Radiological predictors of PCP in HIV-positive adults in South Africa: A matched case-control study.

IF 2.3
Southern African journal of HIV medicine Pub Date : 2024-11-08 eCollection Date: 2024-01-01 DOI:10.4102/sajhivmed.v25i1.1636
Nicola K Wills, Jared Tavares, Qonita Said-Hartley, Sean Wasserman
{"title":"Radiological predictors of PCP in HIV-positive adults in South Africa: A matched case-control study.","authors":"Nicola K Wills, Jared Tavares, Qonita Said-Hartley, Sean Wasserman","doi":"10.4102/sajhivmed.v25i1.1636","DOIUrl":null,"url":null,"abstract":"<p><strong>Background: </strong>Definition of chest X-ray (CXR) features associated with laboratory-confirmed pneumocystis pneumonia (PCP) among HIV-positive adults is needed to improve diagnosis in high-burden settings.</p><p><strong>Objectives: </strong>Our primary objective was to identify CXR features associated with confirmed PCP diagnosis and severe PCP (defined by hypoxia, intensive care unit referral/admission, and/or in-hospital death). We also explored the performance of logistic regression models, incorporating selected clinical and CXR predictors, for PCP diagnosis and severe PCP.</p><p><strong>Method: </strong>We conducted a case-control study involving HIV-positive adults with laboratory-confirmed PCP and a matched cohort with non-PCP respiratory presentations at regional hospitals in Cape Town, South Africa (2012-2020).</p><p><strong>Results: </strong>Records from 104 adults (52 PCP cases and 52 non-PCP controls) were included. Diffuse versus patchy ground-glass opacification was associated with increased odds of PCP diagnosis (adjusted odds ratio [aOR]: 6.2, 95% confidence interval [CI]: 1.6-28.9, <i>P</i> = 0.01) and severe PCP (aOR: 4.5, 95% CI: 1.6-14.4, <i>P</i> = 0.008). Consolidation was associated with severe PCP (aOR: 3.3, 95% CI: 1.2-11.0, <i>P</i> = 0.03) as was increasing ground-glass zone involvement (aOR: 2.1 for each one-unit increase in involved zone; 95% CI: 1.4-3.2, <i>P</i> = 0.0004). Models incorporating hypoxia (hypoxia model) or tachypnoea (respiratory rate model) with diffuse ground-glass opacities, absence of pleural effusion or reticular/reticulonodular changes on CXR performed well in predicting PCP (area under the receiver operating characteristic curve 0.828 [hypoxia model] and 0.857 [respiratory rate model]).</p><p><strong>Conclusion: </strong>CXR evaluation alongside bedside clinical information offers good accuracy for discriminating definite PCP from other HIV-associated respiratory diseases.</p>","PeriodicalId":94212,"journal":{"name":"Southern African journal of HIV medicine","volume":"25 1","pages":"1636"},"PeriodicalIF":2.3000,"publicationDate":"2024-11-08","publicationTypes":"Journal Article","fieldsOfStudy":null,"isOpenAccess":false,"openAccessPdf":"https://www.ncbi.nlm.nih.gov/pmc/articles/PMC11622136/pdf/","citationCount":"0","resultStr":null,"platform":"Semanticscholar","paperid":null,"PeriodicalName":"Southern African journal of HIV medicine","FirstCategoryId":"1085","ListUrlMain":"https://doi.org/10.4102/sajhivmed.v25i1.1636","RegionNum":0,"RegionCategory":null,"ArticlePicture":[],"TitleCN":null,"AbstractTextCN":null,"PMCID":null,"EPubDate":"2024/1/1 0:00:00","PubModel":"eCollection","JCR":"","JCRName":"","Score":null,"Total":0}
引用次数: 0

Abstract

Background: Definition of chest X-ray (CXR) features associated with laboratory-confirmed pneumocystis pneumonia (PCP) among HIV-positive adults is needed to improve diagnosis in high-burden settings.

Objectives: Our primary objective was to identify CXR features associated with confirmed PCP diagnosis and severe PCP (defined by hypoxia, intensive care unit referral/admission, and/or in-hospital death). We also explored the performance of logistic regression models, incorporating selected clinical and CXR predictors, for PCP diagnosis and severe PCP.

Method: We conducted a case-control study involving HIV-positive adults with laboratory-confirmed PCP and a matched cohort with non-PCP respiratory presentations at regional hospitals in Cape Town, South Africa (2012-2020).

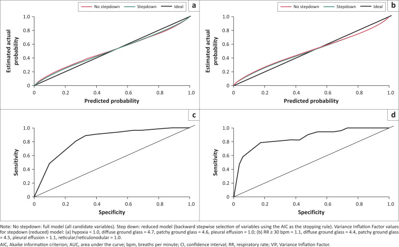
Results: Records from 104 adults (52 PCP cases and 52 non-PCP controls) were included. Diffuse versus patchy ground-glass opacification was associated with increased odds of PCP diagnosis (adjusted odds ratio [aOR]: 6.2, 95% confidence interval [CI]: 1.6-28.9, P = 0.01) and severe PCP (aOR: 4.5, 95% CI: 1.6-14.4, P = 0.008). Consolidation was associated with severe PCP (aOR: 3.3, 95% CI: 1.2-11.0, P = 0.03) as was increasing ground-glass zone involvement (aOR: 2.1 for each one-unit increase in involved zone; 95% CI: 1.4-3.2, P = 0.0004). Models incorporating hypoxia (hypoxia model) or tachypnoea (respiratory rate model) with diffuse ground-glass opacities, absence of pleural effusion or reticular/reticulonodular changes on CXR performed well in predicting PCP (area under the receiver operating characteristic curve 0.828 [hypoxia model] and 0.857 [respiratory rate model]).

Conclusion: CXR evaluation alongside bedside clinical information offers good accuracy for discriminating definite PCP from other HIV-associated respiratory diseases.

Abstract Image

Abstract Image

Abstract Image

南非hiv阳性成人PCP的放射学预测因素:一项匹配的病例对照研究。
背景:需要对hiv阳性成人中实验室确诊肺囊虫性肺炎(PCP)相关的胸部x线(CXR)特征进行定义,以提高高负担环境下的诊断水平。目的:我们的主要目的是确定与PCP确诊和严重PCP(定义为缺氧、重症监护病房转诊/入院和/或院内死亡)相关的CXR特征。我们还探讨了逻辑回归模型的性能,包括选定的临床和CXR预测因子,用于PCP诊断和严重PCP。方法:2012-2020年,我们在南非开普敦地区医院进行了一项病例对照研究,纳入了实验室确诊的PCP成人hiv阳性患者和非PCP呼吸道症状的匹配队列。结果:纳入了104例成人(52例PCP病例和52例非PCP对照)的记录。弥漫性与斑片状磨玻璃混浊与PCP诊断的几率增加相关(调整优势比[aOR]: 6.2, 95%可信区间[CI]: 1.6-28.9, P = 0.01)和严重PCP (aOR: 4.5, 95% CI: 1.6-14.4, P = 0.008)。实变与严重PCP (aOR: 3.3, 95% CI: 1.2-11.0, P = 0.03)以及磨玻璃区受累增加相关(受累区每增加一个单位的aOR: 2.1;95% ci: 1.4-3.2, p = 0.0004)。合并缺氧(缺氧模型)或呼吸急促(呼吸速率模型)伴弥漫性毛玻璃样混浊、胸膜积液缺失或CXR上网状/网状结节改变的模型对PCP的预测效果较好(受者工作特征曲线下面积0.828[缺氧模型]和0.857[呼吸速率模型])。结论:结合床边临床信息的CXR评价对明确PCP与其他hiv相关呼吸系统疾病的鉴别具有较好的准确性。
本文章由计算机程序翻译,如有差异,请以英文原文为准。
求助全文
约1分钟内获得全文 求助全文
来源期刊
自引率
0.00%
发文量
0
×
引用
GB/T 7714-2015
复制
MLA
复制
APA
复制
导出至
BibTeX EndNote RefMan NoteFirst NoteExpress
×
提示
您的信息不完整,为了账户安全,请先补充。
现在去补充
×
提示
您因"违规操作"
具体请查看互助需知
我知道了
×
提示
确定
请完成安全验证×
copy
已复制链接
快去分享给好友吧!
我知道了
右上角分享
点击右上角分享
0
联系我们:info@booksci.cn Book学术提供免费学术资源搜索服务,方便国内外学者检索中英文文献。致力于提供最便捷和优质的服务体验。 Copyright © 2023 布克学术 All rights reserved.
京ICP备2023020795号-1
ghs 京公网安备 11010802042870号
Book学术文献互助
Book学术文献互助群
群 号:604180095
Book学术官方微信