Brain volumes, cognitive, and adaptive skills in school-age children with Down syndrome.

IF 4 2区 医学 Q1 CLINICAL NEUROLOGY
Rebecca Grzadzinski, Kattia Mata, Ambika S Bhatt, Alapika Jatkar, Dea Garic, Mark D Shen, Jessica B Girault, Tanya St John, Juhi Pandey, Lonnie Zwaigenbaum, Annette Estes, Audrey M Shen, Stephen Dager, Robert Schultz, Kelly Botteron, Natasha Marrus, Martin Styner, Alan Evans, Sun Hyung Kim, Robert McKinstry, Guido Gerig, Joseph Piven, Heather Hazlett
{"title":"Brain volumes, cognitive, and adaptive skills in school-age children with Down syndrome.","authors":"Rebecca Grzadzinski, Kattia Mata, Ambika S Bhatt, Alapika Jatkar, Dea Garic, Mark D Shen, Jessica B Girault, Tanya St John, Juhi Pandey, Lonnie Zwaigenbaum, Annette Estes, Audrey M Shen, Stephen Dager, Robert Schultz, Kelly Botteron, Natasha Marrus, Martin Styner, Alan Evans, Sun Hyung Kim, Robert McKinstry, Guido Gerig, Joseph Piven, Heather Hazlett","doi":"10.1186/s11689-024-09581-6","DOIUrl":null,"url":null,"abstract":"<p><strong>Background: </strong>Down syndrome (DS) is the most common congenital neurodevelopmental disorder, present in about 1 in every 700 live births. Despite its prevalence, literature exploring the neurobiology underlying DS and how this neurobiology is related to behavior is limited. This study fills this gap by examining cortical volumes and behavioral correlates in school-age children with DS.</p><p><strong>Methods: </strong>School-age children (mean = 9.7 years ± 1.1) underwent comprehensive assessments, including cognitive and adaptive assessments, as well as an MRI scan without the use of sedation. Children with DS (n = 35) were compared to available samples of typically developing (TD; n = 80) and ASD children (n = 29). ANOVAs were conducted to compare groups on cognitive and adaptive assessments. ANCOVAs (covarying for age, sex, and total cerebral volume; TCV) compared cortical brain volumes between groups. Correlations between behavioral metrics and cortical and cerebellar volumes (separately for gray (GM) and white matter (WM)) were conducted separately by group.</p><p><strong>Results: </strong>As expected, children with DS had significantly lower cognitive skills compared to ASD and TD children. Daily Living adaptive skills were comparable between ASD children and children with DS, and both groups scored lower than TD children. Children with DS exhibited a smaller TCV compared to ASD and TD children. Additionally, when controlling for TCV, age, and sex, children with DS had significantly smaller total GM and tissue volumes. Cerebellum volumes were significantly correlated with Daily Living adaptive behaviors in the DS group only.</p><p><strong>Conclusions: </strong>Despite children with DS exhibiting lower cognitive skills and smaller brain volume overall than children with ASD, their deficits in Socialization and Daily Living adaptive skills are comparable. Differences in lobar volumes (e.g., Right Frontal GM/WM, Left Frontal WM, and Left and Right Temporal WM) were observed above and beyond overall differences in total volume. The correlation between cerebellum volumes and Daily Living adaptive behaviors in the DS group provides a novel area to explore in future research.</p>","PeriodicalId":16530,"journal":{"name":"Journal of Neurodevelopmental Disorders","volume":"16 1","pages":"70"},"PeriodicalIF":4.0000,"publicationDate":"2024-12-19","publicationTypes":"Journal Article","fieldsOfStudy":null,"isOpenAccess":false,"openAccessPdf":"https://www.ncbi.nlm.nih.gov/pmc/articles/PMC11660842/pdf/","citationCount":"0","resultStr":null,"platform":"Semanticscholar","paperid":null,"PeriodicalName":"Journal of Neurodevelopmental Disorders","FirstCategoryId":"3","ListUrlMain":"https://doi.org/10.1186/s11689-024-09581-6","RegionNum":2,"RegionCategory":"医学","ArticlePicture":[],"TitleCN":null,"AbstractTextCN":null,"PMCID":null,"EPubDate":"","PubModel":"","JCR":"Q1","JCRName":"CLINICAL NEUROLOGY","Score":null,"Total":0}
引用次数: 0

Abstract

Background: Down syndrome (DS) is the most common congenital neurodevelopmental disorder, present in about 1 in every 700 live births. Despite its prevalence, literature exploring the neurobiology underlying DS and how this neurobiology is related to behavior is limited. This study fills this gap by examining cortical volumes and behavioral correlates in school-age children with DS.

Methods: School-age children (mean = 9.7 years ± 1.1) underwent comprehensive assessments, including cognitive and adaptive assessments, as well as an MRI scan without the use of sedation. Children with DS (n = 35) were compared to available samples of typically developing (TD; n = 80) and ASD children (n = 29). ANOVAs were conducted to compare groups on cognitive and adaptive assessments. ANCOVAs (covarying for age, sex, and total cerebral volume; TCV) compared cortical brain volumes between groups. Correlations between behavioral metrics and cortical and cerebellar volumes (separately for gray (GM) and white matter (WM)) were conducted separately by group.

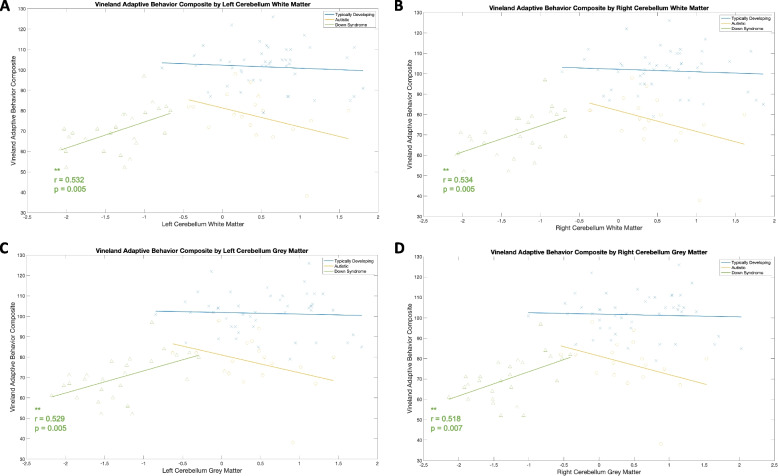
Results: As expected, children with DS had significantly lower cognitive skills compared to ASD and TD children. Daily Living adaptive skills were comparable between ASD children and children with DS, and both groups scored lower than TD children. Children with DS exhibited a smaller TCV compared to ASD and TD children. Additionally, when controlling for TCV, age, and sex, children with DS had significantly smaller total GM and tissue volumes. Cerebellum volumes were significantly correlated with Daily Living adaptive behaviors in the DS group only.

Conclusions: Despite children with DS exhibiting lower cognitive skills and smaller brain volume overall than children with ASD, their deficits in Socialization and Daily Living adaptive skills are comparable. Differences in lobar volumes (e.g., Right Frontal GM/WM, Left Frontal WM, and Left and Right Temporal WM) were observed above and beyond overall differences in total volume. The correlation between cerebellum volumes and Daily Living adaptive behaviors in the DS group provides a novel area to explore in future research.

Abstract Image

Abstract Image

Abstract Image

学龄唐氏综合症儿童的脑容量、认知和适应能力。
背景:唐氏综合症(DS)是最常见的先天性神经发育障碍,每700例活产婴儿中约有1例。尽管它很流行,但探索退行性椎体滑移背后的神经生物学以及这种神经生物学与行为的关系的文献是有限的。这项研究通过检查学龄退行性痴呆儿童的皮质体积和行为相关性来填补这一空白。方法:对学龄儿童(平均9.7岁±1.1岁)进行全面评估,包括认知和适应性评估,以及不使用镇静的MRI扫描。将患有退行性痴呆的儿童(n = 35)与正常发育(TD;n = 80)和ASD儿童(n = 29)。采用方差分析比较各组的认知和适应性评估。ANCOVAs(随年龄、性别和总脑容量共变;TCV)比较各组间皮质脑体积。行为指标与皮层和小脑体积(分别为灰质(GM)和白质(WM))的相关性按组分别进行。结果:正如预期的那样,与ASD和TD儿童相比,DS儿童的认知技能显著降低。日常生活适应技能在ASD儿童和DS儿童之间具有可比性,两组儿童的得分都低于TD儿童。与ASD和TD儿童相比,DS儿童表现出较小的TCV。此外,当控制TCV、年龄和性别时,DS患儿的总GM和组织体积明显较小。仅在DS组,小脑体积与日常生活适应行为显著相关。结论:尽管与ASD儿童相比,DS儿童总体上表现出较低的认知技能和较小的脑容量,但他们在社交和日常生活适应技能方面的缺陷是相当的。脑叶体积的差异(例如,右额叶GM/WM、左额叶WM、左颞叶WM和右颞叶WM)超过了总体容积的差异。DS组小脑体积与日常生活适应行为的相关性为未来的研究提供了一个新的探索领域。
本文章由计算机程序翻译,如有差异,请以英文原文为准。
求助全文
约1分钟内获得全文 求助全文
来源期刊
CiteScore
7.60
自引率
4.10%
发文量
58
审稿时长
>12 weeks
期刊介绍: Journal of Neurodevelopmental Disorders is an open access journal that integrates current, cutting-edge research across a number of disciplines, including neurobiology, genetics, cognitive neuroscience, psychiatry and psychology. The journal’s primary focus is on the pathogenesis of neurodevelopmental disorders including autism, fragile X syndrome, tuberous sclerosis, Turner Syndrome, 22q Deletion Syndrome, Prader-Willi and Angelman Syndrome, Williams syndrome, lysosomal storage diseases, dyslexia, specific language impairment and fetal alcohol syndrome. With the discovery of specific genes underlying neurodevelopmental syndromes, the emergence of powerful tools for studying neural circuitry, and the development of new approaches for exploring molecular mechanisms, interdisciplinary research on the pathogenesis of neurodevelopmental disorders is now increasingly common. Journal of Neurodevelopmental Disorders provides a unique venue for researchers interested in comparing and contrasting mechanisms and characteristics related to the pathogenesis of the full range of neurodevelopmental disorders, sharpening our understanding of the etiology and relevant phenotypes of each condition.
×
引用
GB/T 7714-2015
复制
MLA
复制
APA
复制
导出至
BibTeX EndNote RefMan NoteFirst NoteExpress
×
提示
您的信息不完整,为了账户安全,请先补充。
现在去补充
×
提示
您因"违规操作"
具体请查看互助需知
我知道了
×
提示
确定
请完成安全验证×
copy
已复制链接
快去分享给好友吧!
我知道了
右上角分享
点击右上角分享
0
联系我们:info@booksci.cn Book学术提供免费学术资源搜索服务,方便国内外学者检索中英文文献。致力于提供最便捷和优质的服务体验。 Copyright © 2023 布克学术 All rights reserved.
京ICP备2023020795号-1
ghs 京公网安备 11010802042870号
Book学术文献互助
Book学术文献互助群
群 号:604180095
Book学术官方微信