The Association Between Social Desirability and Competitive Anxiety in Young Football Players with Different Qualifications.

IF 1.6 Q3 PSYCHOLOGY, MULTIDISCIPLINARY
Psychology in Russia-State of the Art Pub Date : 2024-09-15 eCollection Date: 2024-01-01 DOI:10.11621/pir.2024.0308
Murad B Sultanov
{"title":"The Association Between Social Desirability and Competitive Anxiety in Young Football Players with Different Qualifications.","authors":"Murad B Sultanov","doi":"10.11621/pir.2024.0308","DOIUrl":null,"url":null,"abstract":"<p><strong>Background: </strong>Sports performance anxiety is understood as a tendency to respond with cognitive or physical anxiety in competitive situations where the athlete's performance can be assessed.</p><p><strong>Objective: </strong>To investigate the role of social desirability and competitive anxiety in male football players with varying levels of skill. The study had two main objectives: first, to assess the levels of social desirability and competitive anxiety in two different groups, and second, to compare the levels of social desirability and competitive anxiety between highly skilled and less skilled players and explore their relationship.</p><p><strong>Design: </strong>Participants were divided into highly skilled (<i>n</i> = 39) and less skilled (<i>n</i> = 39) football players. The Eysenck Personality Questionnaire was used to assess the participants' social desirability bias. The Sport Competition Anxiety Test assessed the level of competitive anxiety. The <i>t</i>-test for independent samples was used to compare social desirability and competitive anxiety between the groups. A linear regression model was used to determine if social desirability could predict anxiety levels among the players.</p><p><strong>Results: </strong>The <i>t</i>-test showed that highly skilled players have a lower level of competitive anxiety than less skilled participants. However, social desirability did not show a statistically significant difference between the highly skilled and less skilled football players. The regression analysis showed a statistically significant association between social desirability and competitive anxiety (inverse relation) in both groups.</p><p><strong>Conclusion: </strong>Highly skilled football players demonstrated less competitive anxiety than less skilled ones. Lower levels of competitive anxiety are associated with higher social desirability among football players in both groups.</p>","PeriodicalId":44621,"journal":{"name":"Psychology in Russia-State of the Art","volume":"17 3","pages":"114-124"},"PeriodicalIF":1.6000,"publicationDate":"2024-09-15","publicationTypes":"Journal Article","fieldsOfStudy":null,"isOpenAccess":false,"openAccessPdf":"https://www.ncbi.nlm.nih.gov/pmc/articles/PMC11574563/pdf/","citationCount":"0","resultStr":null,"platform":"Semanticscholar","paperid":null,"PeriodicalName":"Psychology in Russia-State of the Art","FirstCategoryId":"1085","ListUrlMain":"https://doi.org/10.11621/pir.2024.0308","RegionNum":0,"RegionCategory":null,"ArticlePicture":[],"TitleCN":null,"AbstractTextCN":null,"PMCID":null,"EPubDate":"2024/1/1 0:00:00","PubModel":"eCollection","JCR":"Q3","JCRName":"PSYCHOLOGY, MULTIDISCIPLINARY","Score":null,"Total":0}
引用次数: 0

Abstract

Background: Sports performance anxiety is understood as a tendency to respond with cognitive or physical anxiety in competitive situations where the athlete's performance can be assessed.

Objective: To investigate the role of social desirability and competitive anxiety in male football players with varying levels of skill. The study had two main objectives: first, to assess the levels of social desirability and competitive anxiety in two different groups, and second, to compare the levels of social desirability and competitive anxiety between highly skilled and less skilled players and explore their relationship.

Design: Participants were divided into highly skilled (n = 39) and less skilled (n = 39) football players. The Eysenck Personality Questionnaire was used to assess the participants' social desirability bias. The Sport Competition Anxiety Test assessed the level of competitive anxiety. The t-test for independent samples was used to compare social desirability and competitive anxiety between the groups. A linear regression model was used to determine if social desirability could predict anxiety levels among the players.

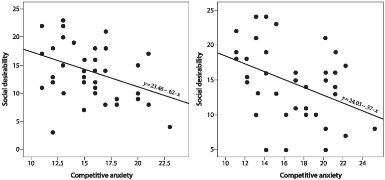
Results: The t-test showed that highly skilled players have a lower level of competitive anxiety than less skilled participants. However, social desirability did not show a statistically significant difference between the highly skilled and less skilled football players. The regression analysis showed a statistically significant association between social desirability and competitive anxiety (inverse relation) in both groups.

Conclusion: Highly skilled football players demonstrated less competitive anxiety than less skilled ones. Lower levels of competitive anxiety are associated with higher social desirability among football players in both groups.

Abstract Image

不同资历的年轻足球运动员的社交欲望与竞技焦虑之间的关系。
背景:运动成绩焦虑被理解为运动员在竞技状态下的认知或身体焦虑反应倾向:运动成绩焦虑是指在竞技状态下,运动员的成绩可能会受到评估,从而产生认知或生理上的焦虑反应:调查不同技术水平的男性足球运动员的社交欲望和竞技焦虑的作用。研究有两个主要目标:第一,评估两个不同组别的社交欲望和竞技焦虑水平;第二,比较技术水平高和技术水平低的运动员的社交欲望和竞技焦虑水平,并探讨它们之间的关系:将参与者分为技术高超的足球运动员(39 人)和技术较差的足球运动员(39 人)。艾森克人格问卷用于评估参与者的社会理想偏好。体育竞赛焦虑测试评估竞技焦虑水平。采用独立样本 t 检验来比较两组之间的社交欲望和竞争焦虑。采用线性回归模型来确定社交欲望是否能预测运动员的焦虑水平:结果:t 检验显示,技术高超的选手比技术较差的选手具有更低的竞技焦虑水平。然而,在统计学上,技术高超的足球运动员和技术较差的足球运动员之间的社会理想度并没有显著差异。回归分析表明,两组球员的社交欲望与竞技焦虑之间存在显著的统计学关联(反向关系):结论:技术高超的足球运动员比技术较差的足球运动员表现出更少的竞争焦虑。两组足球运动员较低的竞技焦虑水平与较高的社交渴望度有关。
本文章由计算机程序翻译,如有差异,请以英文原文为准。
求助全文
约1分钟内获得全文 求助全文
来源期刊
Psychology in Russia-State of the Art
Psychology in Russia-State of the Art PSYCHOLOGY, MULTIDISCIPLINARY-
CiteScore
2.00
自引率
11.10%
发文量
11
审稿时长
14 weeks
期刊介绍: Established in 2008, the Russian Psychological Society''s Journal «Psychology in Russia: State of the Art» publishes original research on all aspects of general psychology including cognitive, clinical, developmental, social, neuropsychology, psychophysiology, psychology of labor and ergonomics, and methodology of psychological science. Journal''s list of authors comprises prominent scientists, practitioners and experts from leading Russian universities, research institutions, state ministries and private practice. Addressing current challenges of psychology, it also reviews developments in novel areas such as security, sport, and art psychology, as well as psychology of negotiations, cyberspace and virtual reality. The journal builds upon theoretical foundations laid by the works of Vygotsky, Luria and other Russian scientists whose works contributed to shaping the psychological science worldwide, and welcomes international submissions which make major contributions across the range of psychology, especially appreciating the ones conducted in the paradigm of the Russian psychological tradition. It enjoys a wide international readership and features reports of empirical studies, book reviews and theoretical contributions, which aim to further our understanding of psychology.
×
引用
GB/T 7714-2015
复制
MLA
复制
APA
复制
导出至
BibTeX EndNote RefMan NoteFirst NoteExpress
×
提示
您的信息不完整,为了账户安全,请先补充。
现在去补充
×
提示
您因"违规操作"
具体请查看互助需知
我知道了
×
提示
确定
请完成安全验证×
copy
已复制链接
快去分享给好友吧!
我知道了
右上角分享
点击右上角分享
0
联系我们:info@booksci.cn Book学术提供免费学术资源搜索服务,方便国内外学者检索中英文文献。致力于提供最便捷和优质的服务体验。 Copyright © 2023 布克学术 All rights reserved.
京ICP备2023020795号-1
ghs 京公网安备 11010802042870号
Book学术文献互助
Book学术文献互助群
群 号:604180095
Book学术官方微信