Advanced trauma life support training outcomes in Saudi Arabia: a four-year multicenter analysis of influential characteristics and factors (2019-2023).

Annals of Saudi medicine Pub Date : 2024-11-01 Epub Date: 2024-12-05 DOI:10.5144/0256-4947.2024.394
Fayez G Aldarsouni, Hani Alkhulaiwi, Hosam Alruwaite, Shara Alsubaie, Faye Abdulkareem, Norah Alsuabie
{"title":"Advanced trauma life support training outcomes in Saudi Arabia: a four-year multicenter analysis of influential characteristics and factors (2019-2023).","authors":"Fayez G Aldarsouni, Hani Alkhulaiwi, Hosam Alruwaite, Shara Alsubaie, Faye Abdulkareem, Norah Alsuabie","doi":"10.5144/0256-4947.2024.394","DOIUrl":null,"url":null,"abstract":"<p><strong>Background: </strong>The prevalence of trauma necessitates effective training for healthcare providers in Saudi Arabia. The Advanced Trauma Life Support (ATLS) program is pivotal, yet localized success rate data are lacking.</p><p><strong>Objectives: </strong>Determine the failure rate and identify factors influencing ATLS course success rates among physicianss in Saudi Arabia.</p><p><strong>Design: </strong>A retrospective cohort.</p><p><strong>Setting: </strong>Two major accredited ATLS training centers in Riyadh.</p><p><strong>Patients and methods: </strong>Participants who completed ATLS training at the Trauma Courses Office at the Ministry of National Guard Health Affairs from January 2019 to December 2020, and at the Clinical Skills and Simulation Center at King Saud University Medical City from December 2020 through January 2023. Particpitants were grouped as interns and all physicians other than interns, for the purpose of analysis.</p><p><strong>Main outcome measures: </strong>Success and failure rates were the primary outcomes, with failure identified as a score of less than 75% or below standard performance in the practical session.</p><p><strong>Sample size: </strong>603.</p><p><strong>Results: </strong>The overall failure rate for the ATLS courses was 36.6%. Analysis revealed age, pre-test scores, and attendance at a refresher course as significant predictors of success. Specifically, general practitioners and OMFS specialists had a higher odds of failing, while general surgeons and trauma-related specialties consultants were more likely to succeed.</p><p><strong>Conclusion: </strong>ATLS course failure is notably high, with specific specialties and levels demonstrating increased risk. Results indicate a need for tailored pre-course preparation and an extension of the course duration for less experienced participants to improve proficiency, especially for at-risk groups.</p><p><strong>Limitations: </strong>Retrospective design and other variables, such as emotional status, level of instructors, and level of motivation.</p>","PeriodicalId":93875,"journal":{"name":"Annals of Saudi medicine","volume":"44 6","pages":"394-407"},"PeriodicalIF":0.0000,"publicationDate":"2024-11-01","publicationTypes":"Journal Article","fieldsOfStudy":null,"isOpenAccess":false,"openAccessPdf":"https://www.ncbi.nlm.nih.gov/pmc/articles/PMC11627048/pdf/","citationCount":"0","resultStr":null,"platform":"Semanticscholar","paperid":null,"PeriodicalName":"Annals of Saudi medicine","FirstCategoryId":"1085","ListUrlMain":"https://doi.org/10.5144/0256-4947.2024.394","RegionNum":0,"RegionCategory":null,"ArticlePicture":[],"TitleCN":null,"AbstractTextCN":null,"PMCID":null,"EPubDate":"2024/12/5 0:00:00","PubModel":"Epub","JCR":"","JCRName":"","Score":null,"Total":0}
引用次数: 0

Abstract

Background: The prevalence of trauma necessitates effective training for healthcare providers in Saudi Arabia. The Advanced Trauma Life Support (ATLS) program is pivotal, yet localized success rate data are lacking.

Objectives: Determine the failure rate and identify factors influencing ATLS course success rates among physicianss in Saudi Arabia.

Design: A retrospective cohort.

Setting: Two major accredited ATLS training centers in Riyadh.

Patients and methods: Participants who completed ATLS training at the Trauma Courses Office at the Ministry of National Guard Health Affairs from January 2019 to December 2020, and at the Clinical Skills and Simulation Center at King Saud University Medical City from December 2020 through January 2023. Particpitants were grouped as interns and all physicians other than interns, for the purpose of analysis.

Main outcome measures: Success and failure rates were the primary outcomes, with failure identified as a score of less than 75% or below standard performance in the practical session.

Sample size: 603.

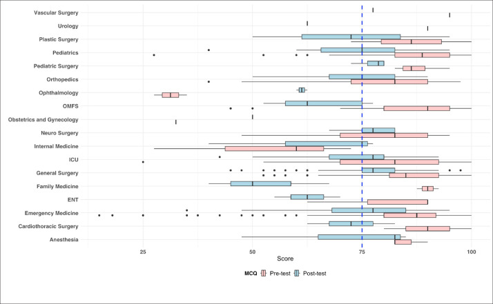
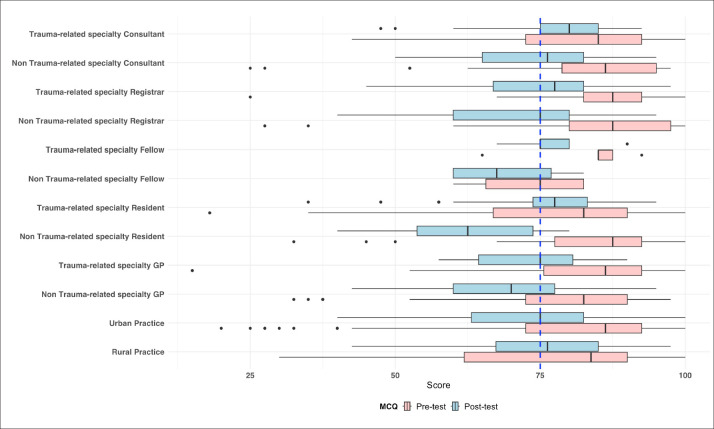
Results: The overall failure rate for the ATLS courses was 36.6%. Analysis revealed age, pre-test scores, and attendance at a refresher course as significant predictors of success. Specifically, general practitioners and OMFS specialists had a higher odds of failing, while general surgeons and trauma-related specialties consultants were more likely to succeed.

Conclusion: ATLS course failure is notably high, with specific specialties and levels demonstrating increased risk. Results indicate a need for tailored pre-course preparation and an extension of the course duration for less experienced participants to improve proficiency, especially for at-risk groups.

Limitations: Retrospective design and other variables, such as emotional status, level of instructors, and level of motivation.

Abstract Image

Abstract Image

Abstract Image

沙特阿拉伯晚期创伤生命支持培训结果:影响特征和因素的四年多中心分析(2019-2023)
背景:创伤的流行需要对沙特阿拉伯的医疗保健提供者进行有效的培训。高级创伤生命支持(ATLS)项目至关重要,但缺乏本地化的成功率数据。目的:确定沙特阿拉伯医师ATLS课程失败率,并确定影响ATLS课程成功率的因素。设计:回顾性队列研究。设置:两个主要认可的ATLS培训中心在利雅得。患者和方法:参与者于2019年1月至2020年12月在国民警卫队卫生事务部创伤课程办公室完成了ATLS培训,并于2020年12月至2023年1月在沙特国王大学医学城临床技能和模拟中心完成了ATLS培训。为了分析的目的,参与者被分为实习生和除实习生以外的所有医生。主要结果测量:成功率和失败率是主要结果,失败被认为是在实际会话中得分低于75%或低于标准表现。样本量:603。结果:ATLS课程总不合格率为36.6%。分析显示,年龄、考前成绩和参加进修课程是成功的重要预测因素。具体来说,全科医生和OMFS专家失败的几率更高,而普通外科医生和创伤相关专业顾问更有可能成功。结论:ATLS课程失败率明显高,特定专业和水平显示风险增加。结果表明,需要为经验不足的参与者量身定制课前准备,并延长课程时间,以提高熟练程度,特别是对高危群体。局限性:回顾性设计和其他变量,如情绪状态、教师水平和动机水平。
本文章由计算机程序翻译,如有差异,请以英文原文为准。
求助全文
约1分钟内获得全文 求助全文
来源期刊
自引率
0.00%
发文量
0
×
引用
GB/T 7714-2015
复制
MLA
复制
APA
复制
导出至
BibTeX EndNote RefMan NoteFirst NoteExpress
×
提示
您的信息不完整,为了账户安全,请先补充。
现在去补充
×
提示
您因"违规操作"
具体请查看互助需知
我知道了
×
提示
确定
请完成安全验证×
copy
已复制链接
快去分享给好友吧!
我知道了
右上角分享
点击右上角分享
0
联系我们:info@booksci.cn Book学术提供免费学术资源搜索服务,方便国内外学者检索中英文文献。致力于提供最便捷和优质的服务体验。 Copyright © 2023 布克学术 All rights reserved.
京ICP备2023020795号-1
ghs 京公网安备 11010802042870号
Book学术文献互助
Book学术文献互助群
群 号:604180095
Book学术官方微信