Pentoxifylline adjunct to risperidone for negative symptoms of stable schizophrenia: a randomized, double-blind, placebo-controlled trial.

IF 3.7 2区 医学 Q1 CLINICAL NEUROLOGY
Ahmad Shamabadi, Elham-Sadat Rafiei-Tabatabaei, Kimia Kazemzadeh, Kimia Farahmand, Bita Fallahpour, Mohammad-Reza Khodaei Ardakani, Shahin Akhondzadeh
{"title":"Pentoxifylline adjunct to risperidone for negative symptoms of stable schizophrenia: a randomized, double-blind, placebo-controlled trial.","authors":"Ahmad Shamabadi, Elham-Sadat Rafiei-Tabatabaei, Kimia Kazemzadeh, Kimia Farahmand, Bita Fallahpour, Mohammad-Reza Khodaei Ardakani, Shahin Akhondzadeh","doi":"10.1093/ijnp/pyae051","DOIUrl":null,"url":null,"abstract":"<p><strong>Background: </strong>Negative symptoms of schizophrenia represent an unmet therapeutic need for many patients in whom pentoxifylline may be effective in terms of its dopaminergic, anti-inflammatory, and cerebral blood flow-increasing properties. This study aimed to evaluate pentoxifylline as a therapeutic agent for improving negative symptoms of schizophrenia.</p><p><strong>Methods: </strong>Chronic schizophrenia outpatients experiencing significant negative symptoms were randomly allocated to receive pentoxifylline 400 mg or matched placebo every 12 hours for 8 weeks. All patients were clinically stable as they had received risperidone for at least 2 months, which was continued. The participants were assessed using the Positive and Negative Syndrome Scale (PANSS), Hamilton Depression Rating Scale, Extrapyramidal Symptom Rating Scale, and side effect checklist.</p><p><strong>Results: </strong>The patients' baseline characteristics were comparable between the groups. There was a significant time-treatment interaction effect on PANSS negative subscale scores (ηP2=0.075), with the pentoxifylline group showing significantly greater reductions until weeks 4 (Cohen d = 0.512) and 8 (Cohen d = 0.622). Also, this group showed a significantly better response by week 8. Other PANSS scores, Hamilton Depression Rating Scale scores, Extrapyramidal Symptom Rating Scale scores, and side effect frequencies were comparable between the groups. Pentoxifylline showed a nonsignificant higher remission of 37.1% compared with 14.7% in the placebo group.</p><p><strong>Conclusions: </strong>Pentoxifylline was safely and tolerably beneficial for the primary negative symptoms of chronic schizophrenia.</p>","PeriodicalId":14134,"journal":{"name":"International Journal of Neuropsychopharmacology","volume":" ","pages":""},"PeriodicalIF":3.7000,"publicationDate":"2024-12-28","publicationTypes":"Journal Article","fieldsOfStudy":null,"isOpenAccess":false,"openAccessPdf":"https://www.ncbi.nlm.nih.gov/pmc/articles/PMC11781224/pdf/","citationCount":"0","resultStr":null,"platform":"Semanticscholar","paperid":null,"PeriodicalName":"International Journal of Neuropsychopharmacology","FirstCategoryId":"3","ListUrlMain":"https://doi.org/10.1093/ijnp/pyae051","RegionNum":2,"RegionCategory":"医学","ArticlePicture":[],"TitleCN":null,"AbstractTextCN":null,"PMCID":null,"EPubDate":"","PubModel":"","JCR":"Q1","JCRName":"CLINICAL NEUROLOGY","Score":null,"Total":0}
引用次数: 0

Abstract

Background: Negative symptoms of schizophrenia represent an unmet therapeutic need for many patients in whom pentoxifylline may be effective in terms of its dopaminergic, anti-inflammatory, and cerebral blood flow-increasing properties. This study aimed to evaluate pentoxifylline as a therapeutic agent for improving negative symptoms of schizophrenia.

Methods: Chronic schizophrenia outpatients experiencing significant negative symptoms were randomly allocated to receive pentoxifylline 400 mg or matched placebo every 12 hours for 8 weeks. All patients were clinically stable as they had received risperidone for at least 2 months, which was continued. The participants were assessed using the Positive and Negative Syndrome Scale (PANSS), Hamilton Depression Rating Scale, Extrapyramidal Symptom Rating Scale, and side effect checklist.

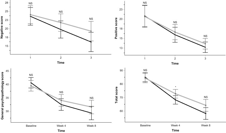
Results: The patients' baseline characteristics were comparable between the groups. There was a significant time-treatment interaction effect on PANSS negative subscale scores (ηP2=0.075), with the pentoxifylline group showing significantly greater reductions until weeks 4 (Cohen d = 0.512) and 8 (Cohen d = 0.622). Also, this group showed a significantly better response by week 8. Other PANSS scores, Hamilton Depression Rating Scale scores, Extrapyramidal Symptom Rating Scale scores, and side effect frequencies were comparable between the groups. Pentoxifylline showed a nonsignificant higher remission of 37.1% compared with 14.7% in the placebo group.

Conclusions: Pentoxifylline was safely and tolerably beneficial for the primary negative symptoms of chronic schizophrenia.

Abstract Image

Abstract Image

己酮可可碱辅助利培酮治疗稳定型精神分裂症阴性症状:一项随机、双盲、安慰剂对照试验
背景:精神分裂症的阴性症状代表了许多患者未被满足的治疗需求,这些患者的己酮茶碱可能因其多巴胺能、抗炎和脑血流增加特性而有效。本研究旨在评估己酮茶碱作为一种治疗药物改善精神分裂症的阴性症状。方法:出现明显阴性症状的慢性精神分裂症门诊患者随机分配服用己酮茶碱400 mg或匹配的安慰剂,每12小时一次,持续8周。所有患者临床稳定,因为他们已接受利培酮治疗至少两个月,并持续使用。采用阳性和阴性症状量表(PANSS)、汉密尔顿抑郁评定量表(HDRS)、锥体外系症状评定量表(ESRS)和副作用检查表对受试者进行评估。结果:两组患者的基线特征具有可比性。PANSS负亚量表评分存在显著的时间-治疗交互作用(ηP2=0.075),自酮可可碱组在第4周(Cohen’s d=0.512)和第8周(Cohen’s d=0.622)前的下降幅度更大。此外,这一组在第8周表现出明显更好的反应。其他PANSS评分、HDRS评分、ESRS评分和副作用频率在组间具有可比性。己酮茶碱组的缓解率为37.1%,而安慰剂组为14.7%。结论:己酮茶碱对慢性精神分裂症的原发性阴性症状有安全、可耐受的疗效。
本文章由计算机程序翻译,如有差异,请以英文原文为准。
求助全文
约1分钟内获得全文 求助全文
来源期刊
CiteScore
8.40
自引率
2.10%
发文量
230
审稿时长
4-8 weeks
期刊介绍: The central focus of the journal is on research that advances understanding of existing and new neuropsychopharmacological agents including their mode of action and clinical application or provides insights into the biological basis of psychiatric disorders and thereby advances their pharmacological treatment. Such research may derive from the full spectrum of biological and psychological fields of inquiry encompassing classical and novel techniques in neuropsychopharmacology as well as strategies such as neuroimaging, genetics, psychoneuroendocrinology and neuropsychology.
×
引用
GB/T 7714-2015
复制
MLA
复制
APA
复制
导出至
BibTeX EndNote RefMan NoteFirst NoteExpress
×
提示
您的信息不完整,为了账户安全,请先补充。
现在去补充
×
提示
您因"违规操作"
具体请查看互助需知
我知道了
×
提示
确定
请完成安全验证×
copy
已复制链接
快去分享给好友吧!
我知道了
右上角分享
点击右上角分享
0
联系我们:info@booksci.cn Book学术提供免费学术资源搜索服务,方便国内外学者检索中英文文献。致力于提供最便捷和优质的服务体验。 Copyright © 2023 布克学术 All rights reserved.
京ICP备2023020795号-1
ghs 京公网安备 11010802042870号
Book学术文献互助
Book学术文献互助群
群 号:604180095
Book学术官方微信