Predictors of hypocalcaemia and hypoparathyroidism in patients undergoing thyroidectomy for benign and malignant pathologies.

Endocrine oncology (Bristol, England) Pub Date : 2024-11-25 eCollection Date: 2024-01-01 DOI:10.1530/EO-24-0022
Jino Johns Lalitha, Natarajan Ramalingam, Remya Rajan, Jeyashanth Riju, Antony Abraham Paulose, Rajiv Charles Michael, Amit Jiwan Tirkey, Twisha Adhikari, Shalini Sahu, R Nagayazhini
{"title":"Predictors of hypocalcaemia and hypoparathyroidism in patients undergoing thyroidectomy for benign and malignant pathologies.","authors":"Jino Johns Lalitha, Natarajan Ramalingam, Remya Rajan, Jeyashanth Riju, Antony Abraham Paulose, Rajiv Charles Michael, Amit Jiwan Tirkey, Twisha Adhikari, Shalini Sahu, R Nagayazhini","doi":"10.1530/EO-24-0022","DOIUrl":null,"url":null,"abstract":"<p><strong>Objective: </strong>To analyse the risk factors of hypoparathyroidism and hypocalcaemia after total thyroidectomy.</p><p><strong>Methods: </strong>Clinical data of patients who underwent total thyroidectomy at a tertiary care hospital in southern part of India were collected retrospectively from January 2021 to May 2023. Multivariate logistic regression was used to analyse the risk factors associated with transient hypoparathyroidism and hypocalcaemia separately.</p><p><strong>Results: </strong>A total of 300 patients who underwent total thyroidectomy were enroled. The median age of the study population was 41 years, and 70% were females. Histopathological examination showed that 80.3% had thyroid cancer. The incidence of postoperative transient hypoparathyroidism was 26.7%, while postoperative transient hypocalcaemia was 12.3%. Multivariate analysis showed that the presence of hypothyroidism before surgery (OR = 3.230, 95% CI: 1.368-7.624, <i>P</i> = 0.007), performing central compartment neck dissection (CCND) (OR = 2.196, 95% CI: 1.133-4.257, <i>P</i> = 0.02) and parathyroid gland in the surgical specimen (OR = 5.547, 95% CI: 3.065-10.036, <i>P</i> < 0.0001) were independent predictors of postoperative transient hypoparathyroidism. Female gender (OR = 2.689, 95% CI: 1.049-6.895, <i>P</i> = 0.039), presence of parathyroid in the surgical specimen (OR = 1.067, 95% CI: 0.367-8.438, <i>P</i> = 0.004) and performing CCND (OR = 2.192, 95% CI: 0.990-4.850, <i>P</i> = 0.05) were independent predictors of postoperative transient hypocalcaemia.</p><p><strong>Conclusion: </strong>Hypoparathyroidism and hypocalcaemia after thyroid surgery are common, and most of them are transient. The independent predictors of hypoparathyroidism and hypocalcaemia differ. Hypoparathyroidism appears to be a better predictor for patients who will develop postoperative hypocalcaemia.</p>","PeriodicalId":72907,"journal":{"name":"Endocrine oncology (Bristol, England)","volume":"4 1","pages":"e240022"},"PeriodicalIF":0.0000,"publicationDate":"2024-11-25","publicationTypes":"Journal Article","fieldsOfStudy":null,"isOpenAccess":false,"openAccessPdf":"https://www.ncbi.nlm.nih.gov/pmc/articles/PMC11623251/pdf/","citationCount":"0","resultStr":null,"platform":"Semanticscholar","paperid":null,"PeriodicalName":"Endocrine oncology (Bristol, England)","FirstCategoryId":"1085","ListUrlMain":"https://doi.org/10.1530/EO-24-0022","RegionNum":0,"RegionCategory":null,"ArticlePicture":[],"TitleCN":null,"AbstractTextCN":null,"PMCID":null,"EPubDate":"2024/1/1 0:00:00","PubModel":"eCollection","JCR":"","JCRName":"","Score":null,"Total":0}
引用次数: 0

Abstract

Objective: To analyse the risk factors of hypoparathyroidism and hypocalcaemia after total thyroidectomy.

Methods: Clinical data of patients who underwent total thyroidectomy at a tertiary care hospital in southern part of India were collected retrospectively from January 2021 to May 2023. Multivariate logistic regression was used to analyse the risk factors associated with transient hypoparathyroidism and hypocalcaemia separately.

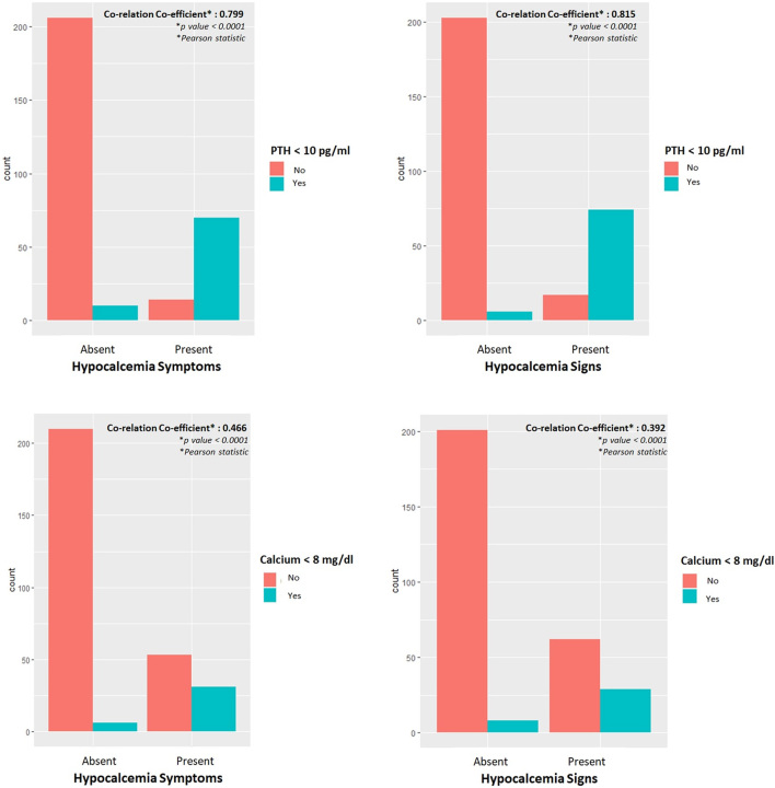
Results: A total of 300 patients who underwent total thyroidectomy were enroled. The median age of the study population was 41 years, and 70% were females. Histopathological examination showed that 80.3% had thyroid cancer. The incidence of postoperative transient hypoparathyroidism was 26.7%, while postoperative transient hypocalcaemia was 12.3%. Multivariate analysis showed that the presence of hypothyroidism before surgery (OR = 3.230, 95% CI: 1.368-7.624, P = 0.007), performing central compartment neck dissection (CCND) (OR = 2.196, 95% CI: 1.133-4.257, P = 0.02) and parathyroid gland in the surgical specimen (OR = 5.547, 95% CI: 3.065-10.036, P < 0.0001) were independent predictors of postoperative transient hypoparathyroidism. Female gender (OR = 2.689, 95% CI: 1.049-6.895, P = 0.039), presence of parathyroid in the surgical specimen (OR = 1.067, 95% CI: 0.367-8.438, P = 0.004) and performing CCND (OR = 2.192, 95% CI: 0.990-4.850, P = 0.05) were independent predictors of postoperative transient hypocalcaemia.

Conclusion: Hypoparathyroidism and hypocalcaemia after thyroid surgery are common, and most of them are transient. The independent predictors of hypoparathyroidism and hypocalcaemia differ. Hypoparathyroidism appears to be a better predictor for patients who will develop postoperative hypocalcaemia.

Abstract Image

Abstract Image

Abstract Image

良性和恶性甲状腺切除术患者低钙血症和甲状旁腺功能减退的预测因素。
目的:分析甲状腺全切除术后甲状旁腺功能减退及低钙血症的危险因素。方法:回顾性收集2021年1月至2023年5月在印度南部某三级医院行甲状腺全切除术患者的临床资料。采用多因素logistic回归分别分析与短暂性甲状旁腺功能减退和低钙血症相关的危险因素。结果:共纳入300例接受甲状腺全切除术的患者。研究人群的中位年龄为41岁,其中70%为女性。组织病理学检查显示80.3%的患者有甲状腺癌。术后一过性甲状旁腺功能低下发生率为26.7%,术后一过性低钙发生率为12.3%。多因素分析显示,术前甲状腺功能减退(OR = 3.230, 95% CI: 1.368-7.624, P = 0.007)、行中央室颈清扫术(OR = 2.196, 95% CI: 1.133-4.257, P = 0.02)和手术标本中甲状旁腺(OR = 5.547, 95% CI: 3.065-10.036, P < 0.0001)是术后一过性甲状旁腺功能减退的独立预测因素。女性(OR = 2.689, 95% CI: 1.049-6.895, P = 0.039)、手术标本中甲状旁腺的存在(OR = 1.067, 95% CI: 0.367-8.438, P = 0.004)和行CCND (OR = 2.192, 95% CI: 0.990-4.850, P = 0.05)是术后一过性低钙的独立预测因素。结论:甲状腺手术后甲状旁腺功能减退和低钙血症较为常见,且多为一过性。甲状旁腺功能减退和低钙血症的独立预测因子不同。甲状旁腺功能减退似乎是一个更好的预测患者将发生术后低钙血症。
本文章由计算机程序翻译,如有差异,请以英文原文为准。
求助全文
约1分钟内获得全文 求助全文
来源期刊
自引率
0.00%
发文量
0
×
引用
GB/T 7714-2015
复制
MLA
复制
APA
复制
导出至
BibTeX EndNote RefMan NoteFirst NoteExpress
×
提示
您的信息不完整,为了账户安全,请先补充。
现在去补充
×
提示
您因"违规操作"
具体请查看互助需知
我知道了
×
提示
确定
请完成安全验证×
copy
已复制链接
快去分享给好友吧!
我知道了
右上角分享
点击右上角分享
0
联系我们:info@booksci.cn Book学术提供免费学术资源搜索服务,方便国内外学者检索中英文文献。致力于提供最便捷和优质的服务体验。 Copyright © 2023 布克学术 All rights reserved.
京ICP备2023020795号-1
ghs 京公网安备 11010802042870号
Book学术文献互助
Book学术文献互助群
群 号:604180095
Book学术官方微信