Effect of Anti-Seizure Medication Monotherapy on Vitamin D Levels in Indian Children: A Longitudinal Cohort Study.

Journal of epilepsy research Pub Date : 2024-12-10 eCollection Date: 2024-12-01 DOI:10.14581/jer.24013
Shatrishna Behera, Devendra Mishra, Bhawna Mahajan, Mukta Mantan, Shubham Bansal
{"title":"Effect of Anti-Seizure Medication Monotherapy on Vitamin D Levels in Indian Children: A Longitudinal Cohort Study.","authors":"Shatrishna Behera, Devendra Mishra, Bhawna Mahajan, Mukta Mantan, Shubham Bansal","doi":"10.14581/jer.24013","DOIUrl":null,"url":null,"abstract":"<p><strong>Background and purpose: </strong>The timeline of alteration of vitamin D and calcium levels in those receiving anti-seizure medication (ASM) remains to be elucidated. To determine the changes in vitamin D levels over a period of 6 months among children receiving monotherapy with commonly used ASM.</p><p><strong>Methods: </strong>The baseline serum levels of vitamin D, parathyroid hormone (PTH), calcium, alkaline phosphatase (ALP), phosphorus were measured in 32 children (median age 8 years) with newly diagnosed epilepsy. An appropriate ASM monotherapy was started. Those found to be deficient were treated with vitamin D supplementation. Children were reassessed after 90 days and 180 days for drug compliance and drug side-effects. All the baseline investigations were repeated.</p><p><strong>Results: </strong>At baseline, 21.9% of children were vitamin D-deficient, with a median serum level of 19.8 ng/mL. For children who were not vitamin D-deficient (VDD) at baseline (n=25), the median (interquartile range [IQR]) vitamin D levels were found to be significantly lower than baseline after 90 days of ASM use (23.0 [18.0 to 28.9] vs. 22.0 [12.0 to 24.0]; <i>p</i><0.001). After 90 days, ASMs caused notable decreases in vitamin D levels from baseline for children who were not VDD at baseline (n=25) (23.0 [18.0 to 28.9] vs. 22.0 [12.0 to 24.0]; <i>p</i><0.001), alongside changes in calcium, phosphorus, PTH and ALP levels. Similarly, in children who were non-deficient at 90 days follow-up (n=20), median (IQR) vitamin D levels were found to be significantly lower at 180 days than at 90 days (24.5 [21.0 to 28.9] vs. 18.4 [13.6 to 20.6]; <i>p</i><0.001).</p><p><strong>Conclusions: </strong>The study noted vitamin D deficiency in children on ASM monotherapy for 3-6 months, emphasizing regular monitoring by clinicians.</p>","PeriodicalId":73741,"journal":{"name":"Journal of epilepsy research","volume":"14 2","pages":"73-80"},"PeriodicalIF":0.0000,"publicationDate":"2024-12-10","publicationTypes":"Journal Article","fieldsOfStudy":null,"isOpenAccess":false,"openAccessPdf":"https://www.ncbi.nlm.nih.gov/pmc/articles/PMC11664055/pdf/","citationCount":"0","resultStr":null,"platform":"Semanticscholar","paperid":null,"PeriodicalName":"Journal of epilepsy research","FirstCategoryId":"1085","ListUrlMain":"https://doi.org/10.14581/jer.24013","RegionNum":0,"RegionCategory":null,"ArticlePicture":[],"TitleCN":null,"AbstractTextCN":null,"PMCID":null,"EPubDate":"2024/12/1 0:00:00","PubModel":"eCollection","JCR":"","JCRName":"","Score":null,"Total":0}
引用次数: 0

Abstract

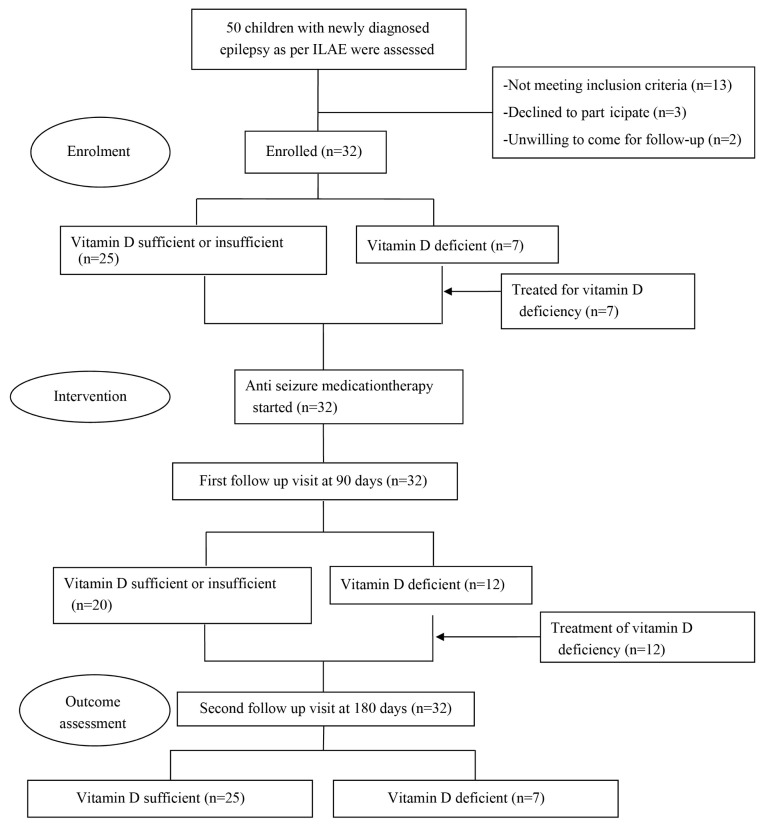
Background and purpose: The timeline of alteration of vitamin D and calcium levels in those receiving anti-seizure medication (ASM) remains to be elucidated. To determine the changes in vitamin D levels over a period of 6 months among children receiving monotherapy with commonly used ASM.

Methods: The baseline serum levels of vitamin D, parathyroid hormone (PTH), calcium, alkaline phosphatase (ALP), phosphorus were measured in 32 children (median age 8 years) with newly diagnosed epilepsy. An appropriate ASM monotherapy was started. Those found to be deficient were treated with vitamin D supplementation. Children were reassessed after 90 days and 180 days for drug compliance and drug side-effects. All the baseline investigations were repeated.

Results: At baseline, 21.9% of children were vitamin D-deficient, with a median serum level of 19.8 ng/mL. For children who were not vitamin D-deficient (VDD) at baseline (n=25), the median (interquartile range [IQR]) vitamin D levels were found to be significantly lower than baseline after 90 days of ASM use (23.0 [18.0 to 28.9] vs. 22.0 [12.0 to 24.0]; p<0.001). After 90 days, ASMs caused notable decreases in vitamin D levels from baseline for children who were not VDD at baseline (n=25) (23.0 [18.0 to 28.9] vs. 22.0 [12.0 to 24.0]; p<0.001), alongside changes in calcium, phosphorus, PTH and ALP levels. Similarly, in children who were non-deficient at 90 days follow-up (n=20), median (IQR) vitamin D levels were found to be significantly lower at 180 days than at 90 days (24.5 [21.0 to 28.9] vs. 18.4 [13.6 to 20.6]; p<0.001).

Conclusions: The study noted vitamin D deficiency in children on ASM monotherapy for 3-6 months, emphasizing regular monitoring by clinicians.

Abstract Image

Abstract Image

Abstract Image

抗癫痫药物单一疗法对印度儿童维生素D水平的影响:一项纵向队列研究。
背景与目的:服用抗癫痫药物(ASM)患者体内维生素D和钙水平变化的时间轴尚不清楚。目的:确定在接受常规ASM单药治疗的儿童中6个月内维生素D水平的变化。方法:测定32例新诊断癫痫患儿(中位年龄8岁)血清维生素D、甲状旁腺激素(PTH)、钙、碱性磷酸酶(ALP)、磷的基线水平。开始适当的ASM单药治疗。发现缺乏维生素D的人则补充维生素D。儿童在90天和180天后重新评估药物依从性和药物副作用。重复所有基线调查。结果:在基线时,21.9%的儿童缺乏维生素d,血清中位水平为19.8 ng/mL。对于基线时不缺乏维生素D (VDD)的儿童(n=25),使用ASM 90天后维生素D水平的中位数(四分位数间距[IQR])显著低于基线水平(23.0[18.0至28.9]vs. 22.0[12.0至24.0];结论:该研究注意到ASM单药治疗3-6个月的儿童维生素D缺乏症,强调临床医生的定期监测。
本文章由计算机程序翻译,如有差异,请以英文原文为准。
求助全文
约1分钟内获得全文 求助全文
来源期刊
自引率
0.00%
发文量
0
×
引用
GB/T 7714-2015
复制
MLA
复制
APA
复制
导出至
BibTeX EndNote RefMan NoteFirst NoteExpress
×
提示
您的信息不完整,为了账户安全,请先补充。
现在去补充
×
提示
您因"违规操作"
具体请查看互助需知
我知道了
×
提示
确定
请完成安全验证×
copy
已复制链接
快去分享给好友吧!
我知道了
右上角分享
点击右上角分享
0
联系我们:info@booksci.cn Book学术提供免费学术资源搜索服务,方便国内外学者检索中英文文献。致力于提供最便捷和优质的服务体验。 Copyright © 2023 布克学术 All rights reserved.
京ICP备2023020795号-1
ghs 京公网安备 11010802042870号
Book学术文献互助
Book学术文献互助群
群 号:604180095
Book学术官方微信