Development and Validation of a Scoring System to Predict 2-Year Clinical Remission in Ulcerative Colitis Patients on Vedolizumab.

IF 1.8 Q3 GASTROENTEROLOGY & HEPATOLOGY
Crohn's & Colitis 360 Pub Date : 2024-12-28 eCollection Date: 2025-01-01 DOI:10.1093/crocol/otae068
Thanaboon Chaemsupaphan, Aviv Pudipeddi, Huiyu Lin, Sudarshan Paramsothy, Viraj Kariyawasam, Melissa Kermeen, Rupert W Leong
{"title":"Development and Validation of a Scoring System to Predict 2-Year Clinical Remission in Ulcerative Colitis Patients on Vedolizumab.","authors":"Thanaboon Chaemsupaphan, Aviv Pudipeddi, Huiyu Lin, Sudarshan Paramsothy, Viraj Kariyawasam, Melissa Kermeen, Rupert W Leong","doi":"10.1093/crocol/otae068","DOIUrl":null,"url":null,"abstract":"<p><strong>Background and aims: </strong>Vedolizumab is s gut-selective advanced therapy that is safe and efficacious for the treatment of ulcerative colitis (UC). Once patients achieve successful induction, there is a risk of loss of response leading to eventual flare. We aimed to identify these predictive factors and develop a practical scoring system to determine the ongoing efficacy of vedolizumab.</p><p><strong>Methods: </strong>We performed logistic regression on prospectively recruited UC subjects from the Vedolizumab Immunomodulator Enforced Withdrawal Study (VIEWS). All patients were in corticosteroid-free clinical remission and endoscopic improvement at baseline and continued vedolizumab. Predictive factors of 2-year corticosteroid-free clinical remission were determined and modeled into the VIEWS score, then validated in a real-world UC cohort.</p><p><strong>Results: </strong>Of 62 patients in the derivation cohort, 48 (77.4%) maintained clinical remission over two years. The predictive factors of remission were female (odds ratio [OR] 6.0, 95% confidence interval [CI], 1.2-29.7), antitumor necrosis factor naive (OR 3.8, 95% CI,1.0-14.0), baseline histological remission (OR 10.8, 95% CI, 2.4-48.4), thiopurine combination (OR 3.6, 95% CI, 0.7-18.0), and fecal calprotectin level ≤250 µg/g (OR 6.3, 95% CI, 0.9-42.2). These factors were incorporated into VIEWS score, yielding an area under the receiver-operating characteristic (AUROC) curve of 0.89 (95% CI, 0.81-0.98) in the prediction of 2-year clinical remission. Of 64 UC patients in the validation cohort, 40 (62.5%) remained in clinical remission at 2 years with AUROC of 0.77 (95% CI, 0.60-0.94). At the cut-off threshold of 4, the VIEWS score identified 2-year clinical remission with a sensitivity of 88.4% and specificity of 63.6%.</p><p><strong>Conclusions: </strong>Our study determined predictive factors and proposed a scoring system of ongoing clinical remission in UC patients on maintenance vedolizumab. In patients at high risk of relapse, combination therapy with thiopurine may be beneficial.</p>","PeriodicalId":10847,"journal":{"name":"Crohn's & Colitis 360","volume":"7 1","pages":"otae068"},"PeriodicalIF":1.8000,"publicationDate":"2024-12-28","publicationTypes":"Journal Article","fieldsOfStudy":null,"isOpenAccess":false,"openAccessPdf":"https://www.ncbi.nlm.nih.gov/pmc/articles/PMC11700619/pdf/","citationCount":"0","resultStr":null,"platform":"Semanticscholar","paperid":null,"PeriodicalName":"Crohn's & Colitis 360","FirstCategoryId":"1085","ListUrlMain":"https://doi.org/10.1093/crocol/otae068","RegionNum":0,"RegionCategory":null,"ArticlePicture":[],"TitleCN":null,"AbstractTextCN":null,"PMCID":null,"EPubDate":"2025/1/1 0:00:00","PubModel":"eCollection","JCR":"Q3","JCRName":"GASTROENTEROLOGY & HEPATOLOGY","Score":null,"Total":0}
引用次数: 0

Abstract

Background and aims: Vedolizumab is s gut-selective advanced therapy that is safe and efficacious for the treatment of ulcerative colitis (UC). Once patients achieve successful induction, there is a risk of loss of response leading to eventual flare. We aimed to identify these predictive factors and develop a practical scoring system to determine the ongoing efficacy of vedolizumab.

Methods: We performed logistic regression on prospectively recruited UC subjects from the Vedolizumab Immunomodulator Enforced Withdrawal Study (VIEWS). All patients were in corticosteroid-free clinical remission and endoscopic improvement at baseline and continued vedolizumab. Predictive factors of 2-year corticosteroid-free clinical remission were determined and modeled into the VIEWS score, then validated in a real-world UC cohort.

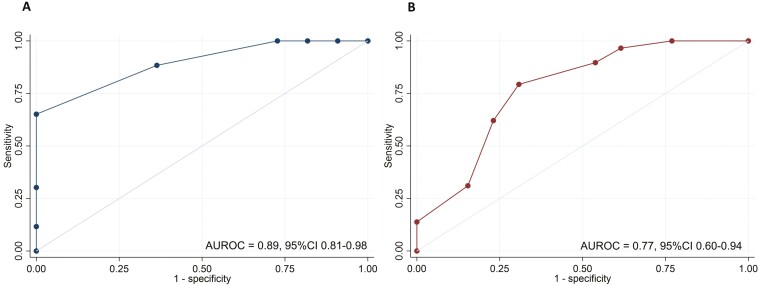
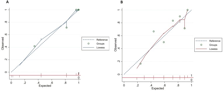
Results: Of 62 patients in the derivation cohort, 48 (77.4%) maintained clinical remission over two years. The predictive factors of remission were female (odds ratio [OR] 6.0, 95% confidence interval [CI], 1.2-29.7), antitumor necrosis factor naive (OR 3.8, 95% CI,1.0-14.0), baseline histological remission (OR 10.8, 95% CI, 2.4-48.4), thiopurine combination (OR 3.6, 95% CI, 0.7-18.0), and fecal calprotectin level ≤250 µg/g (OR 6.3, 95% CI, 0.9-42.2). These factors were incorporated into VIEWS score, yielding an area under the receiver-operating characteristic (AUROC) curve of 0.89 (95% CI, 0.81-0.98) in the prediction of 2-year clinical remission. Of 64 UC patients in the validation cohort, 40 (62.5%) remained in clinical remission at 2 years with AUROC of 0.77 (95% CI, 0.60-0.94). At the cut-off threshold of 4, the VIEWS score identified 2-year clinical remission with a sensitivity of 88.4% and specificity of 63.6%.

Conclusions: Our study determined predictive factors and proposed a scoring system of ongoing clinical remission in UC patients on maintenance vedolizumab. In patients at high risk of relapse, combination therapy with thiopurine may be beneficial.

Abstract Image

Abstract Image

Abstract Image

Vedolizumab治疗溃疡性结肠炎患者2年临床缓解预测评分系统的开发和验证
背景和目的:Vedolizumab是一种安全有效的治疗溃疡性结肠炎(UC)的肠道选择性高级疗法。一旦患者成功诱导,就有失去反应导致最终爆发的风险。我们旨在确定这些预测因素,并开发一个实用的评分系统来确定vedolizumab的持续疗效。方法:我们对Vedolizumab免疫调节剂强制停药研究(VIEWS)中前瞻性招募的UC受试者进行了logistic回归。所有患者在基线时均无皮质类固醇临床缓解和内窥镜改善,并继续使用维多单抗。确定2年无皮质类固醇临床缓解的预测因素,并将其建模到VIEWS评分中,然后在真实的UC队列中进行验证。结果:在衍生队列的62例患者中,48例(77.4%)在两年内保持临床缓解。缓解的预测因素为女性(优势比[OR] 6.0, 95%可信区间[CI], 1.2-29.7)、抗肿瘤坏死因子初始化(OR 3.8, 95% CI,1.0-14.0)、基线组织学缓解(OR 10.8, 95% CI, 2.4-48.4)、硫嘌呤联合治疗(OR 3.6, 95% CI, 0.7-18.0)和粪便钙保护蛋白水平≤250µg/g (OR 6.3, 95% CI, 0.9-42.2)。这些因素被纳入VIEWS评分,在预测2年临床缓解方面,接受者-工作特征(AUROC)曲线下面积为0.89 (95% CI, 0.81-0.98)。在验证队列中的64例UC患者中,40例(62.5%)在2年时仍保持临床缓解,AUROC为0.77 (95% CI, 0.60-0.94)。在截断阈值为4时,VIEWS评分确定2年临床缓解的敏感性为88.4%,特异性为63.6%。结论:我们的研究确定了预测因素,并提出了UC患者维持维多单抗持续临床缓解的评分系统。对于复发风险高的患者,联合硫嘌呤治疗可能是有益的。
本文章由计算机程序翻译,如有差异,请以英文原文为准。
求助全文
约1分钟内获得全文 求助全文
来源期刊
Crohn's & Colitis 360
Crohn's & Colitis 360 Medicine-Gastroenterology
CiteScore
2.50
自引率
0.00%
发文量
41
审稿时长
12 weeks
×
引用
GB/T 7714-2015
复制
MLA
复制
APA
复制
导出至
BibTeX EndNote RefMan NoteFirst NoteExpress
×
提示
您的信息不完整,为了账户安全,请先补充。
现在去补充
×
提示
您因"违规操作"
具体请查看互助需知
我知道了
×
提示
确定
请完成安全验证×
copy
已复制链接
快去分享给好友吧!
我知道了
右上角分享
点击右上角分享
0
联系我们:info@booksci.cn Book学术提供免费学术资源搜索服务,方便国内外学者检索中英文文献。致力于提供最便捷和优质的服务体验。 Copyright © 2023 布克学术 All rights reserved.
京ICP备2023020795号-1
ghs 京公网安备 11010802042870号
Book学术文献互助
Book学术文献互助群
群 号:604180095
Book学术官方微信