Multiancestry Genome-Wide Association Study of Early Childhood Caries.

IF 5.9
Journal of dental research Pub Date : 2025-03-01 Epub Date: 2024-12-19 DOI:10.1177/00220345241291528
P Shrestha, M Graff, Y Gu, Y Wang, C L Avery, J Ginnis, M A Simancas-Pallares, A G Ferreira Zandoná, R N Alotaibi, E Orlova, H S Ahn, K N Nguyen, H M Highland, D Y Lin, J S Preisser, G D Slade, M L Marazita, K E North, K Divaris
{"title":"Multiancestry Genome-Wide Association Study of Early Childhood Caries.","authors":"P Shrestha, M Graff, Y Gu, Y Wang, C L Avery, J Ginnis, M A Simancas-Pallares, A G Ferreira Zandoná, R N Alotaibi, E Orlova, H S Ahn, K N Nguyen, H M Highland, D Y Lin, J S Preisser, G D Slade, M L Marazita, K E North, K Divaris","doi":"10.1177/00220345241291528","DOIUrl":null,"url":null,"abstract":"<p><p>Early childhood caries (ECC) is the most common noncommunicable childhood disease-an important health problem with known environmental and social/behavioral influences lacking consensus genetic risk loci. To address this knowledge gap, we conducted a genome-wide association study of ECC in a multiancestry population of U.S. preschool-age children (<i>N</i> = 6,103) ages 3 to 5 y participating in a community-based epidemiologic study of early childhood oral health. Calibrated examiners used International Caries Detection and Assessment System criteria to measure ECC; the primary trait was the number of primary tooth surfaces with caries experience (i.e., dmfs index). We estimated heritability and concordance rates and conducted genome-wide association analyses to estimate overall genetic effects as well as stratified by sex, household water fluoride, and dietary sugar and leveraged combined gene/gene-environment effects using 2-degree-of-freedom joint tests. Common genetic variants explained 24% of ECC phenotypic variance among unrelated individuals, while concordance rates were 0.64 (95% confidence interval [CI] = 0.42-0.79) among monozygotic twins and 0.44 (95% CI = 0.34-0.53) among first-degree relatives. Across all analyses, we identified 21 novel nonoverlapping genome-wide significant loci (<i>P</i> < 5 × 10<sup>-8</sup>) and 1 genome-wide significant gene (<i>TAAR6</i>) associated with ECC. The taste receptor activity gene set, with known roles in chemosensing, bacterial recognition, and innate immunity in the oral cavity, was strongly associated with ECC. While no locus remained significant after studywise multiple-testing correction, 3 loci were nominally significant (<i>P</i> < 0.05) and directionally consistent in external cohorts of 285,248 adults (rs1442369, <i>DLGAP1</i> and rs74606067, <i>RP11-856F16.2</i>) and 18,994 children (rs71327750, <i>SLC41A3</i>). Meanwhile, the strongest marker known to be associated with adult caries (rs1122171, tagging the long noncoding RNA <i>PITX1-AS1</i>) was nominally significant (<i>P</i> = 0.01) and directionally consistent with ECC in our study. Taken together, the results of this study add to the genomics knowledge base for early childhood caries, offer several plausible candidates for future mechanistic studies, and underscore the importance of accounting for sex and pertinent environmental exposures in genetic investigations.</p>","PeriodicalId":94075,"journal":{"name":"Journal of dental research","volume":" ","pages":"280-289"},"PeriodicalIF":5.9000,"publicationDate":"2025-03-01","publicationTypes":"Journal Article","fieldsOfStudy":null,"isOpenAccess":false,"openAccessPdf":"https://www.ncbi.nlm.nih.gov/pmc/articles/PMC11843792/pdf/","citationCount":"0","resultStr":null,"platform":"Semanticscholar","paperid":null,"PeriodicalName":"Journal of dental research","FirstCategoryId":"1085","ListUrlMain":"https://doi.org/10.1177/00220345241291528","RegionNum":0,"RegionCategory":null,"ArticlePicture":[],"TitleCN":null,"AbstractTextCN":null,"PMCID":null,"EPubDate":"2024/12/19 0:00:00","PubModel":"Epub","JCR":"","JCRName":"","Score":null,"Total":0}
引用次数: 0

Abstract

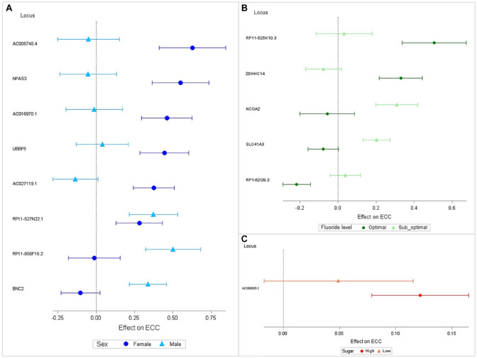
Early childhood caries (ECC) is the most common noncommunicable childhood disease-an important health problem with known environmental and social/behavioral influences lacking consensus genetic risk loci. To address this knowledge gap, we conducted a genome-wide association study of ECC in a multiancestry population of U.S. preschool-age children (N = 6,103) ages 3 to 5 y participating in a community-based epidemiologic study of early childhood oral health. Calibrated examiners used International Caries Detection and Assessment System criteria to measure ECC; the primary trait was the number of primary tooth surfaces with caries experience (i.e., dmfs index). We estimated heritability and concordance rates and conducted genome-wide association analyses to estimate overall genetic effects as well as stratified by sex, household water fluoride, and dietary sugar and leveraged combined gene/gene-environment effects using 2-degree-of-freedom joint tests. Common genetic variants explained 24% of ECC phenotypic variance among unrelated individuals, while concordance rates were 0.64 (95% confidence interval [CI] = 0.42-0.79) among monozygotic twins and 0.44 (95% CI = 0.34-0.53) among first-degree relatives. Across all analyses, we identified 21 novel nonoverlapping genome-wide significant loci (P < 5 × 10-8) and 1 genome-wide significant gene (TAAR6) associated with ECC. The taste receptor activity gene set, with known roles in chemosensing, bacterial recognition, and innate immunity in the oral cavity, was strongly associated with ECC. While no locus remained significant after studywise multiple-testing correction, 3 loci were nominally significant (P < 0.05) and directionally consistent in external cohorts of 285,248 adults (rs1442369, DLGAP1 and rs74606067, RP11-856F16.2) and 18,994 children (rs71327750, SLC41A3). Meanwhile, the strongest marker known to be associated with adult caries (rs1122171, tagging the long noncoding RNA PITX1-AS1) was nominally significant (P = 0.01) and directionally consistent with ECC in our study. Taken together, the results of this study add to the genomics knowledge base for early childhood caries, offer several plausible candidates for future mechanistic studies, and underscore the importance of accounting for sex and pertinent environmental exposures in genetic investigations.

Abstract Image

Abstract Image

Abstract Image

儿童早期龋齿多祖先全基因组关联研究。
儿童早期龋齿(ECC)是最常见的儿童非传染性疾病,是一种已知环境和社会/行为影响的重要健康问题,缺乏共识的遗传风险位点。为了解决这方面的知识差距,我们在一项以社区为基础的儿童早期口腔健康流行病学研究中,对3至5岁的美国学龄前儿童(N = 6103)进行了一项ECC全基因组关联研究。校正后的审查员使用国际龋齿检测和评估系统标准测量ECC;主要特征是有蛀牙经历的乳牙面数量(即DMFS指数)。我们估计了遗传率和一致性率,并进行了全基因组关联分析,以估计总体遗传效应,并按性别、家庭用水氟化物和膳食糖分层,并利用2自由度联合测试利用基因/基因-环境综合效应。在无亲缘关系的个体中,常见遗传变异解释了24%的ECC表型变异,而同卵双胞胎的一致性率为0.64(95%可信区间[CI] = 0.42-0.79),一级亲缘关系的一致性率为0.44 (95% CI = 0.34-0.53)。在所有的分析中,我们发现了21个新的非重叠全基因组显著位点(P -8)和1个与ECC相关的全基因组显著基因(TAAR6)。味觉受体活性基因组,已知在口腔化学感应、细菌识别和先天免疫中起作用,与ECC密切相关。虽然经多项检验校正后,没有位点保持显著性,但有3个位点(P DLGAP1和rs74606067, RP11-856F16.2)和18,994名儿童(rs71327750, SLC41A3)具有名义显著性。与此同时,已知与成人龋齿相关的最强标记(rs1122171,标记长链非编码RNA PITX1-AS1)在我们的研究中具有名义显著性(P = 0.01),方向与ECC一致。综上所述,本研究的结果增加了早期儿童龋齿的基因组学知识库,为未来的机制研究提供了几个可信的候选对象,并强调了在遗传调查中考虑性别和相关环境暴露的重要性。
本文章由计算机程序翻译,如有差异,请以英文原文为准。
求助全文
约1分钟内获得全文 求助全文
来源期刊
自引率
0.00%
发文量
0
×
引用
GB/T 7714-2015
复制
MLA
复制
APA
复制
导出至
BibTeX EndNote RefMan NoteFirst NoteExpress
×
提示
您的信息不完整,为了账户安全,请先补充。
现在去补充
×
提示
您因"违规操作"
具体请查看互助需知
我知道了
×
提示
确定
请完成安全验证×
copy
已复制链接
快去分享给好友吧!
我知道了
右上角分享
点击右上角分享
0
联系我们:info@booksci.cn Book学术提供免费学术资源搜索服务,方便国内外学者检索中英文文献。致力于提供最便捷和优质的服务体验。 Copyright © 2023 布克学术 All rights reserved.
京ICP备2023020795号-1
ghs 京公网安备 11010802042870号
Book学术文献互助
Book学术文献互助群
群 号:604180095
Book学术官方微信