Low-calorie and high-protein diet has diverse impacts on the muscle, bone, and bone marrow adipose tissues.

IF 2.4 Q2 ENDOCRINOLOGY & METABOLISM
JBMR Plus Pub Date : 2024-11-19 eCollection Date: 2025-01-01 DOI:10.1093/jbmrpl/ziae150
Beatriz Coimbra Romano, Iana Mizumukai de Araújo, Mariana S P Ribeiro, Luciana T Parreiras E Silva, Ingid Dick-de-Paula, Sandra Y Fukada, Felipe Manoel Porto, Vanda Jorgetti, Francisco de Assis Pereira, Lucila Leico Kagohara Elias, Francisco José Albuquerque de Paula
{"title":"Low-calorie and high-protein diet has diverse impacts on the muscle, bone, and bone marrow adipose tissues.","authors":"Beatriz Coimbra Romano, Iana Mizumukai de Araújo, Mariana S P Ribeiro, Luciana T Parreiras E Silva, Ingid Dick-de-Paula, Sandra Y Fukada, Felipe Manoel Porto, Vanda Jorgetti, Francisco de Assis Pereira, Lucila Leico Kagohara Elias, Francisco José Albuquerque de Paula","doi":"10.1093/jbmrpl/ziae150","DOIUrl":null,"url":null,"abstract":"<p><p>The present study was designed to evaluate the influence of a high-protein diet under conditions of calorie restriction (CR) in the muscle, adipose tissue, bone, and marrow adipose tissue (MAT). It included three groups of 20 female Wistar Hannover rats, fed with the following diets for 8 wk: control group (C) fed with an AIN93M diet, CR group (R) fed with an AIN-93M diet modified to 30% CR, and CR + high-protein group (H) fed with an AIN-93M diet modified to 30% CR with 40% protein. Body composition was determined by DXA. The femur was used for histomorphometry and the estimation of adipocytes. Microcomputed tomography (μCT) was employed to analyze the bone structure. Hematopoietic stem cells from the bone marrow were harvested for osteoclastogenesis. Body composition revealed that the gain in lean mass surpassed the increase in fat mass only in the H group. Bone histomorphometry and μCT showed that a high-protein diet did not mitigate CR-induced bone deterioration. In addition, the number of bone marrow adipocytes and the differentiation of hematopoietic stem cells into osteoclasts were higher in H than in the other groups. These results indicated that under CR, a high-protein diet was beneficial for muscle mass. However, as the μCT scanning detected significant bone deterioration, this combined diet might accentuate the detrimental effect on the skeleton caused by CR. Remarkably, the H group rats exhibited greater MAT expansion and elevated hematopoietic stem cell differentiation into osteoclasts than the CR and control counterparts. These data suggest that a high protein may not be an appropriate strategy to preserve bone health under CR conditions.</p>","PeriodicalId":14611,"journal":{"name":"JBMR Plus","volume":"9 1","pages":"ziae150"},"PeriodicalIF":2.4000,"publicationDate":"2024-11-19","publicationTypes":"Journal Article","fieldsOfStudy":null,"isOpenAccess":false,"openAccessPdf":"https://www.ncbi.nlm.nih.gov/pmc/articles/PMC11646085/pdf/","citationCount":"0","resultStr":null,"platform":"Semanticscholar","paperid":null,"PeriodicalName":"JBMR Plus","FirstCategoryId":"1085","ListUrlMain":"https://doi.org/10.1093/jbmrpl/ziae150","RegionNum":0,"RegionCategory":null,"ArticlePicture":[],"TitleCN":null,"AbstractTextCN":null,"PMCID":null,"EPubDate":"2025/1/1 0:00:00","PubModel":"eCollection","JCR":"Q2","JCRName":"ENDOCRINOLOGY & METABOLISM","Score":null,"Total":0}
引用次数: 0

Abstract

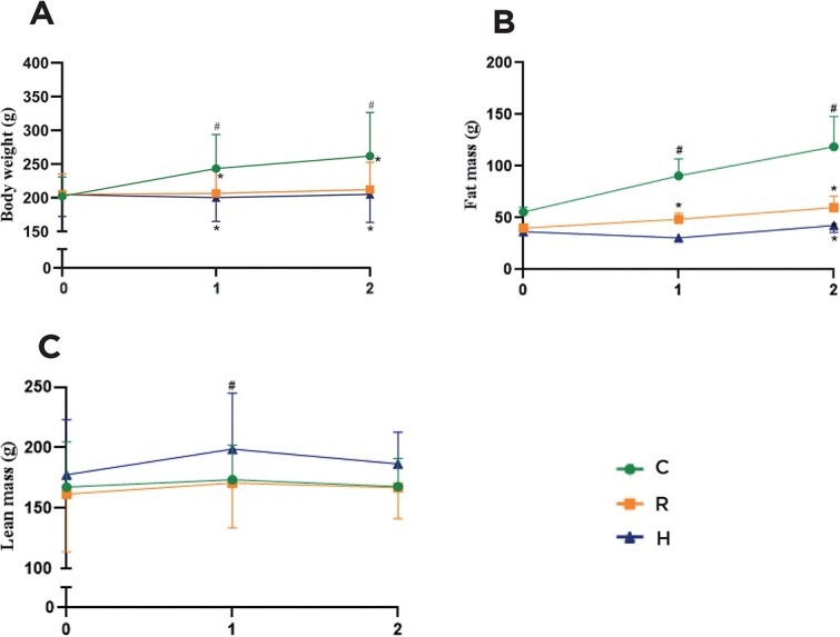
The present study was designed to evaluate the influence of a high-protein diet under conditions of calorie restriction (CR) in the muscle, adipose tissue, bone, and marrow adipose tissue (MAT). It included three groups of 20 female Wistar Hannover rats, fed with the following diets for 8 wk: control group (C) fed with an AIN93M diet, CR group (R) fed with an AIN-93M diet modified to 30% CR, and CR + high-protein group (H) fed with an AIN-93M diet modified to 30% CR with 40% protein. Body composition was determined by DXA. The femur was used for histomorphometry and the estimation of adipocytes. Microcomputed tomography (μCT) was employed to analyze the bone structure. Hematopoietic stem cells from the bone marrow were harvested for osteoclastogenesis. Body composition revealed that the gain in lean mass surpassed the increase in fat mass only in the H group. Bone histomorphometry and μCT showed that a high-protein diet did not mitigate CR-induced bone deterioration. In addition, the number of bone marrow adipocytes and the differentiation of hematopoietic stem cells into osteoclasts were higher in H than in the other groups. These results indicated that under CR, a high-protein diet was beneficial for muscle mass. However, as the μCT scanning detected significant bone deterioration, this combined diet might accentuate the detrimental effect on the skeleton caused by CR. Remarkably, the H group rats exhibited greater MAT expansion and elevated hematopoietic stem cell differentiation into osteoclasts than the CR and control counterparts. These data suggest that a high protein may not be an appropriate strategy to preserve bone health under CR conditions.

Abstract Image

Abstract Image

Abstract Image

低热量和高蛋白饮食对肌肉、骨骼和骨髓脂肪组织有不同的影响。
本研究旨在评估卡路里限制(CR)条件下高蛋白饮食对肌肉、脂肪组织、骨骼和骨髓脂肪组织(MAT)的影响。该研究包括三组共 20 只雌性 Wistar 汉诺威大鼠,用以下食物喂养 8 周:用 AIN93M 食物喂养的对照组(C)、用 AIN-93M 食物喂养的 CR 组(R)和用 AIN-93M 食物喂养的 CR + 高蛋白组(H),前者用 AIN-93M 食物喂养,后者用 AIN-93M 食物喂养,前者用 AIN-93M 食物喂养,后者用 AIN-93M 食物喂养,前者用 30% 的 CR,后者用 40% 的蛋白质。通过 DXA 测定身体成分。股骨用于组织形态测量和脂肪细胞的估计。显微计算机断层扫描(μCT)用于分析骨骼结构。从骨髓中提取造血干细胞用于破骨细胞生成。身体成分显示,只有 H 组的瘦体重增加超过了脂肪的增加。骨骼组织形态计量学和μCT显示,高蛋白饮食并不能缓解CR引起的骨骼退化。此外,H 组的骨髓脂肪细胞数量和造血干细胞向破骨细胞的分化均高于其他组。这些结果表明,在 CR 条件下,高蛋白饮食对肌肉质量有益。然而,由于μCT扫描发现骨质明显退化,这种联合饮食可能会加剧CR对骨骼造成的不利影响。值得注意的是,与 CR 组和对照组相比,H 组大鼠表现出更大的 MAT 扩张和造血干细胞向破骨细胞的分化。这些数据表明,在 CR 条件下,高蛋白可能不是保护骨骼健康的适当策略。
本文章由计算机程序翻译,如有差异,请以英文原文为准。
求助全文
约1分钟内获得全文 求助全文
来源期刊
JBMR Plus
JBMR Plus Medicine-Orthopedics and Sports Medicine
CiteScore
5.80
自引率
2.60%
发文量
103
审稿时长
8 weeks
×
引用
GB/T 7714-2015
复制
MLA
复制
APA
复制
导出至
BibTeX EndNote RefMan NoteFirst NoteExpress
×
提示
您的信息不完整,为了账户安全,请先补充。
现在去补充
×
提示
您因"违规操作"
具体请查看互助需知
我知道了
×
提示
确定
请完成安全验证×
copy
已复制链接
快去分享给好友吧!
我知道了
右上角分享
点击右上角分享
0
联系我们:info@booksci.cn Book学术提供免费学术资源搜索服务,方便国内外学者检索中英文文献。致力于提供最便捷和优质的服务体验。 Copyright © 2023 布克学术 All rights reserved.
京ICP备2023020795号-1
ghs 京公网安备 11010802042870号
Book学术文献互助
Book学术文献互助群
群 号:604180095
Book学术官方微信