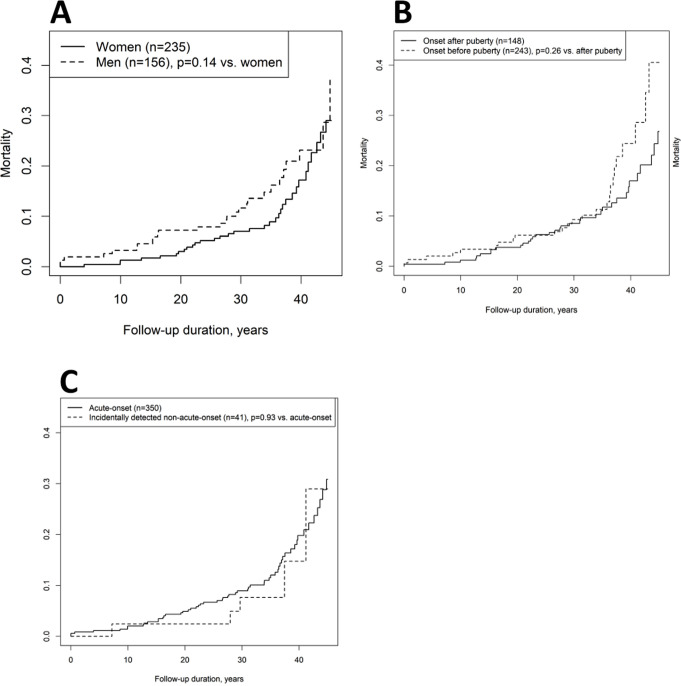
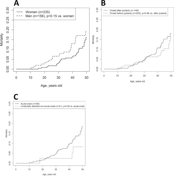
Mortality rate and standardized mortality ratio of childhood-onset type 1 diabetes according to incidentally detected non-acute-onset or acute-onset subtype, sex, and onset age: A cohort study.

IF 1.2 Q4 ENDOCRINOLOGY & METABOLISM
Clinical Pediatric Endocrinology Pub Date : 2025-01-01 Epub Date: 2024-09-16 DOI:10.1297/cpe.2024-0050
Hiroshi Yokomichi, Mie Mochizuki, Shigeru Suzuki, Yoshiya Ito, Tomoyuki Hotsubo, Nobuo Matsuura
{"title":"Mortality rate and standardized mortality ratio of childhood-onset type 1 diabetes according to incidentally detected non-acute-onset or acute-onset subtype, sex, and onset age: A cohort study.","authors":"Hiroshi Yokomichi, Mie Mochizuki, Shigeru Suzuki, Yoshiya Ito, Tomoyuki Hotsubo, Nobuo Matsuura","doi":"10.1297/cpe.2024-0050","DOIUrl":null,"url":null,"abstract":"","PeriodicalId":10678,"journal":{"name":"Clinical Pediatric Endocrinology","volume":"34 1","pages":"83-88"},"PeriodicalIF":1.2000,"publicationDate":"2025-01-01","publicationTypes":"Journal Article","fieldsOfStudy":null,"isOpenAccess":false,"openAccessPdf":"https://www.ncbi.nlm.nih.gov/pmc/articles/PMC11701013/pdf/","citationCount":"0","resultStr":null,"platform":"Semanticscholar","paperid":null,"PeriodicalName":"Clinical Pediatric Endocrinology","FirstCategoryId":"1085","ListUrlMain":"https://doi.org/10.1297/cpe.2024-0050","RegionNum":0,"RegionCategory":null,"ArticlePicture":[],"TitleCN":null,"AbstractTextCN":null,"PMCID":null,"EPubDate":"2024/9/16 0:00:00","PubModel":"Epub","JCR":"Q4","JCRName":"ENDOCRINOLOGY & METABOLISM","Score":null,"Total":0}
引用次数: 0

Abstract Image

Abstract Image

Abstract Image

根据偶然发现的非急性发作或急性发作亚型、性别和发病年龄,儿童期发病1型糖尿病的死亡率和标准化死亡率:一项队列研究
本文章由计算机程序翻译,如有差异,请以英文原文为准。
求助全文
约1分钟内获得全文 求助全文
来源期刊
Clinical Pediatric Endocrinology
Clinical Pediatric Endocrinology ENDOCRINOLOGY & METABOLISM-
CiteScore
2.40
自引率
7.10%
发文量
34
×
引用
GB/T 7714-2015
复制
MLA
复制
APA
复制
导出至
BibTeX EndNote RefMan NoteFirst NoteExpress
×
提示
您的信息不完整,为了账户安全,请先补充。
现在去补充
×
提示
您因"违规操作"
具体请查看互助需知
我知道了
×
提示
确定
请完成安全验证×
copy
已复制链接
快去分享给好友吧!
我知道了
右上角分享
点击右上角分享
0
联系我们:info@booksci.cn Book学术提供免费学术资源搜索服务,方便国内外学者检索中英文文献。致力于提供最便捷和优质的服务体验。 Copyright © 2023 布克学术 All rights reserved.
京ICP备2023020795号-1
ghs 京公网安备 11010802042870号
Book学术文献互助
Book学术文献互助群
群 号:604180095
Book学术官方微信