Associations Between the Polymorphisms in the Coding Sequence of SLCO1B1 and Blood Lipid Levels Before and After Treatment by Atorvastatin in the Chinese Han Adults with Dyslipidemia.

IF 1.8 4区 医学 Q3 PHARMACOLOGY & PHARMACY
Pharmacogenomics & Personalized Medicine Pub Date : 2024-12-20 eCollection Date: 2024-01-01 DOI:10.2147/PGPM.S482289
Chao Chen, Yan Tian, Fengshun Jia, Mingkun Feng, Guoqiang Zhang, Qian Li, Yanwei Zhang, Ningling Sun, Songnian Hu, Zheng Ji
{"title":"Associations Between the Polymorphisms in the Coding Sequence of SLCO1B1 and Blood Lipid Levels Before and After Treatment by Atorvastatin in the Chinese Han Adults with Dyslipidemia.","authors":"Chao Chen, Yan Tian, Fengshun Jia, Mingkun Feng, Guoqiang Zhang, Qian Li, Yanwei Zhang, Ningling Sun, Songnian Hu, Zheng Ji","doi":"10.2147/PGPM.S482289","DOIUrl":null,"url":null,"abstract":"<p><strong>Purpose: </strong>Atorvastatin is commonly used to treat dyslipidemia; however, individual responses vary considerably. This study endeavors to evaluate the relationship between polymorphisms in the coding sequence (CDS) of SLCO1B1 gene and blood lipid levels before and after atorvastatin treatment among the Chinese Han adults with dyslipidemia.</p><p><strong>Patients and methods: </strong>A total of 165 Chinese Han adults undergoing atorvastatin therapy were enrolled in this study and followed up quarterly. The complete CDS of the SLCO1B1 gene was sequenced to detect polymorphisms. Statistical analysis was utilized to assess the impacts of sex, age, body mass index (BMI), and polymorphisms on blood lipid levels before and after atorvastatin treatment.</p><p><strong>Results: </strong>Fourteen polymorphisms were identified in the SLCO1B1 CDS. Among them, four polymorphisms had mutant alleles present in over 20 patients. No polymorphism was found to correlate with blood lipid levels before treatment; in contrast, age, sex, and BMI did show correlations (<i>P</i><0.05). Notably, females had higher baseline blood lipid levels than males, indicating that sex had a more significant impact on baseline levels than age and BMI. The polymorphism rs2306283 was significantly correlated with the efficacy of atorvastatin (<i>P</i><0.05), whereas age, sex, and BMI were not. Carriers of the rs2306283 AA allele experienced a substantially greater reduction in total cholesterol (TC) and triglyceride (TG) levels after atorvastatin treatment. The other polymorphisms did not demonstrate any significant impact on atorvastatin's efficacy.</p><p><strong>Conclusion: </strong>This study delved into the intricate genetic structure of polymorphisms in SLCO1B1 CDS and their roles in lipid metabolism and atorvastatin's efficacy among Chinese Han adults with dyslipidemia. The findings underscore the crucial role of the rs2306283 polymorphism in the response to atorvastatin's efficacy, highlighting the significance of pharmacogenomics in personalized medicine. It is thus advisable to consider genetic testing for SLCO1B1 variants to optimize atorvastatin therapy.</p>","PeriodicalId":56015,"journal":{"name":"Pharmacogenomics & Personalized Medicine","volume":"17 ","pages":"551-561"},"PeriodicalIF":1.8000,"publicationDate":"2024-12-20","publicationTypes":"Journal Article","fieldsOfStudy":null,"isOpenAccess":false,"openAccessPdf":"https://www.ncbi.nlm.nih.gov/pmc/articles/PMC11668066/pdf/","citationCount":"0","resultStr":null,"platform":"Semanticscholar","paperid":null,"PeriodicalName":"Pharmacogenomics & Personalized Medicine","FirstCategoryId":"3","ListUrlMain":"https://doi.org/10.2147/PGPM.S482289","RegionNum":4,"RegionCategory":"医学","ArticlePicture":[],"TitleCN":null,"AbstractTextCN":null,"PMCID":null,"EPubDate":"2024/1/1 0:00:00","PubModel":"eCollection","JCR":"Q3","JCRName":"PHARMACOLOGY & PHARMACY","Score":null,"Total":0}
引用次数: 0

Abstract

Purpose: Atorvastatin is commonly used to treat dyslipidemia; however, individual responses vary considerably. This study endeavors to evaluate the relationship between polymorphisms in the coding sequence (CDS) of SLCO1B1 gene and blood lipid levels before and after atorvastatin treatment among the Chinese Han adults with dyslipidemia.

Patients and methods: A total of 165 Chinese Han adults undergoing atorvastatin therapy were enrolled in this study and followed up quarterly. The complete CDS of the SLCO1B1 gene was sequenced to detect polymorphisms. Statistical analysis was utilized to assess the impacts of sex, age, body mass index (BMI), and polymorphisms on blood lipid levels before and after atorvastatin treatment.

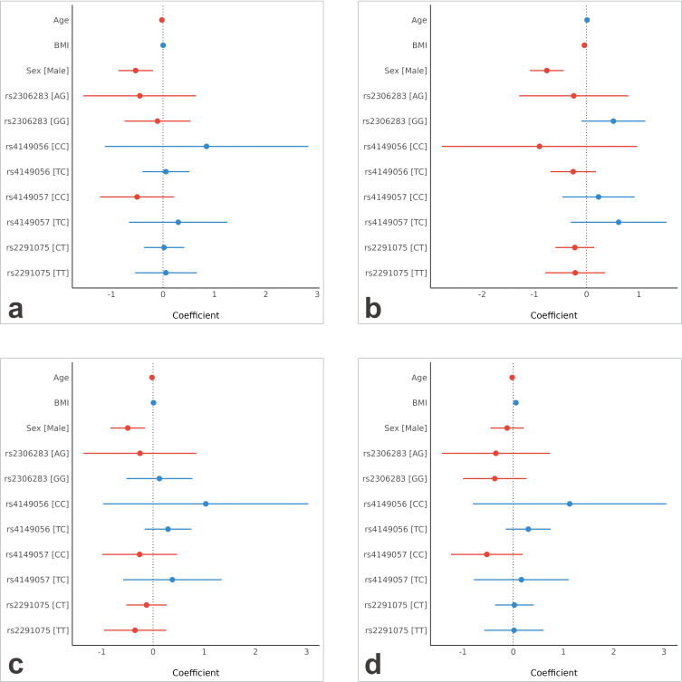
Results: Fourteen polymorphisms were identified in the SLCO1B1 CDS. Among them, four polymorphisms had mutant alleles present in over 20 patients. No polymorphism was found to correlate with blood lipid levels before treatment; in contrast, age, sex, and BMI did show correlations (P<0.05). Notably, females had higher baseline blood lipid levels than males, indicating that sex had a more significant impact on baseline levels than age and BMI. The polymorphism rs2306283 was significantly correlated with the efficacy of atorvastatin (P<0.05), whereas age, sex, and BMI were not. Carriers of the rs2306283 AA allele experienced a substantially greater reduction in total cholesterol (TC) and triglyceride (TG) levels after atorvastatin treatment. The other polymorphisms did not demonstrate any significant impact on atorvastatin's efficacy.

Conclusion: This study delved into the intricate genetic structure of polymorphisms in SLCO1B1 CDS and their roles in lipid metabolism and atorvastatin's efficacy among Chinese Han adults with dyslipidemia. The findings underscore the crucial role of the rs2306283 polymorphism in the response to atorvastatin's efficacy, highlighting the significance of pharmacogenomics in personalized medicine. It is thus advisable to consider genetic testing for SLCO1B1 variants to optimize atorvastatin therapy.

Abstract Image

Abstract Image

Abstract Image

中国汉族成人血脂异常患者阿托伐他汀治疗前后SLCO1B1编码序列多态性与血脂水平的关系
目的:阿托伐他汀常用于治疗血脂异常;然而,个人的反应差异很大。本研究旨在评价中国汉族成人血脂异常患者阿托伐他汀治疗前后SLCO1B1基因编码序列多态性与血脂水平的关系。患者和方法:本研究共纳入165名接受阿托伐他汀治疗的中国汉族成年人,每季度随访一次。对SLCO1B1基因的完整CDS进行测序以检测多态性。采用统计学分析评估性别、年龄、体重指数(BMI)和基因多态性对阿托伐他汀治疗前后血脂水平的影响。结果:在SLCO1B1 CDS中鉴定出14个多态性。其中,20多例患者中有4个多态性存在突变等位基因。治疗前未发现与血脂水平相关的多态性;结论:本研究深入研究了SLCO1B1 CDS基因多态性的复杂遗传结构及其在中国汉族成人血脂异常患者的脂质代谢和阿托伐他汀疗效中的作用。这些发现强调了rs2306283多态性在阿托伐他汀疗效反应中的关键作用,强调了药物基因组学在个性化医疗中的重要性。因此,建议考虑对SLCO1B1变异进行基因检测,以优化阿托伐他汀治疗。
本文章由计算机程序翻译,如有差异,请以英文原文为准。
求助全文
约1分钟内获得全文 求助全文
来源期刊
Pharmacogenomics & Personalized Medicine
Pharmacogenomics & Personalized Medicine Biochemistry, Genetics and Molecular Biology-Molecular Medicine
CiteScore
3.30
自引率
5.30%
发文量
110
审稿时长
16 weeks
期刊介绍: Pharmacogenomics and Personalized Medicine is an international, peer-reviewed, open-access journal characterizing the influence of genotype on pharmacology leading to the development of personalized treatment programs and individualized drug selection for improved safety, efficacy and sustainability. In particular, emphasis will be given to: Genomic and proteomic profiling Genetics and drug metabolism Targeted drug identification and discovery Optimizing drug selection & dosage based on patient''s genetic profile Drug related morbidity & mortality intervention Advanced disease screening and targeted therapeutic intervention Genetic based vaccine development Patient satisfaction and preference Health economic evaluations Practical and organizational issues in the development and implementation of personalized medicine programs.
×
引用
GB/T 7714-2015
复制
MLA
复制
APA
复制
导出至
BibTeX EndNote RefMan NoteFirst NoteExpress
×
提示
您的信息不完整,为了账户安全,请先补充。
现在去补充
×
提示
您因"违规操作"
具体请查看互助需知
我知道了
×
提示
确定
请完成安全验证×
copy
已复制链接
快去分享给好友吧!
我知道了
右上角分享
点击右上角分享
0
联系我们:info@booksci.cn Book学术提供免费学术资源搜索服务,方便国内外学者检索中英文文献。致力于提供最便捷和优质的服务体验。 Copyright © 2023 布克学术 All rights reserved.
京ICP备2023020795号-1
ghs 京公网安备 11010802042870号
Book学术文献互助
Book学术文献互助群
群 号:604180095
Book学术官方微信