Evolution of Hematobiochemical Profiles in Newly Diagnosed HIV Patients and HIV-TB Co-Infected Patients: Correlation with Immunological and Virological Status.

IF 4.4 Q1 IMMUNOLOGY
ImmunoTargets and Therapy Pub Date : 2024-12-10 eCollection Date: 2024-01-01 DOI:10.2147/ITT.S495295
Nawaid Hussain Khan, Chaitenya Verma, Mirza Masroor Ali Beg, Shashi Nandar Kumar, Gaurav Kaushik, Hafiz Ahmad, Kudaibergen Osmonaliev, Vinay Kumar
{"title":"Evolution of Hematobiochemical Profiles in Newly Diagnosed HIV Patients and HIV-TB Co-Infected Patients: Correlation with Immunological and Virological Status.","authors":"Nawaid Hussain Khan, Chaitenya Verma, Mirza Masroor Ali Beg, Shashi Nandar Kumar, Gaurav Kaushik, Hafiz Ahmad, Kudaibergen Osmonaliev, Vinay Kumar","doi":"10.2147/ITT.S495295","DOIUrl":null,"url":null,"abstract":"<p><strong>Background: </strong>CD4+ cells, HIV-1 plasma viral load (PVL), and IFN-γ have been observed to enhance susceptibility in TB infection/reactivation among HIV-1 infected people, leading to unusual clinical manifestations. HIV-TB co-infection is significant for immunological and virological response, making it a great clinical challenge for patient management. The objective of this study was to explore the correlation among various hematological and biochemical profiles with CD4+ count and PVL in order to decipher mechanisms of TB development or reactivation in HIV-infected patients.</p><p><strong>Methods: </strong>In this cross-sectional study, we included 200 newly diagnosed treatment naïve HIV-1 infected patients, of which 118 were HIV-TB co-infected and 82 were HIV-alone. The CD4+ T count was determined using the BD FACS Count System, and the plasma HIV-1 viral load was estimated using the Abbott m2000 real-time platform. The hematobiochemical testing was performed on fully-automated analyzer ADVIA<sup>®</sup> 560 and Cobas<sup>®</sup> 501 Roche Diagnostics. Statistical software SPSS-2, Spearman correlation analysis was used for data analysis and a P-value less than 0.05 was considered statistically significant.</p><p><strong>Results: </strong>Declined hemoglobulin level positively correlated with CD4 counts (r = 0.229; p = 0.001), and a negative correlation was observed with HIV-1 plasma viral load (r = -0.171; p = 0.016). Moreover, the CD4+ count and HIV-1 plasma viral load (PVL) were also correlated to anomalies such as thrombocytopenia, leucopenia, eosinophils, neutrophils, ESR, potassium, Albumin, globulin, SGOT, uric acid. Studies also found significantly higher absolute neutrophil count, ESR, and serum fasting blood sugar, creatine, uric acid, total bilirubin, globulin, and alkaline phosphatase in HIV-TB co-infected patients.</p><p><strong>Conclusion and recommendation: </strong>The initial value of Hb, ESR, absolute neutrophil counts, serum calcium, uric acid, and potassium can be used as an early indicator for active tuberculosis (TB) and as a substitute marker for the course of HIV disease, especially in areas with low resources.</p>","PeriodicalId":30986,"journal":{"name":"ImmunoTargets and Therapy","volume":"13 ","pages":"691-705"},"PeriodicalIF":4.4000,"publicationDate":"2024-12-10","publicationTypes":"Journal Article","fieldsOfStudy":null,"isOpenAccess":false,"openAccessPdf":"https://www.ncbi.nlm.nih.gov/pmc/articles/PMC11645950/pdf/","citationCount":"0","resultStr":null,"platform":"Semanticscholar","paperid":null,"PeriodicalName":"ImmunoTargets and Therapy","FirstCategoryId":"1085","ListUrlMain":"https://doi.org/10.2147/ITT.S495295","RegionNum":0,"RegionCategory":null,"ArticlePicture":[],"TitleCN":null,"AbstractTextCN":null,"PMCID":null,"EPubDate":"2024/1/1 0:00:00","PubModel":"eCollection","JCR":"Q1","JCRName":"IMMUNOLOGY","Score":null,"Total":0}
引用次数: 0

Abstract

Background: CD4+ cells, HIV-1 plasma viral load (PVL), and IFN-γ have been observed to enhance susceptibility in TB infection/reactivation among HIV-1 infected people, leading to unusual clinical manifestations. HIV-TB co-infection is significant for immunological and virological response, making it a great clinical challenge for patient management. The objective of this study was to explore the correlation among various hematological and biochemical profiles with CD4+ count and PVL in order to decipher mechanisms of TB development or reactivation in HIV-infected patients.

Methods: In this cross-sectional study, we included 200 newly diagnosed treatment naïve HIV-1 infected patients, of which 118 were HIV-TB co-infected and 82 were HIV-alone. The CD4+ T count was determined using the BD FACS Count System, and the plasma HIV-1 viral load was estimated using the Abbott m2000 real-time platform. The hematobiochemical testing was performed on fully-automated analyzer ADVIA® 560 and Cobas® 501 Roche Diagnostics. Statistical software SPSS-2, Spearman correlation analysis was used for data analysis and a P-value less than 0.05 was considered statistically significant.

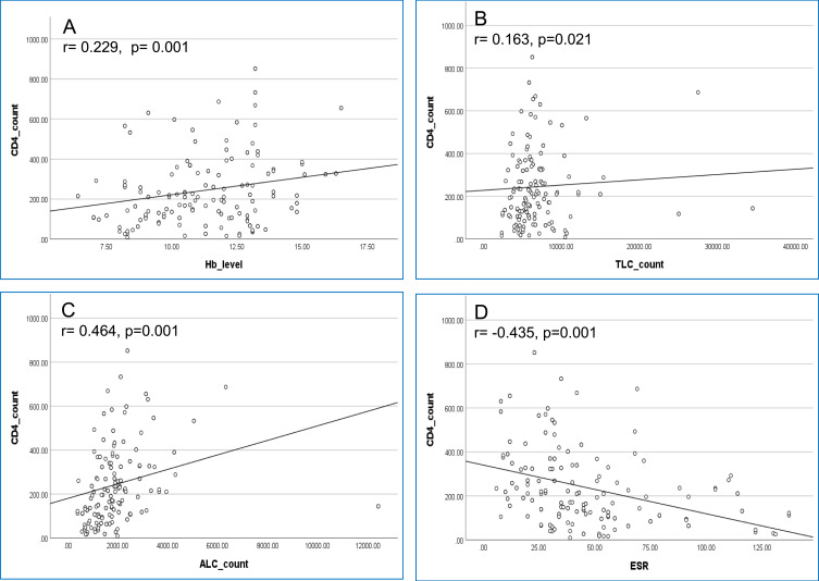
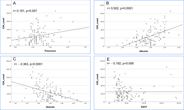
Results: Declined hemoglobulin level positively correlated with CD4 counts (r = 0.229; p = 0.001), and a negative correlation was observed with HIV-1 plasma viral load (r = -0.171; p = 0.016). Moreover, the CD4+ count and HIV-1 plasma viral load (PVL) were also correlated to anomalies such as thrombocytopenia, leucopenia, eosinophils, neutrophils, ESR, potassium, Albumin, globulin, SGOT, uric acid. Studies also found significantly higher absolute neutrophil count, ESR, and serum fasting blood sugar, creatine, uric acid, total bilirubin, globulin, and alkaline phosphatase in HIV-TB co-infected patients.

Conclusion and recommendation: The initial value of Hb, ESR, absolute neutrophil counts, serum calcium, uric acid, and potassium can be used as an early indicator for active tuberculosis (TB) and as a substitute marker for the course of HIV disease, especially in areas with low resources.

Abstract Image

Abstract Image

Abstract Image

新诊断的HIV患者和HIV- tb合并感染患者血液生化特征的演变:与免疫学和病毒学状态的相关性
背景:CD4+细胞、HIV-1血浆病毒载量(PVL)和IFN-γ已被观察到在HIV-1感染者中增加结核病感染/再激活的易感性,导致不寻常的临床表现。HIV-TB合并感染对患者的免疫和病毒学应答具有重要意义,对患者管理构成了巨大的临床挑战。本研究的目的是探讨各种血液学和生化特征与CD4+计数和PVL的相关性,以揭示hiv感染患者TB发展或再激活的机制。方法:在本横断面研究中,我们纳入了200例新诊断的naïve HIV-1感染患者,其中118例合并HIV-TB感染,82例单独HIV-1感染。使用BD FACS计数系统测定CD4+ T计数,使用雅培m2000实时平台估计血浆HIV-1病毒载量。血液生化测试在全自动分析仪ADVIA®560和Cobas®501 Roche Diagnostics上进行。数据分析采用SPSS-2统计软件Spearman相关分析,p值小于0.05为统计学显著。结果:血红蛋白水平下降与CD4计数呈正相关(r = 0.229;p = 0.001),且与HIV-1血浆病毒载量呈负相关(r = -0.171;P = 0.016)。此外,CD4+计数和HIV-1血浆病毒载量(PVL)也与血小板减少、白细胞减少、嗜酸性粒细胞、中性粒细胞、ESR、钾、白蛋白、球蛋白、SGOT、尿酸等异常相关。研究还发现,在HIV-TB合并感染的患者中,绝对中性粒细胞计数、ESR、血清空腹血糖、肌酸、尿酸、总胆红素、球蛋白和碱性磷酸酶明显更高。结论和建议:Hb、ESR、绝对中性粒细胞计数、血清钙、尿酸、钾的初始值可作为活动性结核(TB)的早期指标,并可作为HIV病程的替代标志,特别是在资源匮乏地区。
本文章由计算机程序翻译,如有差异,请以英文原文为准。
求助全文
约1分钟内获得全文 求助全文
来源期刊
CiteScore
16.50
自引率
0.00%
发文量
7
审稿时长
16 weeks
期刊介绍: Immuno Targets and Therapy is an international, peer-reviewed open access journal focusing on the immunological basis of diseases, potential targets for immune based therapy and treatment protocols employed to improve patient management. Basic immunology and physiology of the immune system in health, and disease will be also covered.In addition, the journal will focus on the impact of management programs and new therapeutic agents and protocols on patient perspectives such as quality of life, adherence and satisfaction.
×
引用
GB/T 7714-2015
复制
MLA
复制
APA
复制
导出至
BibTeX EndNote RefMan NoteFirst NoteExpress
×
提示
您的信息不完整,为了账户安全,请先补充。
现在去补充
×
提示
您因"违规操作"
具体请查看互助需知
我知道了
×
提示
确定
请完成安全验证×
copy
已复制链接
快去分享给好友吧!
我知道了
右上角分享
点击右上角分享
0
联系我们:info@booksci.cn Book学术提供免费学术资源搜索服务,方便国内外学者检索中英文文献。致力于提供最便捷和优质的服务体验。 Copyright © 2023 布克学术 All rights reserved.
京ICP备2023020795号-1
ghs 京公网安备 11010802042870号
Book学术文献互助
Book学术文献互助群
群 号:604180095
Book学术官方微信