Prevalence, incidence and risk factors for rugby-related injuries: A survey of the Safari Sevens tournament.

IF 1.2 Q4 REHABILITATION
South African Journal of Physiotherapy Pub Date : 2024-11-29 eCollection Date: 2024-01-01 DOI:10.4102/sajp.v80i1.2079
John M Onyancha, Benita Olivier, Joseph M Matheri, Wallace M Karuguti
{"title":"Prevalence, incidence and risk factors for rugby-related injuries: A survey of the Safari Sevens tournament.","authors":"John M Onyancha, Benita Olivier, Joseph M Matheri, Wallace M Karuguti","doi":"10.4102/sajp.v80i1.2079","DOIUrl":null,"url":null,"abstract":"<p><strong>Background: </strong>Rugby-related injuries are a leading cause of dropout from competitive sports, high insurance compensation, disability and socioeconomic marginalisation. The debilitating effect of these injuries on players may deny them the benefits associated with rugby and can lead to premature termination of a rugby career.</p><p><strong>Objectives: </strong>To determine the prevalence, incidence and risk factors for rugby-related injuries among male Safari Sevens rugby tournament players in Kenya.</p><p><strong>Method: </strong>Following ethical approval and clearance, this cross-sectional study was carried out among October 2021 teams of male players in the Safari Sevens rugby tournament. Players (<i>n</i> = 113) voluntarily completed Rugby International Consensus Group 'injury report form'. Descriptive statistics and odds ratios were calculated.</p><p><strong>Results: </strong>A point prevalence of 47 (41.6%) respondents at pre-tournament was found. The tournament recorded 117.6 player-match hours with an incidence of 33 (29.2%) injuries occurring during competition. In contact phase of rugby match, 'being tackled' was associated with a higher number of injuries mostly in the lower limbs. Surface of the playing field was likely to expose a player to injury in pre-competition and during the tournament. Additionally, players who had recurrent previous injuries and oversize gear were more likely to be injured during the tournament.</p><p><strong>Conclusion: </strong>The study showed competition injury incidence similar to that reported in previous studies. Lower limb injuries were most prevalent, especially the ankle while 'getting tackled' during matches.</p><p><strong>Clinical implications: </strong>There is a need for an algorithm for injury risk assessment, knee and ankle control training protocol, and use of dynamic knee and ankle supports.</p>","PeriodicalId":44180,"journal":{"name":"South African Journal of Physiotherapy","volume":"80 1","pages":"2079"},"PeriodicalIF":1.2000,"publicationDate":"2024-11-29","publicationTypes":"Journal Article","fieldsOfStudy":null,"isOpenAccess":false,"openAccessPdf":"https://www.ncbi.nlm.nih.gov/pmc/articles/PMC11622138/pdf/","citationCount":"0","resultStr":null,"platform":"Semanticscholar","paperid":null,"PeriodicalName":"South African Journal of Physiotherapy","FirstCategoryId":"1085","ListUrlMain":"https://doi.org/10.4102/sajp.v80i1.2079","RegionNum":0,"RegionCategory":null,"ArticlePicture":[],"TitleCN":null,"AbstractTextCN":null,"PMCID":null,"EPubDate":"2024/1/1 0:00:00","PubModel":"eCollection","JCR":"Q4","JCRName":"REHABILITATION","Score":null,"Total":0}
引用次数: 0

Abstract

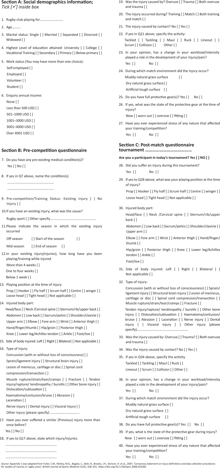
Background: Rugby-related injuries are a leading cause of dropout from competitive sports, high insurance compensation, disability and socioeconomic marginalisation. The debilitating effect of these injuries on players may deny them the benefits associated with rugby and can lead to premature termination of a rugby career.

Objectives: To determine the prevalence, incidence and risk factors for rugby-related injuries among male Safari Sevens rugby tournament players in Kenya.

Method: Following ethical approval and clearance, this cross-sectional study was carried out among October 2021 teams of male players in the Safari Sevens rugby tournament. Players (n = 113) voluntarily completed Rugby International Consensus Group 'injury report form'. Descriptive statistics and odds ratios were calculated.

Results: A point prevalence of 47 (41.6%) respondents at pre-tournament was found. The tournament recorded 117.6 player-match hours with an incidence of 33 (29.2%) injuries occurring during competition. In contact phase of rugby match, 'being tackled' was associated with a higher number of injuries mostly in the lower limbs. Surface of the playing field was likely to expose a player to injury in pre-competition and during the tournament. Additionally, players who had recurrent previous injuries and oversize gear were more likely to be injured during the tournament.

Conclusion: The study showed competition injury incidence similar to that reported in previous studies. Lower limb injuries were most prevalent, especially the ankle while 'getting tackled' during matches.

Clinical implications: There is a need for an algorithm for injury risk assessment, knee and ankle control training protocol, and use of dynamic knee and ankle supports.

Abstract Image

Abstract Image

橄榄球相关伤害的流行、发生率和危险因素:一项对狩猎七人锦标赛的调查。
背景:橄榄球相关的伤害是退出竞技体育、高额保险赔偿、残疾和社会经济边缘化的主要原因。这些损伤对球员的削弱作用可能会剥夺他们与橄榄球相关的好处,并可能导致橄榄球职业生涯的过早终止。目的:确定肯尼亚男子赛法瑞七人橄榄球锦标赛运动员橄榄球相关损伤的患病率、发病率和危险因素。方法:在获得伦理批准和许可后,本横断面研究在2021年10月参加Safari Sevens橄榄球锦标赛的男性球队中进行。113名球员自愿填写了橄榄球国际共识组织的“伤病报告表”。计算描述性统计和比值比。结果:赛前有47人(41.6%)出现点患病率。该赛事记录了117.6个比赛小时,比赛期间发生的伤病发生率为33例(29.2%)。在橄榄球比赛的接触阶段,“被擒抱”与更多的伤害有关,主要是在下肢。在赛前和比赛中,比赛场地的表面很可能使球员受伤。此外,那些之前经常受伤和装备过大的球员更有可能在比赛中受伤。结论:本研究显示比赛损伤发生率与以往研究报道相似。下肢受伤最为普遍,尤其是在比赛中被擒抱时的脚踝。临床意义:需要一种损伤风险评估算法,膝关节和踝关节控制训练方案,以及动态膝关节和踝关节支撑的使用。
本文章由计算机程序翻译,如有差异,请以英文原文为准。
求助全文
约1分钟内获得全文 求助全文
来源期刊
CiteScore
1.70
自引率
9.10%
发文量
35
审稿时长
30 weeks
×
引用
GB/T 7714-2015
复制
MLA
复制
APA
复制
导出至
BibTeX EndNote RefMan NoteFirst NoteExpress
×
提示
您的信息不完整,为了账户安全,请先补充。
现在去补充
×
提示
您因"违规操作"
具体请查看互助需知
我知道了
×
提示
确定
请完成安全验证×
copy
已复制链接
快去分享给好友吧!
我知道了
右上角分享
点击右上角分享
0
联系我们:info@booksci.cn Book学术提供免费学术资源搜索服务,方便国内外学者检索中英文文献。致力于提供最便捷和优质的服务体验。 Copyright © 2023 布克学术 All rights reserved.
京ICP备2023020795号-1
ghs 京公网安备 11010802042870号
Book学术文献互助
Book学术文献互助群
群 号:604180095
Book学术官方微信