Niraparib as First-Line Maintenance Therapy in Patients with Stage III Ovarian Cancer and No Visible Residual Disease: AR1ZE Real-World Study.

IF 3.2 Q2 ONCOLOGY
Oncology and Therapy Pub Date : 2025-03-01 Epub Date: 2025-01-07 DOI:10.1007/s40487-024-00318-y
Dana M Chase, Maya Hanna, Jonathan T Lim, Tirza Areli Calderón Boyle, Mark Guinter, Madeline Richey, Khilna Patel, Jeanne M Schilder, Jean A Hurteau, Amanda K Golembesky
{"title":"Niraparib as First-Line Maintenance Therapy in Patients with Stage III Ovarian Cancer and No Visible Residual Disease: AR1ZE Real-World Study.","authors":"Dana M Chase, Maya Hanna, Jonathan T Lim, Tirza Areli Calderón Boyle, Mark Guinter, Madeline Richey, Khilna Patel, Jeanne M Schilder, Jean A Hurteau, Amanda K Golembesky","doi":"10.1007/s40487-024-00318-y","DOIUrl":null,"url":null,"abstract":"<p><strong>Introduction: </strong>Niraparib was approved for first-line (1L) maintenance (1LM) treatment of patients with advanced epithelial ovarian cancer (EOC) following the PRIMA/ENGOT-OV26/GOG-3012 (PRIMA) trial. PRIMA was restricted to patients at higher risk of progression (excluded stage III EOC with no visible residual disease [NVRD] after primary cytoreductive surgery [PCS]). This retrospective study evaluated the potential impact of excluding stage III EOC with NVRD from PRIMA by assessing real-world treatment outcomes following 1LM niraparib monotherapy in this patient population.</p><p><strong>Methods: </strong>Data from a US-nationwide electronic health record-derived deidentified database comprised adult patients diagnosed with stage III/IV EOC who received 1L platinum-based chemotherapy and initiated niraparib 1LM monotherapy (01Jan2017-28Feb2023). Patients were classified as PRIMA-like (EOC with higher-risk prognostic factors for disease progression) or stage III disease with NVRD after PCS. Real-world time to next treatment (rwTTNT) and progression-free survival (rwPFS), assessed from the end date of 1L platinum-based chemotherapy, were measured via Kaplan-Meier methods.</p><p><strong>Results: </strong>Among 453 patients who received niraparib 1LM (PRIMA-like cohort, n = 390; stage III NVRD cohort, n = 63), median follow-up from index was 14.9 (interquartile range [IQR], 7.3-25.1) and 18.4 (IQR, 9.3-29.1) months in the PRIMA-like and stage III NVRD cohorts, respectively. Median rwTTNT was significantly longer in the stage III NVRD cohort (22.5 [95% confidence interval (CI), 17.3-not reached] months) than in the PRIMA-like cohort (11.7 [95% CI, 10.8-12.9] months; P < 0.001). Median rwPFS in the stage III NVRD cohort (25.2 [95% CI, 12.6-not reached] months) was more than double that in the PRIMA-like cohort (10.1 [95% CI, 9.1-11.9] months; P < 0.001).</p><p><strong>Conclusions: </strong>In the stage III NVRD cohort, rwTTNT and rwPFS were significantly longer than in the PRIMA-like cohort, consistent with clinical expectation. Results suggest niraparib clinical benefit may have been underestimated in PRIMA because of the exclusion of patients with stage III EOC with NVRD after PCS.</p>","PeriodicalId":44205,"journal":{"name":"Oncology and Therapy","volume":" ","pages":"253-262"},"PeriodicalIF":3.2000,"publicationDate":"2025-03-01","publicationTypes":"Journal Article","fieldsOfStudy":null,"isOpenAccess":false,"openAccessPdf":"https://www.ncbi.nlm.nih.gov/pmc/articles/PMC11880480/pdf/","citationCount":"0","resultStr":null,"platform":"Semanticscholar","paperid":null,"PeriodicalName":"Oncology and Therapy","FirstCategoryId":"1085","ListUrlMain":"https://doi.org/10.1007/s40487-024-00318-y","RegionNum":0,"RegionCategory":null,"ArticlePicture":[],"TitleCN":null,"AbstractTextCN":null,"PMCID":null,"EPubDate":"2025/1/7 0:00:00","PubModel":"Epub","JCR":"Q2","JCRName":"ONCOLOGY","Score":null,"Total":0}
引用次数: 0

Abstract

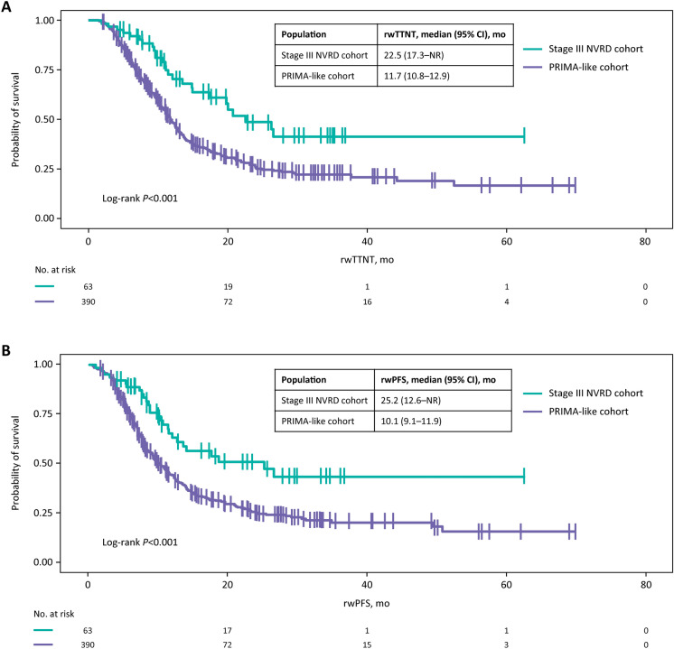
Introduction: Niraparib was approved for first-line (1L) maintenance (1LM) treatment of patients with advanced epithelial ovarian cancer (EOC) following the PRIMA/ENGOT-OV26/GOG-3012 (PRIMA) trial. PRIMA was restricted to patients at higher risk of progression (excluded stage III EOC with no visible residual disease [NVRD] after primary cytoreductive surgery [PCS]). This retrospective study evaluated the potential impact of excluding stage III EOC with NVRD from PRIMA by assessing real-world treatment outcomes following 1LM niraparib monotherapy in this patient population.

Methods: Data from a US-nationwide electronic health record-derived deidentified database comprised adult patients diagnosed with stage III/IV EOC who received 1L platinum-based chemotherapy and initiated niraparib 1LM monotherapy (01Jan2017-28Feb2023). Patients were classified as PRIMA-like (EOC with higher-risk prognostic factors for disease progression) or stage III disease with NVRD after PCS. Real-world time to next treatment (rwTTNT) and progression-free survival (rwPFS), assessed from the end date of 1L platinum-based chemotherapy, were measured via Kaplan-Meier methods.

Results: Among 453 patients who received niraparib 1LM (PRIMA-like cohort, n = 390; stage III NVRD cohort, n = 63), median follow-up from index was 14.9 (interquartile range [IQR], 7.3-25.1) and 18.4 (IQR, 9.3-29.1) months in the PRIMA-like and stage III NVRD cohorts, respectively. Median rwTTNT was significantly longer in the stage III NVRD cohort (22.5 [95% confidence interval (CI), 17.3-not reached] months) than in the PRIMA-like cohort (11.7 [95% CI, 10.8-12.9] months; P < 0.001). Median rwPFS in the stage III NVRD cohort (25.2 [95% CI, 12.6-not reached] months) was more than double that in the PRIMA-like cohort (10.1 [95% CI, 9.1-11.9] months; P < 0.001).

Conclusions: In the stage III NVRD cohort, rwTTNT and rwPFS were significantly longer than in the PRIMA-like cohort, consistent with clinical expectation. Results suggest niraparib clinical benefit may have been underestimated in PRIMA because of the exclusion of patients with stage III EOC with NVRD after PCS.

Abstract Image

Abstract Image

尼拉帕尼作为一线维持治疗III期卵巢癌无明显残留疾病:AR1ZE真实世界研究
在PRIMA/ENGOT-OV26/GOG-3012 (PRIMA)试验后,尼拉帕尼被批准用于晚期上皮性卵巢癌(EOC)患者的一线(1L)维持(1LM)治疗。PRIMA仅限于进展风险较高的患者(排除原发性细胞减少手术(PCS)后无可见残留病变(NVRD)的III期EOC)。本回顾性研究通过评估该患者群体在接受1LM尼拉帕尼单药治疗后的实际治疗结果,评估了将III期EOC合并NVRD排除在PRIMA之外的潜在影响。方法:数据来自美国全国电子健康记录衍生的未识别数据库,包括诊断为III/IV期EOC的成年患者,他们接受了1L铂基化疗并开始了尼拉帕尼1LM单药治疗(2017年1月1日- 2023年2月28日)。患者被分为prima样(具有疾病进展高风险预后因素的EOC)或PCS后伴有NVRD的III期疾病。通过Kaplan-Meier方法测量从1L铂基化疗结束日期开始评估的到下一次治疗的真实时间(rwTTNT)和无进展生存期(rwPFS)。结果:在453例接受尼拉帕尼1LM治疗的患者中(PRIMA-like队列,n = 390;III期NVRD队列,n = 63),在PRIMA-like和III期NVRD队列中,中位随访时间分别为14.9个月(四分位间距[IQR], 7.3-25.1)和18.4个月(IQR, 9.3-29.1)。III期NVRD队列的中位rwTTNT(22.5[95%置信区间(CI), 17.3-未达到]个月)显著高于prima样队列(11.7 [95% CI, 10.8-12.9]个月;结论:在III期NVRD队列中,rwTTNT和rwPFS明显长于prima样队列,与临床预期一致。结果表明,在PRIMA中,尼拉帕尼的临床益处可能被低估了,因为排除了III期EOC患者在PCS后合并NVRD。
本文章由计算机程序翻译,如有差异,请以英文原文为准。
求助全文
约1分钟内获得全文 求助全文
来源期刊
CiteScore
3.40
自引率
0.00%
发文量
31
审稿时长
6 weeks
期刊介绍: Now indexed in PubMed Aims and Scope Oncology and Therapy is an international, peer reviewed, rapid-publication (peer review in 2 weeks, published 3–4 weeks from acceptance) journal dedicated to the publication of high-quality pre-clinical, clinical (all phases), observational, real-world, and health outcomes research around the discovery, development, and use of therapeutics and interventions (including devices) across all therapeutic areas. Studies relating to diagnostics and diagnosis, pharmacoeconomics, public health, epidemiology, quality of life, and patient care, management, and education are also encouraged. The journal is of interest to a broad audience of healthcare professionals and publishes original research, reviews, communications and letters. The journal is read by a global audience and receives submissions from all over the world. Oncology and Therapy will consider all scientifically sound research be it positive, confirmatory or negative data. Submissions are welcomed whether they relate to an international and/or a country-specific audience, something that is crucially important when researchers are trying to target more specific patient populations. This inclusive approach allows the journal to assist in the dissemination of all scientifically and ethically sound research. Rapid Publication The journal’s rapid publication timelines aim for a peer review decision within 2 weeks of submission. If an article is accepted it will be published online 3-4 weeks from acceptance. These rapid timelines are achieved through the combination of a dedicated in-house editorial team, who closely manage article workflow, and an extensive Editorial and Advisory Board who assist with rapid peer review. This allows the journal to support the rapid dissemination of research, whilst still providing robust peer review. Combined with the journal’s open access model this allows for the rapid and efficient communication of the latest research and reviews, allowing the advancement of clinical therapies. Personal Service The journal’s dedicated in-house editorial team offer a personal “concierge service” meaning that authors will always have a personal point of contact able to update them on the status of their manuscript. The editorial team check all manuscripts to ensure that articles conform to the most recent COPE, GPP and ICMJE publishing guidelines. This supports the publication of ethically sound and transparent research. We also encourage pre-submission enquiries and are always happy to provide a confidential assessment of manuscripts. Digital features and plain language summaries Oncology and Therapy offers a range of additional features designed to increase the visibility, readership and educational value of the journal’s content. Each article is accompanied by key summary points, giving a time-efficient overview of the content to a wide readership. Articles may be accompanied by plain language summaries to assist readers who have some knowledge of, but not in-depth expertise in, the area to understand the scientific content and overall implications of the article. The journal also provides the option to include various types of digital features including animated abstracts, video abstracts, slide decks, audio slides, instructional videos, infographics, podcasts and animations. All additional features are peer reviewed to the same high standard as the article itself. If you consider that your paper would benefit from the inclusion of a digital feature, please let us know. Our editorial team are able to create high-quality slide decks and infographics in-house, and video abstracts through our partner Research Square, and would be happy to assist in any way we can. For further information about digital features, please contact the journal editor (see ‘Contact the Journal’ for email address), and see the ‘Guidelines for digital features and plain language summaries’ document under ‘Submission guidelines’. Preprints We encourage posting of preprints of primary research manuscripts on preprint servers, authors'' or institutional websites, and open communications between researchers whether on community preprint servers or preprint commenting platforms. Posting of preprints is not considered prior publication and will not jeopardize consideration in our journals. Please see here for further information on preprint sharing: https://www.springer.com/gp/authors-editors/journal-author/journal-author-helpdesk/submission/1302#c16721550 Peer Review Process Upon submission, manuscripts are assessed by the editorial team to ensure they fit within the aims and scope of the journal and are also checked for plagiarism. All suitable submissions are then subject to a comprehensive single-blind peer review. Reviewers are selected based on their relevant expertise and publication history in the subject area. The journal has an extensive pool of editorial and advisory board members who have been selected to assist with peer review based on the afore-mentioned criteria. At least two extensive reviews are required to make the editorial decision, with the exception of some article types such as Commentaries, Editorials and Letters which are generally reviewed by one member of the Editorial Board. Where reviewer recommendations are conflicted, the editorial board will be contacted for further advice and a presiding decision. Manuscripts are then either accepted, rejected or authors are required to make major or minor revisions (both reviewer comments and editorial comments may need to be addressed). Once a revised manuscript is re-submitted, it is assessed along with the responses to reviewer comments and if it has been adequately revised it will be accepted for publication. Accepted manuscripts are then copyedited and typeset by the production team before online publication. Appeals against decisions following peer review are considered on a case by case basis and should be sent to the journal editor. Copyright Oncology and Therapy''s content is published open access under the Creative Commons Attribution-Noncommercial License, which allows users to read, copy, distribute, and make derivative works for non-commercial purposes from the material, as long as the author of the original work is cited. The author assigns the exclusive right to any commercial use of the article to Springer. For more information about the Creative Commons Attribution-Noncommercial License, click here: http://creativecommons.org/licenses/by-nc/4.0 Publication Fees Upon acceptance of an article, authors will be required to pay the mandatory Rapid Service Fee of £3650/€4500/$5100. The journal will consider fee discounts for developing countries and this is decided on a case by case basis. Open Access All articles published by Oncology and Therapy are published open access Contact For more information about the journal, including pre-submission enquiries, please contact managing editor Lydia Alborn at lydia.alborn@springer.com.
×
引用
GB/T 7714-2015
复制
MLA
复制
APA
复制
导出至
BibTeX EndNote RefMan NoteFirst NoteExpress
×
提示
您的信息不完整,为了账户安全,请先补充。
现在去补充
×
提示
您因"违规操作"
具体请查看互助需知
我知道了
×
提示
确定
请完成安全验证×
copy
已复制链接
快去分享给好友吧!
我知道了
右上角分享
点击右上角分享
0
联系我们:info@booksci.cn Book学术提供免费学术资源搜索服务,方便国内外学者检索中英文文献。致力于提供最便捷和优质的服务体验。 Copyright © 2023 布克学术 All rights reserved.
京ICP备2023020795号-1
ghs 京公网安备 11010802042870号
Book学术文献互助
Book学术文献互助群
群 号:604180095
Book学术官方微信