Sex-specific outcomes in acute myocardial infarction-associated cardiogenic shock treated with and without V-A ECMO: a retrospective German nationwide analysis from 2014 to 2018.

IF 1.5 4区 医学 Q3 CARDIAC & CARDIOVASCULAR SYSTEMS
Heart and Vessels Pub Date : 2025-07-01 Epub Date: 2024-12-14 DOI:10.1007/s00380-024-02509-z
Hendrik Willem Beckmeyer, Jannik Feld, Jeanette Köppe, Andreas Faldum, Patrik Dröge, Thomas Ruhnke, Christian Günster, Holger Reinecke, Jan-Sören Padberg
{"title":"Sex-specific outcomes in acute myocardial infarction-associated cardiogenic shock treated with and without V-A ECMO: a retrospective German nationwide analysis from 2014 to 2018.","authors":"Hendrik Willem Beckmeyer, Jannik Feld, Jeanette Köppe, Andreas Faldum, Patrik Dröge, Thomas Ruhnke, Christian Günster, Holger Reinecke, Jan-Sören Padberg","doi":"10.1007/s00380-024-02509-z","DOIUrl":null,"url":null,"abstract":"<p><p>Acute myocardial infarction-associated cardiogenic shock (AMICS) remains a condition with high mortality. Some patients require mechanical circulatory support (MCS) as their condition deteriorates. Sex-specific differences in risk factors and outcomes of cardiovascular disease have previously been described but are inconclusive regarding the use of MCS in AMICS. We aimed to investigate these with a focus on long-term outcomes. Health claim data from AOK - Die Gesundheitskasse (local health care funds) for patients hospitalized with AMICS between January 1, 2014, and December 31, 2015, was descriptively analyzed. Then, a Cox proportional hazards model was used to adjust for confounders. We analyzed 10,023 patients, of which 477 (4.8%) were treated with veno-arterial extra-corporeal membrane oxygenation (V-A ECMO). In-hospital mortality was high, but similar between treatments (V-A ECMO 59.1%, no V-A ECMO 56.6%). Women had a higher median age (78.9 years, IQR 13.8 vs. 71.8 years, IQR 17.9; p < 0.001), a different cardiovascular risk profile and in the conservatively treated patients underwent revascularization less often (69.2% vs. 77.1%; p < 0.001) than men did. In a multivariate analysis, female sex was not associated with lower survival (HR 1.03, CI 0.98-1.09; p = 0.233). V-A ECMO, however, was associated with lower survival in both sexes. We observed a low overall survival in follow-up after three years (no V-A ECMO: men 28.9% vs. women 21.7%, V-A ECMO: men 18.2% vs. women 17.0%). In conclusion, women with AMICS presented with a different risk profile, especially a higher age, and underwent guideline-recommended therapies such as revascularization less often than men. Female sex, however, was not associated with lower survival in a multivariate analysis. In-hospital mortality was high, regardless of treatment, and V-A ECMO was associated with lower survival in follow-up.</p>","PeriodicalId":12940,"journal":{"name":"Heart and Vessels","volume":" ","pages":"559-569"},"PeriodicalIF":1.5000,"publicationDate":"2025-07-01","publicationTypes":"Journal Article","fieldsOfStudy":null,"isOpenAccess":false,"openAccessPdf":"https://www.ncbi.nlm.nih.gov/pmc/articles/PMC12166010/pdf/","citationCount":"0","resultStr":null,"platform":"Semanticscholar","paperid":null,"PeriodicalName":"Heart and Vessels","FirstCategoryId":"3","ListUrlMain":"https://doi.org/10.1007/s00380-024-02509-z","RegionNum":4,"RegionCategory":"医学","ArticlePicture":[],"TitleCN":null,"AbstractTextCN":null,"PMCID":null,"EPubDate":"2024/12/14 0:00:00","PubModel":"Epub","JCR":"Q3","JCRName":"CARDIAC & CARDIOVASCULAR SYSTEMS","Score":null,"Total":0}
引用次数: 0

Abstract

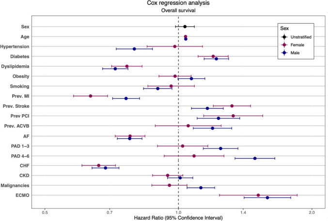
Acute myocardial infarction-associated cardiogenic shock (AMICS) remains a condition with high mortality. Some patients require mechanical circulatory support (MCS) as their condition deteriorates. Sex-specific differences in risk factors and outcomes of cardiovascular disease have previously been described but are inconclusive regarding the use of MCS in AMICS. We aimed to investigate these with a focus on long-term outcomes. Health claim data from AOK - Die Gesundheitskasse (local health care funds) for patients hospitalized with AMICS between January 1, 2014, and December 31, 2015, was descriptively analyzed. Then, a Cox proportional hazards model was used to adjust for confounders. We analyzed 10,023 patients, of which 477 (4.8%) were treated with veno-arterial extra-corporeal membrane oxygenation (V-A ECMO). In-hospital mortality was high, but similar between treatments (V-A ECMO 59.1%, no V-A ECMO 56.6%). Women had a higher median age (78.9 years, IQR 13.8 vs. 71.8 years, IQR 17.9; p < 0.001), a different cardiovascular risk profile and in the conservatively treated patients underwent revascularization less often (69.2% vs. 77.1%; p < 0.001) than men did. In a multivariate analysis, female sex was not associated with lower survival (HR 1.03, CI 0.98-1.09; p = 0.233). V-A ECMO, however, was associated with lower survival in both sexes. We observed a low overall survival in follow-up after three years (no V-A ECMO: men 28.9% vs. women 21.7%, V-A ECMO: men 18.2% vs. women 17.0%). In conclusion, women with AMICS presented with a different risk profile, especially a higher age, and underwent guideline-recommended therapies such as revascularization less often than men. Female sex, however, was not associated with lower survival in a multivariate analysis. In-hospital mortality was high, regardless of treatment, and V-A ECMO was associated with lower survival in follow-up.

Abstract Image

Abstract Image

接受和不接受V-A ECMO治疗的急性心肌梗死相关心源性休克的性别特异性结局:2014年至2018年德国全国回顾性分析
急性心肌梗死相关性心源性休克(AMICS)仍然是一种高死亡率的疾病。一些患者需要机械循环支持(MCS),因为他们的病情恶化。以前已经描述了心血管疾病危险因素和结局的性别特异性差异,但对于在AMICS中使用MCS尚无定论。我们的目的是研究这些问题的长期结果。对2014年1月1日至2015年12月31日期间住院的AMICS患者的AOK - Die Gesundheitskasse(当地卫生保健基金)的健康索赔数据进行描述性分析。然后,采用Cox比例风险模型对混杂因素进行校正。我们分析了10023例患者,其中477例(4.8%)接受了静脉-动脉体外膜氧合(V-A ECMO)治疗。住院死亡率高,但治疗间相似(V-A ECMO为59.1%,无V-A ECMO为56.6%)。女性的中位年龄较高(78.9岁,IQR为13.8比71.8岁,IQR为17.9;p
本文章由计算机程序翻译,如有差异,请以英文原文为准。
求助全文
约1分钟内获得全文 求助全文
来源期刊
Heart and Vessels
Heart and Vessels 医学-外周血管病
CiteScore
3.10
自引率
13.30%
发文量
211
审稿时长
2 months
期刊介绍: Heart and Vessels is an English-language journal that provides a forum of original ideas, excellent methods, and fascinating techniques on cardiovascular disease fields. All papers submitted for publication are evaluated only with regard to scientific quality and relevance to the heart and vessels. Contributions from those engaged in practical medicine, as well as from those involved in basic research, are welcomed.
×
引用
GB/T 7714-2015
复制
MLA
复制
APA
复制
导出至
BibTeX EndNote RefMan NoteFirst NoteExpress
×
提示
您的信息不完整,为了账户安全,请先补充。
现在去补充
×
提示
您因"违规操作"
具体请查看互助需知
我知道了
×
提示
确定
请完成安全验证×
copy
已复制链接
快去分享给好友吧!
我知道了
右上角分享
点击右上角分享
0
联系我们:info@booksci.cn Book学术提供免费学术资源搜索服务,方便国内外学者检索中英文文献。致力于提供最便捷和优质的服务体验。 Copyright © 2023 布克学术 All rights reserved.
京ICP备2023020795号-1
ghs 京公网安备 11010802042870号
Book学术文献互助
Book学术文献互助群
群 号:604180095
Book学术官方微信