Deep Proteome Coverage of Microglia Using a Streamlined Data-Independent Acquisition-Based Proteomic Workflow: Method Consideration for a Phenotypically Diverse Cell Type.

IF 3.6 Q2 BIOCHEMISTRY & MOLECULAR BIOLOGY
Jessica Wohlfahrt, Jennifer Guergues, Stanley M Stevens
{"title":"Deep Proteome Coverage of Microglia Using a Streamlined Data-Independent Acquisition-Based Proteomic Workflow: Method Consideration for a Phenotypically Diverse Cell Type.","authors":"Jessica Wohlfahrt, Jennifer Guergues, Stanley M Stevens","doi":"10.3390/proteomes12040035","DOIUrl":null,"url":null,"abstract":"<p><p>As the primary innate immune cells of the brain, microglia play a key role in various homeostatic and disease-related processes. To carry out their numerous functions, microglia adopt a wide range of phenotypic states. The proteomic landscape represents a more accurate molecular representation of these phenotypes; however, microglia present unique challenges for proteomic analysis. This study implemented a streamlined liquid- and gas-phase fractionation method with data-dependent acquisition (DDA) and parallel accumulation-serial fragmentation (PASEF) analysis on a TIMS-TOF instrument to compile a comprehensive protein library obtained from adult-derived, immortalized mouse microglia with low starting material (10 µg). The empirical library consisted of 9140 microglial proteins and was utilized to identify an average of 7264 proteins/run from single-shot, data-independent acquisition (DIA)-based analysis microglial cell lysate digest (200 ng). Additionally, a predicted library facilitated the identification of 7519 average proteins/run from the same DIA data, revealing complementary coverage compared with the empirical library and collectively increasing coverage to approximately 8000 proteins. Importantly, several microglia-relevant pathways were uniquely identified with the empirical library approach. Overall, we report a simplified, reproducible approach to address the proteome complexity of microglia using low sample input and show the importance of library optimization for this phenotypically diverse cell type.</p>","PeriodicalId":20877,"journal":{"name":"Proteomes","volume":"12 4","pages":""},"PeriodicalIF":3.6000,"publicationDate":"2024-11-27","publicationTypes":"Journal Article","fieldsOfStudy":null,"isOpenAccess":false,"openAccessPdf":"https://www.ncbi.nlm.nih.gov/pmc/articles/PMC11679481/pdf/","citationCount":"0","resultStr":null,"platform":"Semanticscholar","paperid":null,"PeriodicalName":"Proteomes","FirstCategoryId":"1085","ListUrlMain":"https://doi.org/10.3390/proteomes12040035","RegionNum":0,"RegionCategory":null,"ArticlePicture":[],"TitleCN":null,"AbstractTextCN":null,"PMCID":null,"EPubDate":"","PubModel":"","JCR":"Q2","JCRName":"BIOCHEMISTRY & MOLECULAR BIOLOGY","Score":null,"Total":0}
引用次数: 0

Abstract

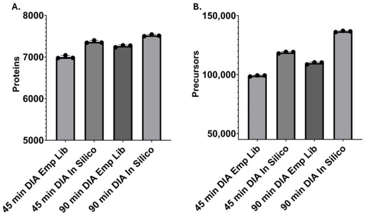
As the primary innate immune cells of the brain, microglia play a key role in various homeostatic and disease-related processes. To carry out their numerous functions, microglia adopt a wide range of phenotypic states. The proteomic landscape represents a more accurate molecular representation of these phenotypes; however, microglia present unique challenges for proteomic analysis. This study implemented a streamlined liquid- and gas-phase fractionation method with data-dependent acquisition (DDA) and parallel accumulation-serial fragmentation (PASEF) analysis on a TIMS-TOF instrument to compile a comprehensive protein library obtained from adult-derived, immortalized mouse microglia with low starting material (10 µg). The empirical library consisted of 9140 microglial proteins and was utilized to identify an average of 7264 proteins/run from single-shot, data-independent acquisition (DIA)-based analysis microglial cell lysate digest (200 ng). Additionally, a predicted library facilitated the identification of 7519 average proteins/run from the same DIA data, revealing complementary coverage compared with the empirical library and collectively increasing coverage to approximately 8000 proteins. Importantly, several microglia-relevant pathways were uniquely identified with the empirical library approach. Overall, we report a simplified, reproducible approach to address the proteome complexity of microglia using low sample input and show the importance of library optimization for this phenotypically diverse cell type.

Abstract Image

Abstract Image

Abstract Image

使用流线型数据独立获取的基于蛋白质组学工作流程的小胶质细胞深度蛋白质组覆盖:表型多样化细胞类型的方法考虑。
作为大脑的主要先天免疫细胞,小胶质细胞在各种体内平衡和疾病相关过程中起着关键作用。为了实现它们的众多功能,小胶质细胞采用了广泛的表型状态。蛋白质组学景观代表了这些表型的更准确的分子表征;然而,小胶质细胞对蛋白质组学分析提出了独特的挑战。本研究采用流线型液相和气相分离方法,在TIMS-TOF仪器上进行数据依赖采集(DDA)和平行积累-序列碎片化(PASEF)分析,以编制从低起始物质(10µg)的成体来源的永生化小鼠小胶质细胞中获得的综合蛋白质文库。该经验文库包含9140个小胶质细胞蛋白,利用单次、基于数据独立采集(DIA)的分析(200 ng)平均鉴定7264个蛋白。此外,预测文库有助于从相同的DIA数据中鉴定出7519个平均蛋白质/运行,与经验文库相比显示出互补的覆盖范围,并将覆盖范围增加到大约8000个蛋白质。重要的是,几个与小胶质细胞相关的途径被经验文库方法唯一地识别出来。总的来说,我们报告了一种简化的,可重复的方法来解决小胶质细胞的蛋白质组复杂性,使用低样本输入,并显示文库优化对这种表型多样化的细胞类型的重要性。
本文章由计算机程序翻译,如有差异,请以英文原文为准。
求助全文
约1分钟内获得全文 求助全文
来源期刊
Proteomes
Proteomes Biochemistry, Genetics and Molecular Biology-Clinical Biochemistry
CiteScore
6.50
自引率
3.00%
发文量
37
审稿时长
11 weeks
期刊介绍: Proteomes (ISSN 2227-7382) is an open access, peer reviewed journal on all aspects of proteome science. Proteomes covers the multi-disciplinary topics of structural and functional biology, protein chemistry, cell biology, methodology used for protein analysis, including mass spectrometry, protein arrays, bioinformatics, HTS assays, etc. Our aim is to encourage scientists to publish their experimental and theoretical results in as much detail as possible. Therefore, there is no restriction on the length of papers. Scope: -whole proteome analysis of any organism -disease/pharmaceutical studies -comparative proteomics -protein-ligand/protein interactions -structure/functional proteomics -gene expression -methodology -bioinformatics -applications of proteomics
×
引用
GB/T 7714-2015
复制
MLA
复制
APA
复制
导出至
BibTeX EndNote RefMan NoteFirst NoteExpress
×
提示
您的信息不完整,为了账户安全,请先补充。
现在去补充
×
提示
您因"违规操作"
具体请查看互助需知
我知道了
×
提示
确定
请完成安全验证×
copy
已复制链接
快去分享给好友吧!
我知道了
右上角分享
点击右上角分享
0
联系我们:info@booksci.cn Book学术提供免费学术资源搜索服务,方便国内外学者检索中英文文献。致力于提供最便捷和优质的服务体验。 Copyright © 2023 布克学术 All rights reserved.
京ICP备2023020795号-1
ghs 京公网安备 11010802042870号
Book学术文献互助
Book学术文献互助群
群 号:604180095
Book学术官方微信