Pharmacokinetics of Zilurgisertib With and Without Food from Single and Multiple Ascending Dose Phase 1 Studies in Healthy Adults.

IF 2.4 4区 医学 Q3 PHARMACOLOGY & PHARMACY
Yan-Ou Yang, Xiaohua Gong, Jay Getsy, Phillip Wang, Xiang Liu, Jennifer Sheng, Xuejun Chen, Kevin Rockich
{"title":"Pharmacokinetics of Zilurgisertib With and Without Food from Single and Multiple Ascending Dose Phase 1 Studies in Healthy Adults.","authors":"Yan-Ou Yang, Xiaohua Gong, Jay Getsy, Phillip Wang, Xiang Liu, Jennifer Sheng, Xuejun Chen, Kevin Rockich","doi":"10.1007/s13318-024-00926-z","DOIUrl":null,"url":null,"abstract":"<p><strong>Background and objectives: </strong>The oral, potent, and highly selective activin receptor-like kinase 2 (ALK2) inhibitor zilurgisertib (INCB000928) is in development as a treatment for fibrodysplasia ossificans progressiva (FOP), and for anemia due to myelofibrosis, myelodysplastic syndromes, and multiple myeloma. Saliva is an attractive alternative to blood for drug monitoring and pharmacokinetic analysis, as it is non-invasive to retrieve. This is beneficial for patients, such as those with FOP, for whom blood draws can be challenging due to soft tissue damage susceptibility that can cause progressive heterotopic ossification, and for whom tourniquet time and blood draws must be minimized. The objectives of these studies were to evaluate zilurgisertib pharmacokinetics, safety, tolerability, and the effect of food in healthy participants from phase 1 single ascending dose (SAD) and multiple ascending dose (MAD) studies.</p><p><strong>Methods: </strong>Both the SAD and MAD studies were double-blind, randomized, placebo-controlled dose escalation studies. In the SAD study, healthy participants received a single oral dose of zilurgisertib (10, 25, 50, 100, 175, 250, or 500 mg) or placebo in the fasted state. A further group of healthy participants were enrolled into an additional \"food effect\" cohort and randomized to receive a single oral dose of zilurgisertib (100 mg) after either an overnight fast or a high-fat meal in a 2-way crossover manner. In the MAD study, healthy participants received oral zilurgisertib at 50, 100, 150, 200, or 400 mg once daily or 300 mg twice daily in the fasted state. Blood, saliva, and urine samples were collected for zilurgisertib pharmacokinetic analysis. Safety was assessed throughout both studies.</p><p><strong>Results: </strong>Overall, 91 participants (70 active, 21 placebo) were enrolled and randomized to the SAD study and 79 participants (59 active, 20 placebo) were enrolled and randomized to the MAD study. Zilurgisertib was generally well tolerated, and adverse events were generally of mild-to-moderate severity. Zilurgisertib was rapidly absorbed, with median time to maximum plasma drug concentration (C<sub>max</sub>) of 2.0-4.1 h post-dose. Zilurgisertib exposure was more than dose proportional after single and multiple doses over the dose range tested, suggesting non-linear pharmacokinetics. Plasma half-life values ranged from 22.8 to 31.4 h, supporting once-daily dosing. There was a strong correlation between zilurgisertib concentrations in saliva and plasma. No food effect was observed on zilurgisertib pharmacokinetics, with geometric mean ratio (90% confidence interval) C<sub>max</sub> and area under the plasma concentration-time curve values of 0.98 (0.91 to1.06) and 1.03 (0.97 to 1.10). Renal excretion under fasted conditions was 16% and 27% of total drug clearance with single and multiple doses, respectively; therefore, it was not the predominant pathway for zilurgisertib elimination.</p><p><strong>Conclusions: </strong>Zilurgisertib exhibited a favorable pharmacokinetic profile amenable to once-daily dosing that can be administered without regard to food. Study results support further clinical development of zilurgisertib in patients.</p>","PeriodicalId":11939,"journal":{"name":"European Journal of Drug Metabolism and Pharmacokinetics","volume":" ","pages":"65-80"},"PeriodicalIF":2.4000,"publicationDate":"2025-01-01","publicationTypes":"Journal Article","fieldsOfStudy":null,"isOpenAccess":false,"openAccessPdf":"https://www.ncbi.nlm.nih.gov/pmc/articles/PMC11802711/pdf/","citationCount":"0","resultStr":null,"platform":"Semanticscholar","paperid":null,"PeriodicalName":"European Journal of Drug Metabolism and Pharmacokinetics","FirstCategoryId":"3","ListUrlMain":"https://doi.org/10.1007/s13318-024-00926-z","RegionNum":4,"RegionCategory":"医学","ArticlePicture":[],"TitleCN":null,"AbstractTextCN":null,"PMCID":null,"EPubDate":"2024/12/9 0:00:00","PubModel":"Epub","JCR":"Q3","JCRName":"PHARMACOLOGY & PHARMACY","Score":null,"Total":0}
引用次数: 0

Abstract

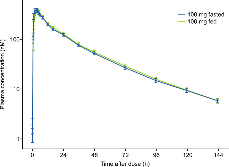
Background and objectives: The oral, potent, and highly selective activin receptor-like kinase 2 (ALK2) inhibitor zilurgisertib (INCB000928) is in development as a treatment for fibrodysplasia ossificans progressiva (FOP), and for anemia due to myelofibrosis, myelodysplastic syndromes, and multiple myeloma. Saliva is an attractive alternative to blood for drug monitoring and pharmacokinetic analysis, as it is non-invasive to retrieve. This is beneficial for patients, such as those with FOP, for whom blood draws can be challenging due to soft tissue damage susceptibility that can cause progressive heterotopic ossification, and for whom tourniquet time and blood draws must be minimized. The objectives of these studies were to evaluate zilurgisertib pharmacokinetics, safety, tolerability, and the effect of food in healthy participants from phase 1 single ascending dose (SAD) and multiple ascending dose (MAD) studies.

Methods: Both the SAD and MAD studies were double-blind, randomized, placebo-controlled dose escalation studies. In the SAD study, healthy participants received a single oral dose of zilurgisertib (10, 25, 50, 100, 175, 250, or 500 mg) or placebo in the fasted state. A further group of healthy participants were enrolled into an additional "food effect" cohort and randomized to receive a single oral dose of zilurgisertib (100 mg) after either an overnight fast or a high-fat meal in a 2-way crossover manner. In the MAD study, healthy participants received oral zilurgisertib at 50, 100, 150, 200, or 400 mg once daily or 300 mg twice daily in the fasted state. Blood, saliva, and urine samples were collected for zilurgisertib pharmacokinetic analysis. Safety was assessed throughout both studies.

Results: Overall, 91 participants (70 active, 21 placebo) were enrolled and randomized to the SAD study and 79 participants (59 active, 20 placebo) were enrolled and randomized to the MAD study. Zilurgisertib was generally well tolerated, and adverse events were generally of mild-to-moderate severity. Zilurgisertib was rapidly absorbed, with median time to maximum plasma drug concentration (Cmax) of 2.0-4.1 h post-dose. Zilurgisertib exposure was more than dose proportional after single and multiple doses over the dose range tested, suggesting non-linear pharmacokinetics. Plasma half-life values ranged from 22.8 to 31.4 h, supporting once-daily dosing. There was a strong correlation between zilurgisertib concentrations in saliva and plasma. No food effect was observed on zilurgisertib pharmacokinetics, with geometric mean ratio (90% confidence interval) Cmax and area under the plasma concentration-time curve values of 0.98 (0.91 to1.06) and 1.03 (0.97 to 1.10). Renal excretion under fasted conditions was 16% and 27% of total drug clearance with single and multiple doses, respectively; therefore, it was not the predominant pathway for zilurgisertib elimination.

Conclusions: Zilurgisertib exhibited a favorable pharmacokinetic profile amenable to once-daily dosing that can be administered without regard to food. Study results support further clinical development of zilurgisertib in patients.

Abstract Image

Abstract Image

Abstract Image

Zilurgisertib在健康成人中单次和多次递增剂量的药代动力学研究
背景和目的:口服、强效、高选择性激活素受体样激酶2 (ALK2)抑制剂zilurgisertib (INCB000928)正在开发中,用于治疗进行性骨化纤维发育不良(FOP),以及骨髓纤维化、骨髓增生异常综合征和多发性骨髓瘤引起的贫血。唾液是一种有吸引力的替代血液药物监测和药代动力学分析,因为它是无创的检索。这对FOP患者是有益的,因为软组织损伤易感性可能导致进行性异位骨化,因此抽血可能具有挑战性,对他们来说止血带时间和抽血必须尽量减少。这些研究的目的是评估zilurgisertib的药代动力学、安全性、耐受性和食物对健康参与者的影响,这些研究来自一期单次递增剂量(SAD)和多次递增剂量(MAD)研究。方法:SAD和MAD研究均为双盲、随机、安慰剂对照剂量递增研究。在SAD研究中,健康参与者在禁食状态下接受单次口服zilurgisertib(10、25、50、100、175、250或500 mg)或安慰剂。另一组健康参与者被纳入另一个“食物效应”队列,并随机接受单剂量口服zilurgisertib(100毫克),在一夜禁食或高脂肪饮食后,以双向交叉方式。在MAD研究中,健康参与者在禁食状态下口服zilurgisertib,剂量分别为50、100、150、200或400毫克,每天一次或300毫克,每天两次。采集血液、唾液和尿液样本进行zilurgisertib药代动力学分析。两项研究都对安全性进行了评估。结果:总体而言,91名参与者(70名活跃参与者,21名安慰剂参与者)被纳入SAD研究,79名参与者(59名活跃参与者,20名安慰剂参与者)被纳入MAD研究并随机分配。Zilurgisertib一般耐受性良好,不良事件一般为轻度至中度严重程度。Zilurgisertib吸收迅速,给药后中位时间为2.0-4.1 h达到最大血浆药物浓度(Cmax)。Zilurgisertib暴露在单次和多次给药后超过剂量比例,提示非线性药代动力学。血浆半衰期从22.8到31.4小时不等,支持每日一次给药。zilurgisertib在唾液和血浆中的浓度有很强的相关性。血药浓度-时间曲线下面积和几何平均比值(90%置信区间)分别为0.98(0.91 ~ 1.06)和1.03(0.97 ~ 1.10)。单次和多次给药时,禁食条件下的肾排泄分别占总药物清除率的16%和27%;因此,它不是zilurgisertib消除的主要途径。结论:Zilurgisertib表现出良好的药代动力学特征,可以每天给药一次,无需考虑食物。研究结果支持zilurgisertib在患者中的进一步临床开发。
本文章由计算机程序翻译,如有差异,请以英文原文为准。
求助全文
约1分钟内获得全文 求助全文
来源期刊
CiteScore
3.70
自引率
0.00%
发文量
64
审稿时长
>12 weeks
期刊介绍: Hepatology International is a peer-reviewed journal featuring articles written by clinicians, clinical researchers and basic scientists is dedicated to research and patient care issues in hepatology. This journal focuses mainly on new and emerging diagnostic and treatment options, protocols and molecular and cellular basis of disease pathogenesis, new technologies, in liver and biliary sciences. Hepatology International publishes original research articles related to clinical care and basic research; review articles; consensus guidelines for diagnosis and treatment; invited editorials, and controversies in contemporary issues. The journal does not publish case reports.
×
引用
GB/T 7714-2015
复制
MLA
复制
APA
复制
导出至
BibTeX EndNote RefMan NoteFirst NoteExpress
×
提示
您的信息不完整,为了账户安全,请先补充。
现在去补充
×
提示
您因"违规操作"
具体请查看互助需知
我知道了
×
提示
确定
请完成安全验证×
copy
已复制链接
快去分享给好友吧!
我知道了
右上角分享
点击右上角分享
0
联系我们:info@booksci.cn Book学术提供免费学术资源搜索服务,方便国内外学者检索中英文文献。致力于提供最便捷和优质的服务体验。 Copyright © 2023 布克学术 All rights reserved.
京ICP备2023020795号-1
ghs 京公网安备 11010802042870号
Book学术文献互助
Book学术文献互助群
群 号:604180095
Book学术官方微信