Proprioception After Unilateral Stroke: Changes in the Affected and Unaffected Lower Limbs Over Time.

IF 1.8 Q3 REHABILITATION
Jinyao Xu, Jeremy Witchalls, Elisabeth Preston, Li Pan, Gengyuan Zhang, Gordon Waddington, Roger Adams, Jia Han
{"title":"Proprioception After Unilateral Stroke: Changes in the Affected and Unaffected Lower Limbs Over Time.","authors":"Jinyao Xu, Jeremy Witchalls, Elisabeth Preston, Li Pan, Gengyuan Zhang, Gordon Waddington, Roger Adams, Jia Han","doi":"10.1002/pri.70027","DOIUrl":null,"url":null,"abstract":"<p><strong>Background: </strong>Proprioceptive deficits are common among stroke survivors and can negatively impact their balance and postural control. However, there has been little evaluation of the change in proprioceptive deficits in the lower limbs over time after stroke. This study aimed to examine proprioceptive deficits over time after stroke in both the affected and \"unaffected\" lower limbs.</p><p><strong>Methods: </strong>This cross-sectional study included sixty first-time unilateral stroke survivors and twenty age-matched healthy individuals. Participants after stroke were divided into three subgroups based on different time points after stroke. The generally accepted clinical time points after stroke are the first 4 weeks-the acute stage; 5-24 weeks-the subacute stage; over 24 weeks-the chronic stage. The active movement extent discrimination apparatus (AMEDA) was used to quantify ankle proprioception in plantarflexion and inversion directions, on both the affected and \"unaffected\" sides.</p><p><strong>Results: </strong>Lower limb proprioception scores decreased linearly over time after stroke on both the affected and \"unaffected\" sides (p < 0.001). Overall, proprioception scores for the stroke groups were significantly lower than those for the healthy age-matched group (p < 0.01), with the only exception being ankle plantarflexion and inversion scores on the unaffected side in the acute stroke group, which were not significantly different from their healthy counterparts.</p><p><strong>Conclusion: </strong>Ankle proprioception in both lower limbs decreased over time after a unilateral stroke, with proprioceptive acuity on the \"unaffected\" side diminishing linearly in the same way as that on the affected side. These observed continuing deficits in lower limb proprioception among stroke survivors raise implications for clinical neurorehabilitation.</p>","PeriodicalId":47243,"journal":{"name":"Physiotherapy Research International","volume":"30 1","pages":"e70027"},"PeriodicalIF":1.8000,"publicationDate":"2025-01-01","publicationTypes":"Journal Article","fieldsOfStudy":null,"isOpenAccess":false,"openAccessPdf":"https://www.ncbi.nlm.nih.gov/pmc/articles/PMC11725610/pdf/","citationCount":"0","resultStr":null,"platform":"Semanticscholar","paperid":null,"PeriodicalName":"Physiotherapy Research International","FirstCategoryId":"1085","ListUrlMain":"https://doi.org/10.1002/pri.70027","RegionNum":0,"RegionCategory":null,"ArticlePicture":[],"TitleCN":null,"AbstractTextCN":null,"PMCID":null,"EPubDate":"","PubModel":"","JCR":"Q3","JCRName":"REHABILITATION","Score":null,"Total":0}
引用次数: 0

Abstract

Background: Proprioceptive deficits are common among stroke survivors and can negatively impact their balance and postural control. However, there has been little evaluation of the change in proprioceptive deficits in the lower limbs over time after stroke. This study aimed to examine proprioceptive deficits over time after stroke in both the affected and "unaffected" lower limbs.

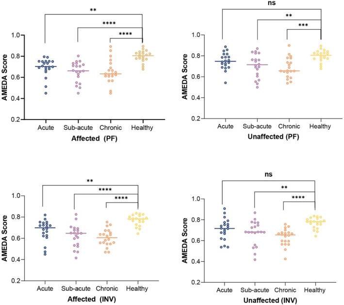
Methods: This cross-sectional study included sixty first-time unilateral stroke survivors and twenty age-matched healthy individuals. Participants after stroke were divided into three subgroups based on different time points after stroke. The generally accepted clinical time points after stroke are the first 4 weeks-the acute stage; 5-24 weeks-the subacute stage; over 24 weeks-the chronic stage. The active movement extent discrimination apparatus (AMEDA) was used to quantify ankle proprioception in plantarflexion and inversion directions, on both the affected and "unaffected" sides.

Results: Lower limb proprioception scores decreased linearly over time after stroke on both the affected and "unaffected" sides (p < 0.001). Overall, proprioception scores for the stroke groups were significantly lower than those for the healthy age-matched group (p < 0.01), with the only exception being ankle plantarflexion and inversion scores on the unaffected side in the acute stroke group, which were not significantly different from their healthy counterparts.

Conclusion: Ankle proprioception in both lower limbs decreased over time after a unilateral stroke, with proprioceptive acuity on the "unaffected" side diminishing linearly in the same way as that on the affected side. These observed continuing deficits in lower limb proprioception among stroke survivors raise implications for clinical neurorehabilitation.

Abstract Image

Abstract Image

Abstract Image

单侧中风后的本体感觉:受影响和未受影响的下肢随时间的变化。
背景:本体感觉缺陷在中风幸存者中很常见,并且会对他们的平衡和姿势控制产生负面影响。然而,中风后下肢本体感觉缺陷随时间变化的评估很少。这项研究的目的是检查受影响和“未受影响”的下肢中风后随时间的本体感觉缺陷。方法:本横断面研究包括60例首次单侧中风幸存者和20例年龄匹配的健康个体。根据脑卒中后不同的时间点将参与者分为三个亚组。卒中后普遍接受的临床时间点是头4周——急性期;5-24周:亚急性期;超过24周——慢性阶段。采用主动运动程度判别仪(AMEDA)量化足底屈曲和倒置方向的踝关节本体感受,包括受影响侧和“未受影响”侧。结果:卒中后患侧和未患侧下肢本体感觉评分随时间线性下降(p结论:单侧卒中后双下肢踝关节本体感觉随时间下降,“未患”侧本体感觉敏锐度随时间线性下降,与患侧相同。这些观察到的中风幸存者下肢本体感觉的持续缺陷为临床神经康复提供了启示。
本文章由计算机程序翻译,如有差异,请以英文原文为准。
求助全文
约1分钟内获得全文 求助全文
来源期刊
CiteScore
3.30
自引率
5.90%
发文量
53
期刊介绍: Physiotherapy Research International is an international peer reviewed journal dedicated to the exchange of knowledge that is directly relevant to specialist areas of physiotherapy theory, practice, and research. Our aim is to promote a high level of scholarship and build on the current evidence base to inform the advancement of the physiotherapy profession. We publish original research on a wide range of topics e.g. Primary research testing new physiotherapy treatments; methodological research; measurement and outcome research and qualitative research of interest to researchers, clinicians and educators. Further, we aim to publish high quality papers that represent the range of cultures and settings where physiotherapy services are delivered. We attract a wide readership from physiotherapists and others working in diverse clinical and academic settings. We aim to promote an international debate amongst the profession about current best evidence based practice. Papers are directed primarily towards the physiotherapy profession, but can be relevant to a wide range of professional groups. The growth of interdisciplinary research is also key to our aims and scope, and we encourage relevant submissions from other professional groups. The journal actively encourages submissions which utilise a breadth of different methodologies and research designs to facilitate addressing key questions related to the physiotherapy practice. PRI seeks to encourage good quality topical debates on a range of relevant issues and promote critical reflection on decision making and implementation of physiotherapy interventions.
×
引用
GB/T 7714-2015
复制
MLA
复制
APA
复制
导出至
BibTeX EndNote RefMan NoteFirst NoteExpress
×
提示
您的信息不完整,为了账户安全,请先补充。
现在去补充
×
提示
您因"违规操作"
具体请查看互助需知
我知道了
×
提示
确定
请完成安全验证×
copy
已复制链接
快去分享给好友吧!
我知道了
右上角分享
点击右上角分享
0
联系我们:info@booksci.cn Book学术提供免费学术资源搜索服务,方便国内外学者检索中英文文献。致力于提供最便捷和优质的服务体验。 Copyright © 2023 布克学术 All rights reserved.
京ICP备2023020795号-1
ghs 京公网安备 11010802042870号
Book学术文献互助
Book学术文献互助群
群 号:604180095
Book学术官方微信