Comparison of contemporaneous Sentinel-2 and EnMAP data for vegetation index-based estimation of leaf area index and canopy closure of a boreal forest.

IF 3.7 4区 地球科学 Q2 REMOTE SENSING
European Journal of Remote Sensing Pub Date : 2024-11-27 eCollection Date: 2024-01-01 DOI:10.1080/22797254.2024.2432975
Jussi Juola, Aarne Hovi, Miina Rautiainen
{"title":"Comparison of contemporaneous Sentinel-2 and EnMAP data for vegetation index-based estimation of leaf area index and canopy closure of a boreal forest.","authors":"Jussi Juola, Aarne Hovi, Miina Rautiainen","doi":"10.1080/22797254.2024.2432975","DOIUrl":null,"url":null,"abstract":"<p><p>Data from the new hyperspectral satellite missions such as EnMAP are anticipated to refine leaf area index (LAI) or canopy closure (CC) monitoring in conifer-dominated forest areas. We compared contemporaneous multispectral and hyperspectral satellite images from Sentinel-2 MSI (S2) and EnMAP and assessed whether hyperspectral images offer added value in estimating LAI, effective LAI (LAIeff), and CC in a European boreal forest area. The estimations were performed using univariate and multivariate generalized additive models. The models utilized field measurements of LAI and CC from 38 forest plots and an extensive set of vegetation indices (VIs) derived from the satellite data. The best univariate models for each of the three response variables had small differences between the two sensors, but in general, EnMAP had more well-performing VIs which was reflected in the better multivariate model performances. The best performing multivariate models with the EnMAP data had ~1-6% lower relative RMSEs than S2. Wavelengths near the green, red-edge, and shortwave infrared regions were frequently utilized in estimating LAI, LAIeff, and CC with EnMAP data. Because EnMAP could estimate LAI better, the results suggest that EnMAP may be more useful than multispectral satellite sensors, such as S2, in monitoring biophysical variables of coniferous-dominated forests.</p>","PeriodicalId":49077,"journal":{"name":"European Journal of Remote Sensing","volume":"57 1","pages":"2432975"},"PeriodicalIF":3.7000,"publicationDate":"2024-11-27","publicationTypes":"Journal Article","fieldsOfStudy":null,"isOpenAccess":false,"openAccessPdf":"https://www.ncbi.nlm.nih.gov/pmc/articles/PMC11614049/pdf/","citationCount":"0","resultStr":null,"platform":"Semanticscholar","paperid":null,"PeriodicalName":"European Journal of Remote Sensing","FirstCategoryId":"89","ListUrlMain":"https://doi.org/10.1080/22797254.2024.2432975","RegionNum":4,"RegionCategory":"地球科学","ArticlePicture":[],"TitleCN":null,"AbstractTextCN":null,"PMCID":null,"EPubDate":"2024/1/1 0:00:00","PubModel":"eCollection","JCR":"Q2","JCRName":"REMOTE SENSING","Score":null,"Total":0}
引用次数: 0

Abstract

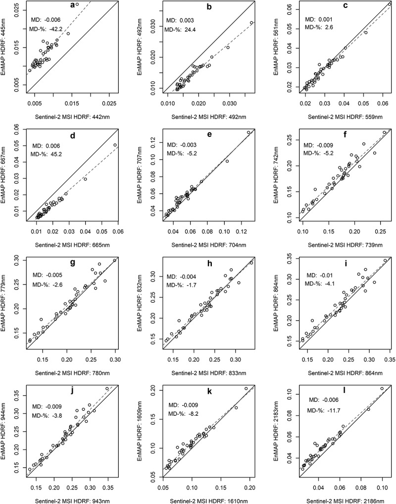
Data from the new hyperspectral satellite missions such as EnMAP are anticipated to refine leaf area index (LAI) or canopy closure (CC) monitoring in conifer-dominated forest areas. We compared contemporaneous multispectral and hyperspectral satellite images from Sentinel-2 MSI (S2) and EnMAP and assessed whether hyperspectral images offer added value in estimating LAI, effective LAI (LAIeff), and CC in a European boreal forest area. The estimations were performed using univariate and multivariate generalized additive models. The models utilized field measurements of LAI and CC from 38 forest plots and an extensive set of vegetation indices (VIs) derived from the satellite data. The best univariate models for each of the three response variables had small differences between the two sensors, but in general, EnMAP had more well-performing VIs which was reflected in the better multivariate model performances. The best performing multivariate models with the EnMAP data had ~1-6% lower relative RMSEs than S2. Wavelengths near the green, red-edge, and shortwave infrared regions were frequently utilized in estimating LAI, LAIeff, and CC with EnMAP data. Because EnMAP could estimate LAI better, the results suggest that EnMAP may be more useful than multispectral satellite sensors, such as S2, in monitoring biophysical variables of coniferous-dominated forests.

Abstract Image

Abstract Image

Abstract Image

基于植被指数估算北方针叶林叶面积指数和冠层封闭度的同步Sentinel-2和EnMAP数据比较
来自新的高光谱卫星任务(如EnMAP)的数据预计将改善针叶林主导地区的叶面积指数(LAI)或冠层闭合(CC)监测。我们比较了来自Sentinel-2 MSI (S2)和EnMAP的同期多光谱和高光谱卫星图像,并评估了高光谱图像是否在估算欧洲北方针叶林地区的LAI、有效LAI (LAIeff)和CC方面提供了附加价值。使用单变量和多元广义加性模型进行估计。这些模型利用了38个森林样地的LAI和CC的野外测量数据以及从卫星数据中获得的一套广泛的植被指数(VIs)。对于三个响应变量的最佳单变量模型,两种传感器之间的差异较小,但总体而言,EnMAP具有更好的表现VIs,这反映在更好的多变量模型性能上。使用EnMAP数据的最佳多变量模型的相对rmse比S2低1-6%。在利用EnMAP数据估计LAI、LAIeff和CC时,经常使用靠近绿边、红边和短波红外区的波长。由于EnMAP可以更好地估计LAI,因此研究结果表明,在监测针叶林生物物理变量方面,EnMAP可能比多光谱卫星传感器(如S2)更有用。
本文章由计算机程序翻译,如有差异,请以英文原文为准。
求助全文
约1分钟内获得全文 求助全文
来源期刊
CiteScore
7.00
自引率
2.50%
发文量
51
审稿时长
>12 weeks
期刊介绍: European Journal of Remote Sensing publishes research papers and review articles related to the use of remote sensing technologies. The Journal welcomes submissions on all applications related to the use of active or passive remote sensing to terrestrial, oceanic, and atmospheric environments. The most common thematic areas covered by the Journal include: -land use/land cover -geology, earth and geoscience -agriculture and forestry -geography and landscape -ecology and environmental science -support to land management -hydrology and water resources -atmosphere and meteorology -oceanography -new sensor systems, missions and software/algorithms -pre processing/calibration -classifications -time series/change analysis -data integration/merging/fusion -image processing and analysis -modelling European Journal of Remote Sensing is a fully open access journal. This means all submitted articles will, if accepted, be available for anyone to read anywhere, at any time, immediately on publication. There are no charges for submission to this journal.
×
引用
GB/T 7714-2015
复制
MLA
复制
APA
复制
导出至
BibTeX EndNote RefMan NoteFirst NoteExpress
×
提示
您的信息不完整,为了账户安全,请先补充。
现在去补充
×
提示
您因"违规操作"
具体请查看互助需知
我知道了
×
提示
确定
请完成安全验证×
copy
已复制链接
快去分享给好友吧!
我知道了
右上角分享
点击右上角分享
0
联系我们:info@booksci.cn Book学术提供免费学术资源搜索服务,方便国内外学者检索中英文文献。致力于提供最便捷和优质的服务体验。 Copyright © 2023 布克学术 All rights reserved.
京ICP备2023020795号-1
ghs 京公网安备 11010802042870号
Book学术文献互助
Book学术文献互助群
群 号:604180095
Book学术官方微信