Exploring the Neuroprotective Effects of Rufinamide in a Streptozotocin-Induced Dementia Model.

IF 4.8 4区 医学 Q3 CELL BIOLOGY
Darshpreet Kaur, Amarjot Kaur Grewal, Dalia Fouad, Amit Kumar, Varinder Singh, Athanasios Alexiou, Marios Papadakis, Gaber El-Saber Batiha, Nermeen N Welson, Thakur Gurjeet Singh
{"title":"Exploring the Neuroprotective Effects of Rufinamide in a Streptozotocin-Induced Dementia Model.","authors":"Darshpreet Kaur, Amarjot Kaur Grewal, Dalia Fouad, Amit Kumar, Varinder Singh, Athanasios Alexiou, Marios Papadakis, Gaber El-Saber Batiha, Nermeen N Welson, Thakur Gurjeet Singh","doi":"10.1007/s10571-024-01521-1","DOIUrl":null,"url":null,"abstract":"<p><p>Due to the complex pathophysiology of AD (Alzheimer's Disease), there are currently no effective clinical treatments available, except for acetylcholinesterase inhibitors. However, CREB (cyclic AMP-responsive element binding protein) has been identified as the critical factor for the transcription in memory formation. Understanding the effect of potential drugs on the CREB pathway could lead to the development of new therapeutic molecules. Rufinamide has shown promise in improving memory in animal models, and these effects may be associated with modulation of the CREB pathway, however, this has not been previously reported. Thus, the present study aimed to determine the involvement of the CREB pathway in the cognitive improvement effects of rufinamide in STZ (streptozotocin) induced mouse model of dementia. Administration of STZ [3 mg/kg, i.c.v. (intracerebroventricular) bilaterally] significantly impaired cognitive performance in step-down passive avoidance and Morris water maze tests in animals, reduced brain endogenous antioxidant levels (GSH, superoxide dismutase, and catalase), and increased marker of brain oxidative stress [TBARS (thiobarbituric acid reactive substances)] and inflammation [IL-1β (Interleukin-1 beta), IL-6 (Interleukin-6), TNF-α (Tumor necrosis factor alpha) and NF-κB (Nuclear factor kappa B)], along with neurodegeneration. These effects were markedly reversed by rufinamide (50 and 100 mg/kg) when administered to STZ animals. However, the pre-treatment with the CREB inhibitor (666-15) in STZ and rufinamide-administered animals neutralized the beneficial influence of rufinamide. Our data suggest that rufinamide, acting via CREB signaling, reduced oxidative stress and inflammatory markers while elevating anti-oxidant levels. Our study has established that rufinamide may act through CREB signaling in an investigational AD model, which could be crucial for developing new treatments beneficial in progressive neurological disorders.</p>","PeriodicalId":9742,"journal":{"name":"Cellular and Molecular Neurobiology","volume":"45 1","pages":"4"},"PeriodicalIF":4.8000,"publicationDate":"2024-12-11","publicationTypes":"Journal Article","fieldsOfStudy":null,"isOpenAccess":false,"openAccessPdf":"https://www.ncbi.nlm.nih.gov/pmc/articles/PMC11634951/pdf/","citationCount":"0","resultStr":null,"platform":"Semanticscholar","paperid":null,"PeriodicalName":"Cellular and Molecular Neurobiology","FirstCategoryId":"3","ListUrlMain":"https://doi.org/10.1007/s10571-024-01521-1","RegionNum":4,"RegionCategory":"医学","ArticlePicture":[],"TitleCN":null,"AbstractTextCN":null,"PMCID":null,"EPubDate":"","PubModel":"","JCR":"Q3","JCRName":"CELL BIOLOGY","Score":null,"Total":0}
引用次数: 0

Abstract

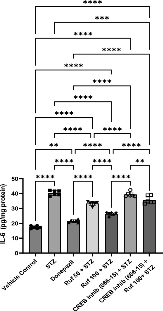
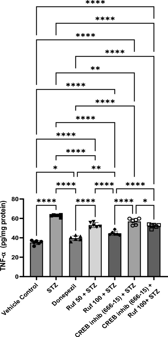
Due to the complex pathophysiology of AD (Alzheimer's Disease), there are currently no effective clinical treatments available, except for acetylcholinesterase inhibitors. However, CREB (cyclic AMP-responsive element binding protein) has been identified as the critical factor for the transcription in memory formation. Understanding the effect of potential drugs on the CREB pathway could lead to the development of new therapeutic molecules. Rufinamide has shown promise in improving memory in animal models, and these effects may be associated with modulation of the CREB pathway, however, this has not been previously reported. Thus, the present study aimed to determine the involvement of the CREB pathway in the cognitive improvement effects of rufinamide in STZ (streptozotocin) induced mouse model of dementia. Administration of STZ [3 mg/kg, i.c.v. (intracerebroventricular) bilaterally] significantly impaired cognitive performance in step-down passive avoidance and Morris water maze tests in animals, reduced brain endogenous antioxidant levels (GSH, superoxide dismutase, and catalase), and increased marker of brain oxidative stress [TBARS (thiobarbituric acid reactive substances)] and inflammation [IL-1β (Interleukin-1 beta), IL-6 (Interleukin-6), TNF-α (Tumor necrosis factor alpha) and NF-κB (Nuclear factor kappa B)], along with neurodegeneration. These effects were markedly reversed by rufinamide (50 and 100 mg/kg) when administered to STZ animals. However, the pre-treatment with the CREB inhibitor (666-15) in STZ and rufinamide-administered animals neutralized the beneficial influence of rufinamide. Our data suggest that rufinamide, acting via CREB signaling, reduced oxidative stress and inflammatory markers while elevating anti-oxidant levels. Our study has established that rufinamide may act through CREB signaling in an investigational AD model, which could be crucial for developing new treatments beneficial in progressive neurological disorders.

Abstract Image

Abstract Image

Abstract Image

鲁非那胺在链脲佐菌素诱发痴呆模型中的神经保护作用。
由于AD(阿尔茨海默病)复杂的病理生理,目前除了使用乙酰胆碱酯酶抑制剂外,尚无有效的临床治疗方法。然而,CREB(环amp响应元件结合蛋白)已被确定为记忆形成过程中转录的关键因素。了解潜在药物对CREB通路的影响可能会导致新的治疗分子的发展。鲁非胺在动物模型中显示出改善记忆的希望,这些效果可能与CREB通路的调节有关,然而,这在以前没有报道过。因此,本研究旨在确定CREB通路参与rufinamide在STZ(链脲佐菌素)诱导的痴呆小鼠模型中的认知改善作用。STZ [3 mg/kg,双侧脑室内灌注]显著降低动物在被动回避和Morris水迷宫实验中的认知能力,降低脑内源性抗氧化水平(GSH、超氧化物歧化酶和过氧化氢酶),增加脑氧化应激[TBARS(硫代巴比妥酸反应物质)]和炎症[IL-1β(白细胞介素-1β)、IL-6(白细胞介素-6),TNF-α(肿瘤坏死因子α)和NF-κB(核因子κB)],伴神经退行性变。当给STZ动物服用50和100 mg/kg鲁非胺时,这些作用明显逆转。然而,用CREB抑制剂(666-15)预处理STZ和鲁非那胺给药的动物,抵消了鲁非那胺的有益影响。我们的数据表明,rufinamide通过CREB信号传导作用,降低氧化应激和炎症标志物,同时提高抗氧化水平。我们的研究已经确定,rufinamide可能在研究性AD模型中通过CREB信号传导起作用,这对于开发对进行性神经疾病有益的新疗法至关重要。
本文章由计算机程序翻译,如有差异,请以英文原文为准。
求助全文
约1分钟内获得全文 求助全文
来源期刊
CiteScore
7.70
自引率
0.00%
发文量
137
审稿时长
4-8 weeks
期刊介绍: Cellular and Molecular Neurobiology publishes original research concerned with the analysis of neuronal and brain function at the cellular and subcellular levels. The journal offers timely, peer-reviewed articles that describe anatomic, genetic, physiologic, pharmacologic, and biochemical approaches to the study of neuronal function and the analysis of elementary mechanisms. Studies are presented on isolated mammalian tissues and intact animals, with investigations aimed at the molecular mechanisms or neuronal responses at the level of single cells. Cellular and Molecular Neurobiology also presents studies of the effects of neurons on other organ systems, such as analysis of the electrical or biochemical response to neurotransmitters or neurohormones on smooth muscle or gland cells.
×
引用
GB/T 7714-2015
复制
MLA
复制
APA
复制
导出至
BibTeX EndNote RefMan NoteFirst NoteExpress
×
提示
您的信息不完整,为了账户安全,请先补充。
现在去补充
×
提示
您因"违规操作"
具体请查看互助需知
我知道了
×
提示
确定
请完成安全验证×
copy
已复制链接
快去分享给好友吧!
我知道了
右上角分享
点击右上角分享
0
联系我们:info@booksci.cn Book学术提供免费学术资源搜索服务,方便国内外学者检索中英文文献。致力于提供最便捷和优质的服务体验。 Copyright © 2023 布克学术 All rights reserved.
京ICP备2023020795号-1
ghs 京公网安备 11010802042870号
Book学术文献互助
Book学术文献互助群
群 号:604180095
Book学术官方微信