Initial Experience of Contact Laser Vaporization of the Prostate (CVP) for Benign Prostate Hyperplasia Patients With Hemorrhagic Risk.

IF 2.3 Q3 UROLOGY & NEPHROLOGY
Advances in Urology Pub Date : 2024-12-19 eCollection Date: 2024-01-01 DOI:10.1155/aiu/6108816
Yushi Araki, Takashi Kawahara, Teppei Takeshima, Kazuhide Makiyama, Hiroji Uemura
{"title":"Initial Experience of Contact Laser Vaporization of the Prostate (CVP) for Benign Prostate Hyperplasia Patients With Hemorrhagic Risk.","authors":"Yushi Araki, Takashi Kawahara, Teppei Takeshima, Kazuhide Makiyama, Hiroji Uemura","doi":"10.1155/aiu/6108816","DOIUrl":null,"url":null,"abstract":"<p><p><b>Introduction:</b> Since contact laser vaporization of the prostate (CVP) was approved by the Japanese insurance system in 2016, the use of a 980 nm diode laser system for CVP has become widespread for treating benign prostate hyperplasia (BPH) patients. Our institute has been implementing CVP for BPH since 2018, treating a total of 93 patients, including 28 with a risk of hemorrhage. This study examines the safety and efficacy of CVP treatment for BPH patients with a hemorrhagic risk. <b>Patient and Methods:</b> A total of 93 BPH patients with lower urinary tract symptoms (LUTS) underwent CVP between February 2018 and September 2022. All patients were on medications for BPH and were refractory to these medications. The median (mean ± SD) age was 72 (72.9±6.27), and the prostate volume was 64 (68.9±32.5). IPSS, QOL index, and OABSS scores for patients not requiring catheterization were 22 (22.1±6.38), 5 (5.24±0.74), and 6 (7±3.29), respectively. The CVP treatment was performed using a 980 nm diode laser. Of the 93 patients, 28 (30.1%) had a hemorrhage risk. This group included 13 (14.0%) who were continuously receiving anticoagulant and/or antiplatelet agents, 13 (14.0%) who temporarily stopped these medications, and 2 (2.1%) who had a hemorrhage risk due to low platelet counts (< 5.0 × 10<sup>4</sup>/<i>μ</i>L). <b>Results:</b> Postoperatively, 15 (16.1%) patients, including 11 who were catheterized preoperatively, needed temporary catheterization after CVP treatment. Of these, 14 had their catheters successfully removed. The IPSS score significantly decreased from 22 (22.1±6.38) to 8 (9.02±6.07) (<i>p</i> < 0.0001). In patients with hemorrhagic risk on anticoagulant and/or antiplatelet agents, the change in hemoglobin level before and after surgery was 0.6 g/dL, a difference that was not significant. Two of the 15 patients with hemorrhagic risk experienced hemorrhage 23 and 26 days postoperatively and underwent transurethral coagulation. Other perioperative complications classified as Clavien-Dindo Grade 2 or higher occurred in 4 (4.3%) patients. <b>Conclusion:</b> CVP treatment appears to be acceptable for BPH patients with hemorrhagic risk. In this study, late-onset hemorrhage occurred approximately 1 month postoperatively. Close postoperative follow-up is required.</p>","PeriodicalId":7490,"journal":{"name":"Advances in Urology","volume":"2024 ","pages":"6108816"},"PeriodicalIF":2.3000,"publicationDate":"2024-12-19","publicationTypes":"Journal Article","fieldsOfStudy":null,"isOpenAccess":false,"openAccessPdf":"https://www.ncbi.nlm.nih.gov/pmc/articles/PMC11671648/pdf/","citationCount":"0","resultStr":null,"platform":"Semanticscholar","paperid":null,"PeriodicalName":"Advances in Urology","FirstCategoryId":"1085","ListUrlMain":"https://doi.org/10.1155/aiu/6108816","RegionNum":0,"RegionCategory":null,"ArticlePicture":[],"TitleCN":null,"AbstractTextCN":null,"PMCID":null,"EPubDate":"2024/1/1 0:00:00","PubModel":"eCollection","JCR":"Q3","JCRName":"UROLOGY & NEPHROLOGY","Score":null,"Total":0}
引用次数: 0

Abstract

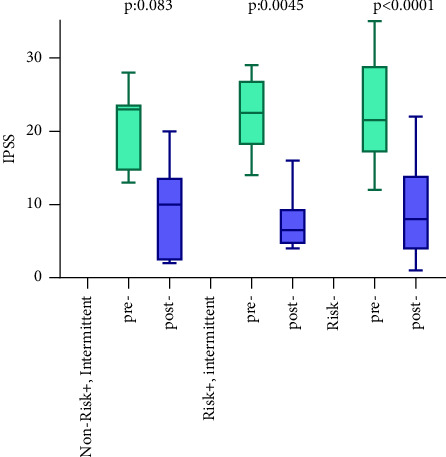
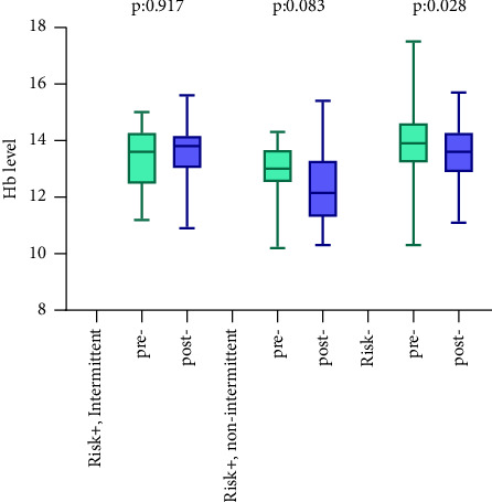
Introduction: Since contact laser vaporization of the prostate (CVP) was approved by the Japanese insurance system in 2016, the use of a 980 nm diode laser system for CVP has become widespread for treating benign prostate hyperplasia (BPH) patients. Our institute has been implementing CVP for BPH since 2018, treating a total of 93 patients, including 28 with a risk of hemorrhage. This study examines the safety and efficacy of CVP treatment for BPH patients with a hemorrhagic risk. Patient and Methods: A total of 93 BPH patients with lower urinary tract symptoms (LUTS) underwent CVP between February 2018 and September 2022. All patients were on medications for BPH and were refractory to these medications. The median (mean ± SD) age was 72 (72.9±6.27), and the prostate volume was 64 (68.9±32.5). IPSS, QOL index, and OABSS scores for patients not requiring catheterization were 22 (22.1±6.38), 5 (5.24±0.74), and 6 (7±3.29), respectively. The CVP treatment was performed using a 980 nm diode laser. Of the 93 patients, 28 (30.1%) had a hemorrhage risk. This group included 13 (14.0%) who were continuously receiving anticoagulant and/or antiplatelet agents, 13 (14.0%) who temporarily stopped these medications, and 2 (2.1%) who had a hemorrhage risk due to low platelet counts (< 5.0 × 104/μL). Results: Postoperatively, 15 (16.1%) patients, including 11 who were catheterized preoperatively, needed temporary catheterization after CVP treatment. Of these, 14 had their catheters successfully removed. The IPSS score significantly decreased from 22 (22.1±6.38) to 8 (9.02±6.07) (p < 0.0001). In patients with hemorrhagic risk on anticoagulant and/or antiplatelet agents, the change in hemoglobin level before and after surgery was 0.6 g/dL, a difference that was not significant. Two of the 15 patients with hemorrhagic risk experienced hemorrhage 23 and 26 days postoperatively and underwent transurethral coagulation. Other perioperative complications classified as Clavien-Dindo Grade 2 or higher occurred in 4 (4.3%) patients. Conclusion: CVP treatment appears to be acceptable for BPH patients with hemorrhagic risk. In this study, late-onset hemorrhage occurred approximately 1 month postoperatively. Close postoperative follow-up is required.

Abstract Image

Abstract Image

Abstract Image

接触性激光汽化前列腺(CVP)治疗有出血危险的良性前列腺增生的初步经验。
简介自2016年接触式前列腺激光汽化术(CVP)获得日本保险制度批准以来,使用980纳米二极管激光系统进行CVP治疗良性前列腺增生症(BPH)患者已得到广泛应用。我院自2018年开始实施CVP治疗良性前列腺增生症,共治疗93例患者,其中包括28例有出血风险的患者。本研究探讨CVP治疗有出血风险的良性前列腺增生患者的安全性和有效性。患者和方法:2018年2月至2022年9月期间,共有93名伴有下尿路症状(LUTS)的良性前列腺增生患者接受了CVP治疗。所有患者都在服用治疗良性前列腺增生症的药物,并且对这些药物难治。中位(平均±标清)年龄为72(72.9±6.27)岁,前列腺体积为64(68.9±32.5)。无需导尿的患者的 IPSS、QOL 指数和 OABSS 评分分别为 22(22.1±6.38)分、5(5.24±0.74)分和 6(7±3.29)分。CVP 治疗采用 980 nm 二极管激光器。在 93 例患者中,28 例(30.1%)有出血风险。这组患者中有 13 人(14.0%)持续服用抗凝剂和/或抗血小板药物,13 人(14.0%)暂时停药,2 人(2.1%)因血小板计数低(< 5.0 × 104/μL)而有出血风险。结果术后,15 名(16.1%)患者(包括 11 名术前已导管插入的患者)在接受 CVP 治疗后需要临时导管插入。其中 14 人成功拔除了导管。IPSS 评分从 22(22.1±6.38)分明显降低到 8(9.02±6.07)分(p < 0.0001)。在使用抗凝剂和/或抗血小板药物的有出血风险的患者中,手术前后血红蛋白水平的变化为 0.6 g/dL,差异不明显。15 名有出血风险的患者中,有两人在术后 23 天和 26 天出现出血,并接受了经尿道凝血术。有 4 名患者(4.3%)发生了 Clavien-Dindo 2 级或以上的其他围手术期并发症。结论对于有出血风险的良性前列腺增生患者来说,CVP 治疗似乎是可以接受的。在本研究中,晚期出血发生在术后 1 个月左右。术后需要密切随访。
本文章由计算机程序翻译,如有差异,请以英文原文为准。
求助全文
约1分钟内获得全文 求助全文
来源期刊
Advances in Urology
Advances in Urology UROLOGY & NEPHROLOGY-
CiteScore
2.90
自引率
0.00%
发文量
17
审稿时长
15 weeks
期刊介绍: Advances in Urology is a peer-reviewed, open access journal that publishes state-of-the-art reviews and original research papers of wide interest in all fields of urology. The journal strives to provide publication of important manuscripts to the widest possible audience worldwide, without the constraints of expensive, hard-to-access, traditional bound journals. Advances in Urology is designed to improve publication access of both well-established urologic scientists and less well-established writers, by allowing interested scientists worldwide to participate fully.
×
引用
GB/T 7714-2015
复制
MLA
复制
APA
复制
导出至
BibTeX EndNote RefMan NoteFirst NoteExpress
×
提示
您的信息不完整,为了账户安全,请先补充。
现在去补充
×
提示
您因"违规操作"
具体请查看互助需知
我知道了
×
提示
确定
请完成安全验证×
copy
已复制链接
快去分享给好友吧!
我知道了
右上角分享
点击右上角分享
0
联系我们:info@booksci.cn Book学术提供免费学术资源搜索服务,方便国内外学者检索中英文文献。致力于提供最便捷和优质的服务体验。 Copyright © 2023 布克学术 All rights reserved.
京ICP备2023020795号-1
ghs 京公网安备 11010802042870号
Book学术文献互助
Book学术文献互助群
群 号:604180095
Book学术官方微信