Diagnostic and Predictive Recurrence Value of Plasma Fibrinogen in Patients With Adrenocortical Carcinoma.

IF 1.9 4区 医学 Q3 ONCOLOGY
Clinical Medicine Insights-Oncology Pub Date : 2025-01-07 eCollection Date: 2025-01-01 DOI:10.1177/11795549241271657
Chengquan Ma, Bin Yang, Quanzong Mao
{"title":"Diagnostic and Predictive Recurrence Value of Plasma Fibrinogen in Patients With Adrenocortical Carcinoma.","authors":"Chengquan Ma, Bin Yang, Quanzong Mao","doi":"10.1177/11795549241271657","DOIUrl":null,"url":null,"abstract":"<p><strong>Background: </strong>The correlation between fibrinogen levels and adrenocortical carcinoma (ACC) remains unclear. This study aimed to explore the value of preoperative plasma fibrinogen as a biomarker for ACC.</p><p><strong>Methods: </strong>We identified 40 patients with ACC and 170 patients with adrenal adenoma (AA) who underwent surgery at our institution between 2015 and 2022. Plasma fibrinogen levels and postoperative tumor recurrence information of the patients were also recorded. For intergroup comparisons, data obtained from the AA and ACC groups were evaluated using a <i>t</i>-test. The cutoff value of fibrinogen level was determined using a receiver operating characteristic (ROC) curve.</p><p><strong>Results: </strong>Mean fibrinogen levels in the AA and ACC groups were 2.81 ± 0.59 g/L and 3.88 ± 1.75 g/L, respectively (<i>P</i> < .001). Fibrinogen level, which can help distinguish between AA and ACC, was evaluated using the ROC curve. The cutoff fibrinogen level was estimated as 3.87 g/L according to the Youden index. With this value, the sensitivity was 62.5%, specificity was 95.7%, and the area under the ROC curve (AUC) was 0.74 (<i>P</i> < .001). Fibrinogen level, which can help distinguish between recurrence and non-recurrence, was evaluated using the ROC curve. The cutoff fibrinogen level was estimated as 3.96 g/L according to the Youden index. The sensitivity, specificity, and AUC were 90%, 71.4%, and 0.85, respectively (<i>P</i> < .001).</p><p><strong>Conclusion: </strong>According to the data in this study, plasma fibrinogen could be used to distinguish ACC from AA. Most importantly, plasma fibrinogen may be used to identify recurrence of postoperative ACC.</p>","PeriodicalId":48591,"journal":{"name":"Clinical Medicine Insights-Oncology","volume":"19 ","pages":"11795549241271657"},"PeriodicalIF":1.9000,"publicationDate":"2025-01-07","publicationTypes":"Journal Article","fieldsOfStudy":null,"isOpenAccess":false,"openAccessPdf":"https://www.ncbi.nlm.nih.gov/pmc/articles/PMC11705356/pdf/","citationCount":"0","resultStr":null,"platform":"Semanticscholar","paperid":null,"PeriodicalName":"Clinical Medicine Insights-Oncology","FirstCategoryId":"3","ListUrlMain":"https://doi.org/10.1177/11795549241271657","RegionNum":4,"RegionCategory":"医学","ArticlePicture":[],"TitleCN":null,"AbstractTextCN":null,"PMCID":null,"EPubDate":"2025/1/1 0:00:00","PubModel":"eCollection","JCR":"Q3","JCRName":"ONCOLOGY","Score":null,"Total":0}
引用次数: 0

Abstract

Background: The correlation between fibrinogen levels and adrenocortical carcinoma (ACC) remains unclear. This study aimed to explore the value of preoperative plasma fibrinogen as a biomarker for ACC.

Methods: We identified 40 patients with ACC and 170 patients with adrenal adenoma (AA) who underwent surgery at our institution between 2015 and 2022. Plasma fibrinogen levels and postoperative tumor recurrence information of the patients were also recorded. For intergroup comparisons, data obtained from the AA and ACC groups were evaluated using a t-test. The cutoff value of fibrinogen level was determined using a receiver operating characteristic (ROC) curve.

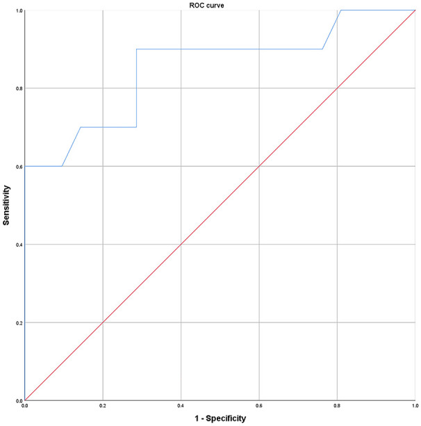
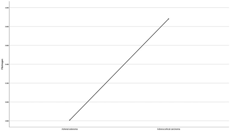
Results: Mean fibrinogen levels in the AA and ACC groups were 2.81 ± 0.59 g/L and 3.88 ± 1.75 g/L, respectively (P < .001). Fibrinogen level, which can help distinguish between AA and ACC, was evaluated using the ROC curve. The cutoff fibrinogen level was estimated as 3.87 g/L according to the Youden index. With this value, the sensitivity was 62.5%, specificity was 95.7%, and the area under the ROC curve (AUC) was 0.74 (P < .001). Fibrinogen level, which can help distinguish between recurrence and non-recurrence, was evaluated using the ROC curve. The cutoff fibrinogen level was estimated as 3.96 g/L according to the Youden index. The sensitivity, specificity, and AUC were 90%, 71.4%, and 0.85, respectively (P < .001).

Conclusion: According to the data in this study, plasma fibrinogen could be used to distinguish ACC from AA. Most importantly, plasma fibrinogen may be used to identify recurrence of postoperative ACC.

Abstract Image

Abstract Image

Abstract Image

血浆纤维蛋白原在肾上腺皮质癌患者中的诊断和预测复发价值。
背景:纤维蛋白原水平与肾上腺皮质癌(ACC)的相关性尚不清楚。本研究旨在探讨术前血浆纤维蛋白原作为ACC生物标志物的价值。方法:我们确定了2015年至2022年间在我院接受手术的40例ACC患者和170例肾上腺腺瘤(AA)患者。同时记录患者血浆纤维蛋白原水平及术后肿瘤复发情况。对于组间比较,AA组和ACC组的数据采用t检验进行评价。采用受试者工作特征(ROC)曲线确定纤维蛋白原水平的临界值。结果:AA组和ACC组平均纤维蛋白原水平分别为2.81±0.59 g/L和3.88±1.75 g/L (P P P)结论:根据本研究数据,血浆纤维蛋白原可用于ACC和AA的鉴别。最重要的是,血浆纤维蛋白原可用于鉴别术后ACC的复发。
本文章由计算机程序翻译,如有差异,请以英文原文为准。
求助全文
约1分钟内获得全文 求助全文
来源期刊
CiteScore
2.40
自引率
4.50%
发文量
57
审稿时长
8 weeks
期刊介绍: Clinical Medicine Insights: Oncology is an international, peer-reviewed, open access journal that focuses on all aspects of cancer research and treatment, in addition to related genetic, pathophysiological and epidemiological topics. Of particular but not exclusive importance are molecular biology, clinical interventions, controlled trials, therapeutics, pharmacology and drug delivery, and techniques of cancer surgery. The journal welcomes unsolicited article proposals.
×
引用
GB/T 7714-2015
复制
MLA
复制
APA
复制
导出至
BibTeX EndNote RefMan NoteFirst NoteExpress
×
提示
您的信息不完整,为了账户安全,请先补充。
现在去补充
×
提示
您因"违规操作"
具体请查看互助需知
我知道了
×
提示
确定
请完成安全验证×
copy
已复制链接
快去分享给好友吧!
我知道了
右上角分享
点击右上角分享
0
联系我们:info@booksci.cn Book学术提供免费学术资源搜索服务,方便国内外学者检索中英文文献。致力于提供最便捷和优质的服务体验。 Copyright © 2023 布克学术 All rights reserved.
京ICP备2023020795号-1
ghs 京公网安备 11010802042870号
Book学术文献互助
Book学术文献互助群
群 号:604180095
Book学术官方微信