Objective approach to diagnosing attention deficit hyperactivity disorder by using pixel subtraction and machine learning classification of outpatient consultation videos.

IF 4 2区 医学 Q1 CLINICAL NEUROLOGY
Yi-Hung Chiu, Ying-Han Lee, San-Yuan Wang, Chen-Sen Ouyang, Rong-Ching Wu, Rei-Cheng Yang, Lung-Chang Lin
{"title":"Objective approach to diagnosing attention deficit hyperactivity disorder by using pixel subtraction and machine learning classification of outpatient consultation videos.","authors":"Yi-Hung Chiu, Ying-Han Lee, San-Yuan Wang, Chen-Sen Ouyang, Rong-Ching Wu, Rei-Cheng Yang, Lung-Chang Lin","doi":"10.1186/s11689-024-09588-z","DOIUrl":null,"url":null,"abstract":"<p><strong>Background: </strong>Attention deficit hyperactivity disorder (ADHD) is a common childhood neurodevelopmental disorder, affecting between 5% and 7% of school-age children. ADHD is typically characterized by persistent patterns of inattention or hyperactivity-impulsivity, and it is diagnosed on the basis of the criteria outlined in the Diagnostic and Statistical Manual of Mental Disorders, Fifth Edition, through subjective observations and information provided by parents and teachers. Diagnosing ADHD in children is challenging, despite several assessment tools, such as the Swanson, Nolan, and Pelham questionnaire, being widely available. Such scales provide only a subjective understanding of the disorder. In this study, we employed video pixel subtraction and machine learning classification to objectively categorize 85 participants (43 with a diagnosis of ADHD and 42 without) into an ADHD group or a non-ADHD group by quantifying their movements.</p><p><strong>Methods: </strong>We employed pixel subtraction movement quantization by analyzing movement features in videos of patients in outpatient consultation rooms. Pixel subtraction is a technique in which the number of pixels in one frame is subtracted from that in another frame to detect changes between the two frames. A difference between the pixel values indicates the presence of movement. In the current study, the patients' subtracted image sequences were characterized using three movement feature values: mean, variance, and Shannon entropy value. A classification analysis based on six machine learning models was performed to compare the performance indices and the discriminatory power of various features.</p><p><strong>Results: </strong>The results revealed that compared with the non-ADHD group, the ADHD group had significantly larger values for all movement features. Notably, the Shannon entropy values were 2.38 ± 0.59 and 1.0 ± 0.38 in the ADHD and non-ADHD groups, respectively (P < 0.0001). The Random Forest machine learning classification model achieved the most favorable results, with an accuracy of 90.24%, sensitivity of 88.85%, specificity of 91.75%, and area under the curve of 93.87%.</p><p><strong>Conclusion: </strong>Our pixel subtraction and machine learning classification approach is an objective and practical method that can aid to clinical decisions regarding ADHD diagnosis.</p>","PeriodicalId":16530,"journal":{"name":"Journal of Neurodevelopmental Disorders","volume":"16 1","pages":"71"},"PeriodicalIF":4.0000,"publicationDate":"2024-12-24","publicationTypes":"Journal Article","fieldsOfStudy":null,"isOpenAccess":false,"openAccessPdf":"https://www.ncbi.nlm.nih.gov/pmc/articles/PMC11667993/pdf/","citationCount":"0","resultStr":null,"platform":"Semanticscholar","paperid":null,"PeriodicalName":"Journal of Neurodevelopmental Disorders","FirstCategoryId":"3","ListUrlMain":"https://doi.org/10.1186/s11689-024-09588-z","RegionNum":2,"RegionCategory":"医学","ArticlePicture":[],"TitleCN":null,"AbstractTextCN":null,"PMCID":null,"EPubDate":"","PubModel":"","JCR":"Q1","JCRName":"CLINICAL NEUROLOGY","Score":null,"Total":0}
引用次数: 0

Abstract

Background: Attention deficit hyperactivity disorder (ADHD) is a common childhood neurodevelopmental disorder, affecting between 5% and 7% of school-age children. ADHD is typically characterized by persistent patterns of inattention or hyperactivity-impulsivity, and it is diagnosed on the basis of the criteria outlined in the Diagnostic and Statistical Manual of Mental Disorders, Fifth Edition, through subjective observations and information provided by parents and teachers. Diagnosing ADHD in children is challenging, despite several assessment tools, such as the Swanson, Nolan, and Pelham questionnaire, being widely available. Such scales provide only a subjective understanding of the disorder. In this study, we employed video pixel subtraction and machine learning classification to objectively categorize 85 participants (43 with a diagnosis of ADHD and 42 without) into an ADHD group or a non-ADHD group by quantifying their movements.

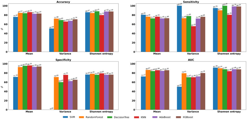
Methods: We employed pixel subtraction movement quantization by analyzing movement features in videos of patients in outpatient consultation rooms. Pixel subtraction is a technique in which the number of pixels in one frame is subtracted from that in another frame to detect changes between the two frames. A difference between the pixel values indicates the presence of movement. In the current study, the patients' subtracted image sequences were characterized using three movement feature values: mean, variance, and Shannon entropy value. A classification analysis based on six machine learning models was performed to compare the performance indices and the discriminatory power of various features.

Results: The results revealed that compared with the non-ADHD group, the ADHD group had significantly larger values for all movement features. Notably, the Shannon entropy values were 2.38 ± 0.59 and 1.0 ± 0.38 in the ADHD and non-ADHD groups, respectively (P < 0.0001). The Random Forest machine learning classification model achieved the most favorable results, with an accuracy of 90.24%, sensitivity of 88.85%, specificity of 91.75%, and area under the curve of 93.87%.

Conclusion: Our pixel subtraction and machine learning classification approach is an objective and practical method that can aid to clinical decisions regarding ADHD diagnosis.

Abstract Image

Abstract Image

Abstract Image

利用像素减法和机器学习对门诊咨询视频进行分类,客观诊断注意缺陷多动障碍。
背景:注意缺陷多动障碍(ADHD)是一种常见的儿童神经发育障碍,影响5%至7%的学龄儿童。ADHD的典型特征是持续的注意力不集中或多动冲动,它是根据《精神疾病诊断与统计手册》第五版中概述的标准,通过主观观察和家长和老师提供的信息进行诊断的。尽管有一些评估工具,如Swanson, Nolan和Pelham问卷,广泛使用,但诊断儿童多动症仍然具有挑战性。这样的量表只能提供对这种障碍的主观理解。在本研究中,我们采用视频像素减法和机器学习分类,通过量化他们的动作,客观地将85名参与者(43名诊断为ADHD, 42名未诊断为ADHD)分为ADHD组和非ADHD组。方法:采用像素减法运动量化分析门诊门诊患者视频的运动特征。像素减法是一种将一帧中的像素数从另一帧中的像素数减去以检测两帧之间的变化的技术。像素值之间的差异表明存在运动。在本研究中,使用三个运动特征值:均值、方差和香农熵值对患者减去的图像序列进行表征。基于六种机器学习模型进行分类分析,比较性能指标和各种特征的区分能力。结果:结果显示,与非ADHD组相比,ADHD组的各项运动特征值均显著增大。值得注意的是,ADHD组和非ADHD组的Shannon熵值分别为2.38±0.59和1.0±0.38 (P)。结论:我们的像素减法和机器学习分类方法是一种客观实用的方法,可以帮助临床决策ADHD的诊断。
本文章由计算机程序翻译,如有差异,请以英文原文为准。
求助全文
约1分钟内获得全文 求助全文
来源期刊
CiteScore
7.60
自引率
4.10%
发文量
58
审稿时长
>12 weeks
期刊介绍: Journal of Neurodevelopmental Disorders is an open access journal that integrates current, cutting-edge research across a number of disciplines, including neurobiology, genetics, cognitive neuroscience, psychiatry and psychology. The journal’s primary focus is on the pathogenesis of neurodevelopmental disorders including autism, fragile X syndrome, tuberous sclerosis, Turner Syndrome, 22q Deletion Syndrome, Prader-Willi and Angelman Syndrome, Williams syndrome, lysosomal storage diseases, dyslexia, specific language impairment and fetal alcohol syndrome. With the discovery of specific genes underlying neurodevelopmental syndromes, the emergence of powerful tools for studying neural circuitry, and the development of new approaches for exploring molecular mechanisms, interdisciplinary research on the pathogenesis of neurodevelopmental disorders is now increasingly common. Journal of Neurodevelopmental Disorders provides a unique venue for researchers interested in comparing and contrasting mechanisms and characteristics related to the pathogenesis of the full range of neurodevelopmental disorders, sharpening our understanding of the etiology and relevant phenotypes of each condition.
×
引用
GB/T 7714-2015
复制
MLA
复制
APA
复制
导出至
BibTeX EndNote RefMan NoteFirst NoteExpress
×
提示
您的信息不完整,为了账户安全,请先补充。
现在去补充
×
提示
您因"违规操作"
具体请查看互助需知
我知道了
×
提示
确定
请完成安全验证×
copy
已复制链接
快去分享给好友吧!
我知道了
右上角分享
点击右上角分享
0
联系我们:info@booksci.cn Book学术提供免费学术资源搜索服务,方便国内外学者检索中英文文献。致力于提供最便捷和优质的服务体验。 Copyright © 2023 布克学术 All rights reserved.
京ICP备2023020795号-1
ghs 京公网安备 11010802042870号
Book学术文献互助
Book学术文献互助群
群 号:604180095
Book学术官方微信