Predictive value of lncRNA DBH-AS1 for cardiovascular events in patients with type 2 diabetes mellitus with coronary heart disease.

IF 3
Xintong Wang, Yan Li, Jiaoding Tian
{"title":"Predictive value of lncRNA DBH-AS1 for cardiovascular events in patients with type 2 diabetes mellitus with coronary heart disease.","authors":"Xintong Wang, Yan Li, Jiaoding Tian","doi":"10.1177/14791641241303948","DOIUrl":null,"url":null,"abstract":"<p><strong>Background: </strong>The frequency of type 2 diabetes mellitus (T2DM) is rising annually. Coronary heart disease (CHD) is a prevalent complication affecting individuals with T2DM.</p><p><strong>Objective: </strong>The aim of this investigation was to assess the level of DBH-AS1 in T2DM with CHD, and to determine its potential role in forecasting the occurrence of significant cardiovascular events.</p><p><strong>Methods: </strong>The DBH-AS1 levels were detected by qRT-PCR. The diagnostic value of DBH-AS1 was assessed through receiver operating characteristic (ROC) curve analysis. Logistic regression was conducted to identify the risk factors for cardiovascular events among patients with T2DM with CHD. Cell proliferation was detected by Cell Counting Kit-8 (CCK-8) assay, apoptosis was detected by flow cytometry, and the concentration of inflammatory factors was detected by Enzyme Linked Immunosorbent (ELISA) kit.</p><p><strong>Results: </strong>DBH-AS1 was down-regulated in serum of both T2DM with CHD and cardiovascular events patients. Of the cardiovascular events that occurred, major events included recurrent angina (20%), cardiovascular death (7.5%), acute myocardial infarction (23.75%), severe arrhythmia (22.50%), acute heart failure (18.75%) and stroke (7.5%). And DBH-AS1 had a predictive value for each adverse of cardiovascular events. DBH-AS1 regulated the expression of miR-483-5p and affected the proliferation, apoptosis, and secretion of inflammatory factors of HCAECs.</p><p><strong>Conclusion: </strong>DBH-AS1 may serve as a predictor for the occurrence of cardiovascular events in T2DM with CHD patients.</p>","PeriodicalId":93978,"journal":{"name":"Diabetes & vascular disease research","volume":"21 6","pages":"14791641241303948"},"PeriodicalIF":3.0000,"publicationDate":"2024-11-01","publicationTypes":"Journal Article","fieldsOfStudy":null,"isOpenAccess":false,"openAccessPdf":"https://www.ncbi.nlm.nih.gov/pmc/articles/PMC11660343/pdf/","citationCount":"0","resultStr":null,"platform":"Semanticscholar","paperid":null,"PeriodicalName":"Diabetes & vascular disease research","FirstCategoryId":"1085","ListUrlMain":"https://doi.org/10.1177/14791641241303948","RegionNum":0,"RegionCategory":null,"ArticlePicture":[],"TitleCN":null,"AbstractTextCN":null,"PMCID":null,"EPubDate":"","PubModel":"","JCR":"","JCRName":"","Score":null,"Total":0}
引用次数: 0

Abstract

Background: The frequency of type 2 diabetes mellitus (T2DM) is rising annually. Coronary heart disease (CHD) is a prevalent complication affecting individuals with T2DM.

Objective: The aim of this investigation was to assess the level of DBH-AS1 in T2DM with CHD, and to determine its potential role in forecasting the occurrence of significant cardiovascular events.

Methods: The DBH-AS1 levels were detected by qRT-PCR. The diagnostic value of DBH-AS1 was assessed through receiver operating characteristic (ROC) curve analysis. Logistic regression was conducted to identify the risk factors for cardiovascular events among patients with T2DM with CHD. Cell proliferation was detected by Cell Counting Kit-8 (CCK-8) assay, apoptosis was detected by flow cytometry, and the concentration of inflammatory factors was detected by Enzyme Linked Immunosorbent (ELISA) kit.

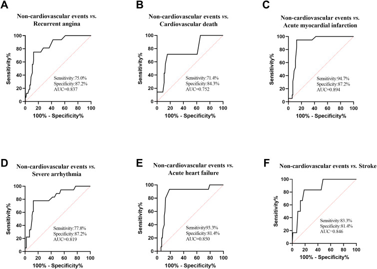
Results: DBH-AS1 was down-regulated in serum of both T2DM with CHD and cardiovascular events patients. Of the cardiovascular events that occurred, major events included recurrent angina (20%), cardiovascular death (7.5%), acute myocardial infarction (23.75%), severe arrhythmia (22.50%), acute heart failure (18.75%) and stroke (7.5%). And DBH-AS1 had a predictive value for each adverse of cardiovascular events. DBH-AS1 regulated the expression of miR-483-5p and affected the proliferation, apoptosis, and secretion of inflammatory factors of HCAECs.

Conclusion: DBH-AS1 may serve as a predictor for the occurrence of cardiovascular events in T2DM with CHD patients.

Abstract Image

Abstract Image

Abstract Image

lncRNA DBH-AS1对2型糖尿病合并冠心病患者心血管事件的预测价值
背景:2型糖尿病(T2DM)的发病率逐年上升。冠心病(CHD)是影响2型糖尿病患者的常见并发症。目的:本研究的目的是评估T2DM合并冠心病患者的DBH-AS1水平,并确定其在预测重大心血管事件发生中的潜在作用。方法:采用qRT-PCR检测DBH-AS1水平。通过受试者工作特征(ROC)曲线分析评估DBH-AS1的诊断价值。采用Logistic回归方法确定T2DM合并冠心病患者心血管事件的危险因素。采用细胞计数试剂盒-8 (CCK-8)检测细胞增殖,流式细胞术检测细胞凋亡,酶联免疫吸附(ELISA)试剂盒检测炎症因子浓度。结果:T2DM合并冠心病和心血管事件患者血清中DBH-AS1均下调。在发生的心血管事件中,主要事件包括复发性心绞痛(20%)、心血管死亡(7.5%)、急性心肌梗死(23.75%)、严重心律失常(22.50%)、急性心力衰竭(18.75%)和脑卒中(7.5%)。DBH-AS1对心血管不良事件均有预测价值。DBH-AS1调节miR-483-5p的表达,影响hcaec的增殖、凋亡和炎症因子的分泌。结论:DBH-AS1可作为T2DM合并冠心病患者心血管事件发生的预测因子。
本文章由计算机程序翻译,如有差异,请以英文原文为准。
求助全文
约1分钟内获得全文 求助全文
来源期刊
自引率
0.00%
发文量
0
×
引用
GB/T 7714-2015
复制
MLA
复制
APA
复制
导出至
BibTeX EndNote RefMan NoteFirst NoteExpress
×
提示
您的信息不完整,为了账户安全,请先补充。
现在去补充
×
提示
您因"违规操作"
具体请查看互助需知
我知道了
×
提示
确定
请完成安全验证×
copy
已复制链接
快去分享给好友吧!
我知道了
右上角分享
点击右上角分享
0
联系我们:info@booksci.cn Book学术提供免费学术资源搜索服务,方便国内外学者检索中英文文献。致力于提供最便捷和优质的服务体验。 Copyright © 2023 布克学术 All rights reserved.
京ICP备2023020795号-1
ghs 京公网安备 11010802042870号
Book学术文献互助
Book学术文献互助群
群 号:604180095
Book学术官方微信