Entropy of difference works similarly to permutation entropy for the assessment of anesthesia and sleep EEG despite the lower computational effort.

IF 2.2 3区 医学 Q2 ANESTHESIOLOGY
Alexander Edthofer, Dina Ettel, Gerhard Schneider, Andreas Körner, Matthias Kreuzer
{"title":"Entropy of difference works similarly to permutation entropy for the assessment of anesthesia and sleep EEG despite the lower computational effort.","authors":"Alexander Edthofer, Dina Ettel, Gerhard Schneider, Andreas Körner, Matthias Kreuzer","doi":"10.1007/s10877-024-01258-8","DOIUrl":null,"url":null,"abstract":"<p><p>EEG monitoring during anesthesia or for diagnosing sleep disorders is a common standard. Different approaches for measuring the important information of this biosignal are used. The most often and efficient one for entropic parameters is permutation entropy as it can distinguish the vigilance states in the different settings. Due to high calculation times, it has mostly been used for low orders, although it shows good results even for higher orders. Entropy of difference has a similar way of extracting information from the EEG as permutation entropy. Both parameters and different algorithms for encoding the associated patterns in the signal are described. The runtimes of both entropic measures are compared, not only for the needed encoding but also for calculating the value itself. The mutual information that both parameters extract is measured with the AUC for a linear discriminant analysis classifier. Entropy of difference shows a smaller calculation time than permutation entropy. The reduction is much larger for higher orders, some of them can even only be computed with the entropy of difference. The distinguishing of the vigilance states between both measures is similar as the AUC values for the classification do not differ significantly. As the runtimes for the entropy of difference are smaller than for the permutation entropy, even though the performance stays the same, we state the entropy of difference could be a useful method for analyzing EEG data. Higher orders of entropic features may also be investigated better and more easily.</p>","PeriodicalId":15513,"journal":{"name":"Journal of Clinical Monitoring and Computing","volume":" ","pages":"655-668"},"PeriodicalIF":2.2000,"publicationDate":"2025-08-01","publicationTypes":"Journal Article","fieldsOfStudy":null,"isOpenAccess":false,"openAccessPdf":"https://www.ncbi.nlm.nih.gov/pmc/articles/PMC12304019/pdf/","citationCount":"0","resultStr":null,"platform":"Semanticscholar","paperid":null,"PeriodicalName":"Journal of Clinical Monitoring and Computing","FirstCategoryId":"3","ListUrlMain":"https://doi.org/10.1007/s10877-024-01258-8","RegionNum":3,"RegionCategory":"医学","ArticlePicture":[],"TitleCN":null,"AbstractTextCN":null,"PMCID":null,"EPubDate":"2024/12/26 0:00:00","PubModel":"Epub","JCR":"Q2","JCRName":"ANESTHESIOLOGY","Score":null,"Total":0}
引用次数: 0

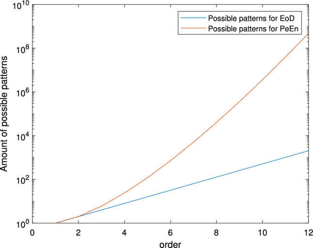
Abstract

EEG monitoring during anesthesia or for diagnosing sleep disorders is a common standard. Different approaches for measuring the important information of this biosignal are used. The most often and efficient one for entropic parameters is permutation entropy as it can distinguish the vigilance states in the different settings. Due to high calculation times, it has mostly been used for low orders, although it shows good results even for higher orders. Entropy of difference has a similar way of extracting information from the EEG as permutation entropy. Both parameters and different algorithms for encoding the associated patterns in the signal are described. The runtimes of both entropic measures are compared, not only for the needed encoding but also for calculating the value itself. The mutual information that both parameters extract is measured with the AUC for a linear discriminant analysis classifier. Entropy of difference shows a smaller calculation time than permutation entropy. The reduction is much larger for higher orders, some of them can even only be computed with the entropy of difference. The distinguishing of the vigilance states between both measures is similar as the AUC values for the classification do not differ significantly. As the runtimes for the entropy of difference are smaller than for the permutation entropy, even though the performance stays the same, we state the entropy of difference could be a useful method for analyzing EEG data. Higher orders of entropic features may also be investigated better and more easily.

Abstract Image

Abstract Image

Abstract Image

差异熵的工作原理与排列熵相似,用于麻醉和睡眠脑电图的评估,尽管计算量较低。
麻醉期间的脑电图监测或诊断睡眠障碍是一种常见的标准。测量这种生物信号重要信息的不同方法被使用。最常用和最有效的熵参数是排列熵,因为它可以区分不同设置下的警戒状态。由于计算时间长,它主要用于低阶,尽管它即使在高阶也显示出良好的结果。差熵与置换熵具有相似的提取脑电图信息的方法。描述了用于编码信号中相关模式的参数和不同算法。对两种熵测度的运行时间进行了比较,不仅针对所需的编码,而且针对计算值本身。用AUC测量两个参数提取的互信息,用于线性判别分析分类器。差分熵比排列熵的计算时间更短。对于高阶,缩减幅度要大得多,有些阶甚至只能用差熵来计算。两种措施之间的警戒状态的区分是相似的,因为分类的AUC值没有显着差异。由于差分熵的运行时间比排列熵的运行时间短,在性能相同的情况下,差分熵可以作为一种有用的脑电数据分析方法。更高阶的熵特征也可以更好、更容易地研究。
本文章由计算机程序翻译,如有差异,请以英文原文为准。
求助全文
约1分钟内获得全文 求助全文
来源期刊
CiteScore
4.30
自引率
13.60%
发文量
144
审稿时长
6-12 weeks
期刊介绍: The Journal of Clinical Monitoring and Computing is a clinical journal publishing papers related to technology in the fields of anaesthesia, intensive care medicine, emergency medicine, and peri-operative medicine. The journal has links with numerous specialist societies, including editorial board representatives from the European Society for Computing and Technology in Anaesthesia and Intensive Care (ESCTAIC), the Society for Technology in Anesthesia (STA), the Society for Complex Acute Illness (SCAI) and the NAVAt (NAVigating towards your Anaestheisa Targets) group. The journal publishes original papers, narrative and systematic reviews, technological notes, letters to the editor, editorial or commentary papers, and policy statements or guidelines from national or international societies. The journal encourages debate on published papers and technology, including letters commenting on previous publications or technological concerns. The journal occasionally publishes special issues with technological or clinical themes, or reports and abstracts from scientificmeetings. Special issues proposals should be sent to the Editor-in-Chief. Specific details of types of papers, and the clinical and technological content of papers considered within scope can be found in instructions for authors.
×
引用
GB/T 7714-2015
复制
MLA
复制
APA
复制
导出至
BibTeX EndNote RefMan NoteFirst NoteExpress
×
提示
您的信息不完整,为了账户安全,请先补充。
现在去补充
×
提示
您因"违规操作"
具体请查看互助需知
我知道了
×
提示
确定
请完成安全验证×
copy
已复制链接
快去分享给好友吧!
我知道了
右上角分享
点击右上角分享
0
联系我们:info@booksci.cn Book学术提供免费学术资源搜索服务,方便国内外学者检索中英文文献。致力于提供最便捷和优质的服务体验。 Copyright © 2023 布克学术 All rights reserved.
京ICP备2023020795号-1
ghs 京公网安备 11010802042870号
Book学术文献互助
Book学术文献互助群
群 号:604180095
Book学术官方微信