on the foundation of basic statistics built from the first part of this primer. This advanced primer aims to delve deeper into essential statistical concepts beyond the basics, equipping the reader with the knowledge to effectively analyze complex data sets, explore correlations and causality, employ regression analysis techniques, interpret survival curves, and evaluate diagnostic tests rigorously. It primarily focuses on the statistical tests used to analyze the relationship between groups of variables (the statistical tests to analyze the difference between groups of variables was discussed in the part 1 of this series). Toward the end of the article concepts of survival curves and methods for assessing the diagnostic accuracy of tests are stressed upon.

Abstract Image

Abstract Image

Abstract Image

放射学家统计入门:第2部分-提高诊断精度和研究有效性的高级统计。
这本统计学入门书的第二部分侧重于高级统计概念,是在本入门书第一部分的基础上继续发展的。这本高级入门书旨在深入探讨基本统计概念,使读者掌握有效分析复杂数据集、探索相关性和因果关系、运用回归分析技术、解释生存曲线和严格评估诊断检测的知识。文章主要关注用于分析变量组间关系的统计检验(本系列第一部分讨论了用于分析变量组间差异的统计检验)。文章最后强调了生存曲线的概念和评估检验诊断准确性的方法。
本文章由计算机程序翻译,如有差异,请以英文原文为准。
求助全文
约1分钟内获得全文 求助全文
来源期刊
Indian Journal of Radiology and Imaging
Indian Journal of Radiology and Imaging RADIOLOGY, NUCLEAR MEDICINE & MEDICAL IMAGING-
CiteScore
1.20
自引率
0.00%
发文量
115
审稿时长
45 weeks
期刊介绍: Information not localized
×
引用
GB/T 7714-2015
复制
MLA
复制
APA
复制
导出至
BibTeX EndNote RefMan NoteFirst NoteExpress
×
提示
您的信息不完整,为了账户安全,请先补充。
现在去补充
×
提示
您因"违规操作"
具体请查看互助需知
我知道了
×
提示
确定
请完成安全验证×
copy
已复制链接
快去分享给好友吧!
我知道了
右上角分享
点击右上角分享
0
联系我们:info@booksci.cn Book学术提供免费学术资源搜索服务,方便国内外学者检索中英文文献。致力于提供最便捷和优质的服务体验。 Copyright © 2023 布克学术 All rights reserved.
京ICP备2023020795号-1
ghs 京公网安备 11010802042870号
Book学术文献互助
Book学术文献互助群
群 号:604180095
Book学术官方微信