Association Between the Development of Sensorineural Hearing Loss and Blood NAD+ Levels.

IF 2 Q2 MEDICINE, GENERAL & INTERNAL
Journal of clinical medicine research Pub Date : 2024-12-01 Epub Date: 2024-11-11 DOI:10.14740/jocmr6083
Hideaki Sakata, Ken Hayashi, Ryo Matsuyama, Tomoyo Omata, Masanobu Kanou, Kei Yamana, Sho Kanzaki
{"title":"Association Between the Development of Sensorineural Hearing Loss and Blood NAD<sup>+</sup> Levels.","authors":"Hideaki Sakata, Ken Hayashi, Ryo Matsuyama, Tomoyo Omata, Masanobu Kanou, Kei Yamana, Sho Kanzaki","doi":"10.14740/jocmr6083","DOIUrl":null,"url":null,"abstract":"<p><strong>Background: </strong>Hearing loss prevalence increases with age, affecting over 25% of the global population aged 60 years or older. The aim of the study was to investigate the association between the development of sensorineural hearing loss (SNHL) and the blood levels of nicotinamide adenine dinucleotide (NAD<sup>+</sup>).</p><p><strong>Methods: </strong>A single-center, observational study was conducted at Kawagoe Otology Institute in Japan. A total of 80 patients were included and allocated to four groups of 20 patients each: patients aged 50 - 79 years with or without unilateral sudden sensorineural hearing loss (SSNHL), and patients aged ≥ 80 years with or without bilateral age-related hearing loss (ARHL). The distribution of whole-blood NAD<sup>+</sup> levels was investigated. We also measured oxidative stress markers (diacron-reactive oxygen metabolites (dROMs) and biological antioxidant potential (BAP)) and examined the relationship between the development of SNHL and whole-blood NAD<sup>+</sup> levels, dROMs, and BAP.</p><p><strong>Results: </strong>Comparison of NAD<sup>+</sup> levels with and without hearing loss in the same age group by analysis of covariance showed a significantly lower NAD<sup>+</sup> level in those with hearing loss than those without in the ≥ 80 age group (P = 0.047), whereas there was no difference between the two groups in the 50 - 79 age group (P = 0.232). All 80 patients, without consideration of age or type of hearing loss, were subjected to multivariate analysis to explore factors contributing to the development of hearing loss. With each 1 µM increase in the NAD<sup>+</sup> level, the probability of developing SNHL decreased to 0.9-fold (P = 0.047), and each 1 U.CARR increase in dROMs was associated with a 1.01-fold increase in the risk of developing SNHL (P = 0.014). Whole-blood NAD<sup>+</sup> levels in ARHL patients were significantly lower than those in non-ARHL patients. There was no association between whole-blood NAD<sup>+</sup> and dROMs or BAP levels. This study has some limitations, including a sample size that was not large enough to detect a significant difference and an imbalance in the male-to-female ratio.</p><p><strong>Conclusions: </strong>Decreased amount of NAD<sup>+</sup> in the body and increased dROMs levels were associated with increased risk of developing SNHL, and the development of ARHL was especially highly associated with a decreased amount of NAD<sup>+</sup> in the body.</p>","PeriodicalId":94329,"journal":{"name":"Journal of clinical medicine research","volume":"16 11","pages":"519-526"},"PeriodicalIF":2.0000,"publicationDate":"2024-12-01","publicationTypes":"Journal Article","fieldsOfStudy":null,"isOpenAccess":false,"openAccessPdf":"https://www.ncbi.nlm.nih.gov/pmc/articles/PMC11614409/pdf/","citationCount":"0","resultStr":null,"platform":"Semanticscholar","paperid":null,"PeriodicalName":"Journal of clinical medicine research","FirstCategoryId":"1085","ListUrlMain":"https://doi.org/10.14740/jocmr6083","RegionNum":0,"RegionCategory":null,"ArticlePicture":[],"TitleCN":null,"AbstractTextCN":null,"PMCID":null,"EPubDate":"2024/11/11 0:00:00","PubModel":"Epub","JCR":"Q2","JCRName":"MEDICINE, GENERAL & INTERNAL","Score":null,"Total":0}
引用次数: 0

Abstract

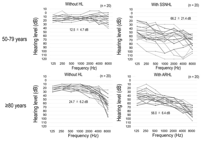
Background: Hearing loss prevalence increases with age, affecting over 25% of the global population aged 60 years or older. The aim of the study was to investigate the association between the development of sensorineural hearing loss (SNHL) and the blood levels of nicotinamide adenine dinucleotide (NAD+).

Methods: A single-center, observational study was conducted at Kawagoe Otology Institute in Japan. A total of 80 patients were included and allocated to four groups of 20 patients each: patients aged 50 - 79 years with or without unilateral sudden sensorineural hearing loss (SSNHL), and patients aged ≥ 80 years with or without bilateral age-related hearing loss (ARHL). The distribution of whole-blood NAD+ levels was investigated. We also measured oxidative stress markers (diacron-reactive oxygen metabolites (dROMs) and biological antioxidant potential (BAP)) and examined the relationship between the development of SNHL and whole-blood NAD+ levels, dROMs, and BAP.

Results: Comparison of NAD+ levels with and without hearing loss in the same age group by analysis of covariance showed a significantly lower NAD+ level in those with hearing loss than those without in the ≥ 80 age group (P = 0.047), whereas there was no difference between the two groups in the 50 - 79 age group (P = 0.232). All 80 patients, without consideration of age or type of hearing loss, were subjected to multivariate analysis to explore factors contributing to the development of hearing loss. With each 1 µM increase in the NAD+ level, the probability of developing SNHL decreased to 0.9-fold (P = 0.047), and each 1 U.CARR increase in dROMs was associated with a 1.01-fold increase in the risk of developing SNHL (P = 0.014). Whole-blood NAD+ levels in ARHL patients were significantly lower than those in non-ARHL patients. There was no association between whole-blood NAD+ and dROMs or BAP levels. This study has some limitations, including a sample size that was not large enough to detect a significant difference and an imbalance in the male-to-female ratio.

Conclusions: Decreased amount of NAD+ in the body and increased dROMs levels were associated with increased risk of developing SNHL, and the development of ARHL was especially highly associated with a decreased amount of NAD+ in the body.

Abstract Image

Abstract Image

感音神经性听力损失的发生与血液NAD+水平的关系。
背景:听力损失患病率随年龄增长而增加,影响全球超过25%的60岁或以上人口。该研究的目的是探讨感音神经性听力损失(SNHL)的发展与烟酰胺腺嘌呤二核苷酸(NAD+)的血液水平之间的关系。方法:在日本川越耳科研究所进行单中心观察性研究。共纳入80例患者,并将其分为4组,每组20例患者:50 - 79岁伴有或不伴有单侧突发性感音神经性听力损失(SSNHL)的患者,以及≥80岁伴有或不伴有双侧年龄相关性听力损失(ARHL)的患者。研究全血NAD+水平的分布。我们还测量了氧化应激标志物(diacon -reactive oxygen metabolites, dROMs)和生物抗氧化潜能(biological oxidation potential, BAP),并研究了SNHL的发生与全血NAD+水平、dROMs和BAP之间的关系。结果:通过协方差分析比较同年龄组听力损失组与非听力损失组NAD+水平,80岁以上年龄组听力损失组NAD+水平显著低于非听力损失组(P = 0.047),而50 ~ 79岁年龄组NAD+水平两组间差异无统计学意义(P = 0.232)。在不考虑年龄和听力损失类型的情况下,对所有80例患者进行多因素分析,探讨听力损失发生的因素。NAD+水平每增加1 μ M,发生SNHL的概率降低到0.9倍(P = 0.047), dROMs每增加1 μ M,发生SNHL的风险增加1.01倍(P = 0.014)。ARHL患者全血NAD+水平明显低于非ARHL患者。全血NAD+与dROMs或BAP水平之间没有关联。这项研究有一些局限性,包括样本量不够大,无法发现显著的差异,以及男女比例的不平衡。结论:体内NAD+水平的降低和dROMs水平的升高与SNHL发生风险的增加相关,其中ARHL的发生与体内NAD+水平的降低高度相关。
本文章由计算机程序翻译,如有差异,请以英文原文为准。
求助全文
约1分钟内获得全文 求助全文
来源期刊
CiteScore
5.10
自引率
0.00%
发文量
0
×
引用
GB/T 7714-2015
复制
MLA
复制
APA
复制
导出至
BibTeX EndNote RefMan NoteFirst NoteExpress
×
提示
您的信息不完整,为了账户安全,请先补充。
现在去补充
×
提示
您因"违规操作"
具体请查看互助需知
我知道了
×
提示
确定
请完成安全验证×
copy
已复制链接
快去分享给好友吧!
我知道了
右上角分享
点击右上角分享
0
联系我们:info@booksci.cn Book学术提供免费学术资源搜索服务,方便国内外学者检索中英文文献。致力于提供最便捷和优质的服务体验。 Copyright © 2023 布克学术 All rights reserved.
京ICP备2023020795号-1
ghs 京公网安备 11010802042870号
Book学术文献互助
Book学术文献互助群
群 号:604180095
Book学术官方微信