Cardiovascular outcomes of romosozumab treatment-real-world data analysis.

IF 2.4 Q2 ENDOCRINOLOGY & METABOLISM
JBMR Plus Pub Date : 2024-12-10 eCollection Date: 2025-01-01 DOI:10.1093/jbmrpl/ziae146
Anat Tsur, Avivit Cahn, Ludmila Levy, Rena Pollack
{"title":"Cardiovascular outcomes of romosozumab treatment-real-world data analysis.","authors":"Anat Tsur, Avivit Cahn, Ludmila Levy, Rena Pollack","doi":"10.1093/jbmrpl/ziae146","DOIUrl":null,"url":null,"abstract":"<p><p>Romosozumab is a potent treatment for osteoporosis, with significant effects on bone density and fracture prevention. This study evaluated the cardiovascular safety of romosozumab in a real-world cohort of postmenopausal women at high fracture risk. We retrospectively evaluated postmenopausal women who initiated treatment with romosozumab between January 1, 2020, and June 30, 2023. We examined the occurrence of a major adverse cardiovascular event (MACE) across two distinct segments during the treatment period and after its conclusion. After applying inclusion and exclusion criteria, 847 women were followed for a median of 729 days (IQR: 445-1060). The incidence rate of MACE was 24.0 (95% CI 17.7-32.5) per 1000 person-years during the study period. The change in the rate of MACE from 0-90 days and 90-365 days post-treatment initiation was 0.04 and 0.06 events per 1000 days, respectively. The difference in the rate between these intervals was not statistically significant (<i>p</i> = .09). After 1 yr of treatment, the slope of MACE increased to 0.10, differing significantly from the preceding 12 mo on treatment (<i>p</i><.001). The incidence of MACE was higher in those with a background of previous cardiovascular disease or diabetes at all timepoints, as expected. The consistency in event rates during treatment suggests that romosozumab is not associated with an increase in MACE in postmenopausal women. This finding challenges reports suggesting an increase in cardiovascular events within the first year of romosozumab treatment.</p>","PeriodicalId":14611,"journal":{"name":"JBMR Plus","volume":"9 1","pages":"ziae146"},"PeriodicalIF":2.4000,"publicationDate":"2024-12-10","publicationTypes":"Journal Article","fieldsOfStudy":null,"isOpenAccess":false,"openAccessPdf":"https://www.ncbi.nlm.nih.gov/pmc/articles/PMC11647516/pdf/","citationCount":"0","resultStr":null,"platform":"Semanticscholar","paperid":null,"PeriodicalName":"JBMR Plus","FirstCategoryId":"1085","ListUrlMain":"https://doi.org/10.1093/jbmrpl/ziae146","RegionNum":0,"RegionCategory":null,"ArticlePicture":[],"TitleCN":null,"AbstractTextCN":null,"PMCID":null,"EPubDate":"2025/1/1 0:00:00","PubModel":"eCollection","JCR":"Q2","JCRName":"ENDOCRINOLOGY & METABOLISM","Score":null,"Total":0}
引用次数: 0

Abstract

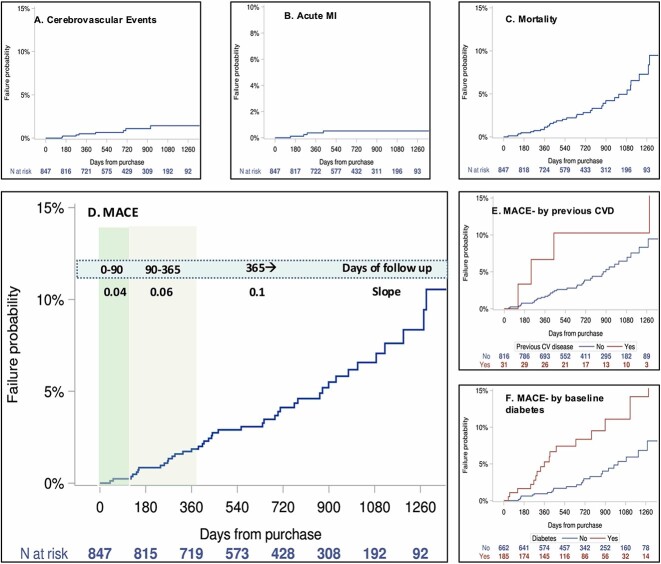
Romosozumab is a potent treatment for osteoporosis, with significant effects on bone density and fracture prevention. This study evaluated the cardiovascular safety of romosozumab in a real-world cohort of postmenopausal women at high fracture risk. We retrospectively evaluated postmenopausal women who initiated treatment with romosozumab between January 1, 2020, and June 30, 2023. We examined the occurrence of a major adverse cardiovascular event (MACE) across two distinct segments during the treatment period and after its conclusion. After applying inclusion and exclusion criteria, 847 women were followed for a median of 729 days (IQR: 445-1060). The incidence rate of MACE was 24.0 (95% CI 17.7-32.5) per 1000 person-years during the study period. The change in the rate of MACE from 0-90 days and 90-365 days post-treatment initiation was 0.04 and 0.06 events per 1000 days, respectively. The difference in the rate between these intervals was not statistically significant (p = .09). After 1 yr of treatment, the slope of MACE increased to 0.10, differing significantly from the preceding 12 mo on treatment (p<.001). The incidence of MACE was higher in those with a background of previous cardiovascular disease or diabetes at all timepoints, as expected. The consistency in event rates during treatment suggests that romosozumab is not associated with an increase in MACE in postmenopausal women. This finding challenges reports suggesting an increase in cardiovascular events within the first year of romosozumab treatment.

Abstract Image

罗莫索单抗治疗的心血管效果真实世界数据分析。
Romosozumab是一种治疗骨质疏松症的有效药物,对骨密度和骨折预防有显著影响。本研究评估了romosozumab在绝经后高骨折风险妇女的心血管安全性。我们回顾性评估了在2020年1月1日至2023年6月30日期间开始使用romosozumab治疗的绝经后妇女。我们检查了在治疗期间和治疗结束后的两个不同阶段发生的主要不良心血管事件(MACE)。在应用纳入和排除标准后,对847名妇女进行了中位729天的随访(IQR: 445-1060)。在研究期间,MACE的发生率为每1000人年24.0 (95% CI 17.7-32.5)。治疗开始后0-90天和90-365天MACE发生率的变化分别为0.04和0.06个事件/ 1000天。这些间隔间的发生率差异无统计学意义(p = 0.09)。治疗1年后,MACE斜率增加至0.10,与治疗前12个月有显著差异(p
本文章由计算机程序翻译,如有差异,请以英文原文为准。
求助全文
约1分钟内获得全文 求助全文
来源期刊
JBMR Plus
JBMR Plus Medicine-Orthopedics and Sports Medicine
CiteScore
5.80
自引率
2.60%
发文量
103
审稿时长
8 weeks
×
引用
GB/T 7714-2015
复制
MLA
复制
APA
复制
导出至
BibTeX EndNote RefMan NoteFirst NoteExpress
×
提示
您的信息不完整,为了账户安全,请先补充。
现在去补充
×
提示
您因"违规操作"
具体请查看互助需知
我知道了
×
提示
确定
请完成安全验证×
copy
已复制链接
快去分享给好友吧!
我知道了
右上角分享
点击右上角分享
0
联系我们:info@booksci.cn Book学术提供免费学术资源搜索服务,方便国内外学者检索中英文文献。致力于提供最便捷和优质的服务体验。 Copyright © 2023 布克学术 All rights reserved.
京ICP备2023020795号-1
ghs 京公网安备 11010802042870号
Book学术文献互助
Book学术文献互助群
群 号:604180095
Book学术官方微信