The Potential of Human Wharton's Jelly Mesenchymal Stem Cells Secretome Based Topical Gel for Therapeutic Application.

Q3 Biochemistry, Genetics and Molecular Biology
Wahyu Widowati, Ahmad Faried, Rimonta Febby Gunanegara, Fanny Rahardja, Fadhilah Haifa Zahiroh, Annisa Firdaus Sutendi, Faradhina Salfa Nindya, Rizal Azis, Renandy Kristianlie Ekajaya
{"title":"The Potential of Human Wharton's Jelly Mesenchymal Stem Cells Secretome Based Topical Gel for Therapeutic Application.","authors":"Wahyu Widowati, Ahmad Faried, Rimonta Febby Gunanegara, Fanny Rahardja, Fadhilah Haifa Zahiroh, Annisa Firdaus Sutendi, Faradhina Salfa Nindya, Rizal Azis, Renandy Kristianlie Ekajaya","doi":"10.18502/ajmb.v16i4.16739","DOIUrl":null,"url":null,"abstract":"<p><strong>Background: </strong>Diabetic Foot Ulcer (DFU) might be worsened by neuropathy and vascular issues. This condition can cause 14.3% fatality, stressing the need for effective wound healing therapy. Wound healing is a complex biological process, and human Wharton's Jelly Mesenchymal Stem Cells (hWJMSCs) may help manage DFU treatment issues. This research focuses on utilizing a gel carrier to deliver bioactive substances from Wharton's Jelly Mesenchymal Stem Cells secretome (hWJ-MSCs-Sec) as a possible treatment for DFU.</p><p><strong>Methods: </strong>To maintain quality, hWJMSCs-Sec is thoroughly mixed with carbomer gel and freeze-dried. ELISA test is performed to determine the characterization of the gel of hWJMSCs-Sec such as Keratinocyte Growth Factor (KGF), Platelet-Derived Growth Factor (PDGF), Hepatocyte Growth Factor (HGF), Epidermal Growth Factor (EGF), and Heparin-Binding EGF-Like Growth Factor (HB-EGF). The antioxidant activity was also measured with Hydrogen peroxide (H<sub>2</sub>O<sub>2</sub>), Nitric oxide (NO), and Ferric Reducing Antioxidant Power (FRAP) assay. Proliferation assay was utilized using WST-8 and the wound healing potential was assessed <i>via</i> the migration cell ability of scratched-human skin fibroblast (BJ cells).</p><p><strong>Results: </strong>The freeze-dried hWJ-MSCs-Sec showed higher levels of KGF, HGF, PDGF, EGF, HB-EGF, and the antioxidant activities compared to fresh hWJ-MSCs-Sec. Additionally, the gel of freeze-dried hWJ-MSCs-Sec exhibited higher levels compared to the gel of fresh hWJMSCs-Sec. This was evidenced by faster closure of scratched wounds on BJ cells treated with hWJMSCs-Sec and freeze-dried hWJ-MSCs-Sec gel.</p><p><strong>Conclusion: </strong>The freeze-dried hWJ-MSCs-Sec gel exhibits superior quality compared to the non-freeze-dried hWJ-MSCs-Sec gel. This demonstrates that the freeze-drying procedure can maintain the bioactive chemicals found in hWJMSCs-Sec, potentially enhancing the efficacy of this gel in promoting cell regeneration for wound healing.</p>","PeriodicalId":8669,"journal":{"name":"Avicenna journal of medical biotechnology","volume":"16 4","pages":"233-243"},"PeriodicalIF":0.0000,"publicationDate":"2024-10-01","publicationTypes":"Journal Article","fieldsOfStudy":null,"isOpenAccess":false,"openAccessPdf":"https://www.ncbi.nlm.nih.gov/pmc/articles/PMC11589430/pdf/","citationCount":"0","resultStr":null,"platform":"Semanticscholar","paperid":null,"PeriodicalName":"Avicenna journal of medical biotechnology","FirstCategoryId":"1085","ListUrlMain":"https://doi.org/10.18502/ajmb.v16i4.16739","RegionNum":0,"RegionCategory":null,"ArticlePicture":[],"TitleCN":null,"AbstractTextCN":null,"PMCID":null,"EPubDate":"","PubModel":"","JCR":"Q3","JCRName":"Biochemistry, Genetics and Molecular Biology","Score":null,"Total":0}
引用次数: 0

Abstract

Background: Diabetic Foot Ulcer (DFU) might be worsened by neuropathy and vascular issues. This condition can cause 14.3% fatality, stressing the need for effective wound healing therapy. Wound healing is a complex biological process, and human Wharton's Jelly Mesenchymal Stem Cells (hWJMSCs) may help manage DFU treatment issues. This research focuses on utilizing a gel carrier to deliver bioactive substances from Wharton's Jelly Mesenchymal Stem Cells secretome (hWJ-MSCs-Sec) as a possible treatment for DFU.

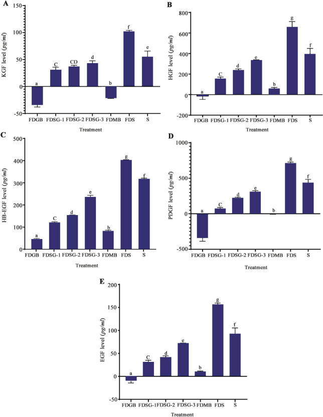
Methods: To maintain quality, hWJMSCs-Sec is thoroughly mixed with carbomer gel and freeze-dried. ELISA test is performed to determine the characterization of the gel of hWJMSCs-Sec such as Keratinocyte Growth Factor (KGF), Platelet-Derived Growth Factor (PDGF), Hepatocyte Growth Factor (HGF), Epidermal Growth Factor (EGF), and Heparin-Binding EGF-Like Growth Factor (HB-EGF). The antioxidant activity was also measured with Hydrogen peroxide (H2O2), Nitric oxide (NO), and Ferric Reducing Antioxidant Power (FRAP) assay. Proliferation assay was utilized using WST-8 and the wound healing potential was assessed via the migration cell ability of scratched-human skin fibroblast (BJ cells).

Results: The freeze-dried hWJ-MSCs-Sec showed higher levels of KGF, HGF, PDGF, EGF, HB-EGF, and the antioxidant activities compared to fresh hWJ-MSCs-Sec. Additionally, the gel of freeze-dried hWJ-MSCs-Sec exhibited higher levels compared to the gel of fresh hWJMSCs-Sec. This was evidenced by faster closure of scratched wounds on BJ cells treated with hWJMSCs-Sec and freeze-dried hWJ-MSCs-Sec gel.

Conclusion: The freeze-dried hWJ-MSCs-Sec gel exhibits superior quality compared to the non-freeze-dried hWJ-MSCs-Sec gel. This demonstrates that the freeze-drying procedure can maintain the bioactive chemicals found in hWJMSCs-Sec, potentially enhancing the efficacy of this gel in promoting cell regeneration for wound healing.

Abstract Image

Abstract Image

Abstract Image

基于人类沃顿果冻间充质干细胞分泌组的局部凝胶的治疗应用潜力。
背景:糖尿病足溃疡(DFU)可能会因神经病变和血管问题而恶化。这种疾病可导致 14.3% 的患者死亡,因此需要有效的伤口愈合疗法。伤口愈合是一个复杂的生物过程,而人类沃顿果冻间充质干细胞(hWJMSCs)可能有助于控制糖尿病足溃疡的治疗问题。本研究的重点是利用凝胶载体从沃顿果冻间充质干细胞分泌组(hWJ-MSCs-Sec)中输送生物活性物质,作为治疗 DFU 的一种可能方法:为保证质量,hWJ-MSCs-Sec与卡波姆凝胶充分混合并冷冻干燥。方法:将 hWJMSCs-Sec 与卡波姆凝胶充分混合并冷冻干燥,然后进行 ELISA 检测,以确定 hWJMSCs-Sec 凝胶的特性,如角质细胞生长因子(KGF)、血小板衍生生长因子(PDGF)、肝细胞生长因子(HGF)、表皮生长因子(EGF)和肝素结合型 EGF 样生长因子(HB-EGF)。抗氧化活性还通过过氧化氢(H2O2)、一氧化氮(NO)和铁还原抗氧化力(FRAP)测定法进行了测定。使用 WST-8 进行增殖试验,并通过划痕人皮肤成纤维细胞(BJ 细胞)的迁移能力评估伤口愈合潜力:结果:与新鲜的hWJ-MSCs-Sec相比,冻干的hWJ-MSCs-Sec显示出更高水平的KGF、HGF、PDGF、EGF、HB-EGF和抗氧化活性。此外,与新鲜 hWJ-MSCs-Sec 的凝胶相比,冻干 hWJ-MSCs-Sec 的凝胶表现出更高的水平。用 hWJMSCs-Sec 和冻干 hWJ-MSCs-Sec 凝胶处理的 BJ 细胞上划伤的伤口闭合得更快,就证明了这一点:结论:冻干hWJ-MSCs-Sec凝胶的质量优于非冻干hWJ-MSCs-Sec凝胶。这表明冷冻干燥过程可以保持 hWJ-间充质干细胞-Sec 中的生物活性化学物质,从而有可能提高这种凝胶在促进伤口愈合的细胞再生方面的功效。
本文章由计算机程序翻译,如有差异,请以英文原文为准。
求助全文
约1分钟内获得全文 求助全文
来源期刊
Avicenna journal of medical biotechnology
Avicenna journal of medical biotechnology Biochemistry, Genetics and Molecular Biology-Biotechnology
CiteScore
2.90
自引率
0.00%
发文量
43
×
引用
GB/T 7714-2015
复制
MLA
复制
APA
复制
导出至
BibTeX EndNote RefMan NoteFirst NoteExpress
×
提示
您的信息不完整,为了账户安全,请先补充。
现在去补充
×
提示
您因"违规操作"
具体请查看互助需知
我知道了
×
提示
确定
请完成安全验证×
copy
已复制链接
快去分享给好友吧!
我知道了
右上角分享
点击右上角分享
0
联系我们:info@booksci.cn Book学术提供免费学术资源搜索服务,方便国内外学者检索中英文文献。致力于提供最便捷和优质的服务体验。 Copyright © 2023 布克学术 All rights reserved.
京ICP备2023020795号-1
ghs 京公网安备 11010802042870号
Book学术文献互助
Book学术文献互助群
群 号:604180095
Book学术官方微信