The effects of controlled acute psychological stress on serum cortisol and plasma metanephrine concentrations in healthy subjects.

IF 1 4区 医学 Q3 MEDICAL LABORATORY TECHNOLOGY
Annals of Clinical Biochemistry Pub Date : 2025-05-01 Epub Date: 2024-11-18 DOI:10.1177/00045632241301618
Aaron Vage, Gerard Gormley, Paul K Hamilton
{"title":"The effects of controlled acute psychological stress on serum cortisol and plasma metanephrine concentrations in healthy subjects.","authors":"Aaron Vage, Gerard Gormley, Paul K Hamilton","doi":"10.1177/00045632241301618","DOIUrl":null,"url":null,"abstract":"<p><p>BackgroundAs cortisol and metanephrine are involved in the stress response, it is often recommended that individuals are relaxed at the time of venepuncture, however, evidence behind these recommendations is lacking. We investigated the effects of acute psychological stress on serum cortisol and plasma metanephrine concentrations in healthy individuals exposed to varying levels of psychological stress and compared these results to self-reported measures of stress.MethodsTen medical students completed two medical in-person simulations (one low-complexity, one high-complexity) in a random order. At four times, participants completed the State-Trait Anxiety Inventory (STAI) and serum cortisol and plasma metanephrine/normetanephrine were tested.ResultsMedian (interquartile range) STAI prior to the low-complexity simulation was 44 (18) versus 33 (13) afterwards (<i>P</i> = 0.050). STAI prior to the high-complexity simulation was 33 (10) versus 48 (17) afterwards (<i>P</i> = 0.007). Cortisol prior to the low-complexity simulation was 272 nmol/L (115) versus 247 (115) afterwards (<i>P</i> = 0.333). Prior to the high-complexity simulation, cortisol was 246 (70) versus 261 (137) afterwards (<i>P</i> = 0.859). Metanephrine prior to the low-complexity simulation was 242 pmol/L (79) versus 247 (93) afterwards (<i>P</i> = 0.515). Metanephrine prior to the high-complexity simulation was 220 (81) versus 251 pmol/L (120) afterwards (<i>P</i> = 0.074). Normetanephrine prior to the low-complexity simulation was 593 pmol/L (247) versus 682 (281) afterwards (<i>P</i> = 0.047 for the difference). Normetanephrine prior to the high-complexity simulation was 696 (123) versus 705 pmol/L (224) afterwards (<i>P</i> = 0.169).ConclusionsThe trend in cortisol levels largely reflected changes in STAI. We outline some implications of these findings for current practice and future research.</p>","PeriodicalId":8005,"journal":{"name":"Annals of Clinical Biochemistry","volume":" ","pages":"165-173"},"PeriodicalIF":1.0000,"publicationDate":"2025-05-01","publicationTypes":"Journal Article","fieldsOfStudy":null,"isOpenAccess":false,"openAccessPdf":"https://www.ncbi.nlm.nih.gov/pmc/articles/PMC12049574/pdf/","citationCount":"0","resultStr":null,"platform":"Semanticscholar","paperid":null,"PeriodicalName":"Annals of Clinical Biochemistry","FirstCategoryId":"3","ListUrlMain":"https://doi.org/10.1177/00045632241301618","RegionNum":4,"RegionCategory":"医学","ArticlePicture":[],"TitleCN":null,"AbstractTextCN":null,"PMCID":null,"EPubDate":"2024/11/18 0:00:00","PubModel":"Epub","JCR":"Q3","JCRName":"MEDICAL LABORATORY TECHNOLOGY","Score":null,"Total":0}
引用次数: 0

Abstract

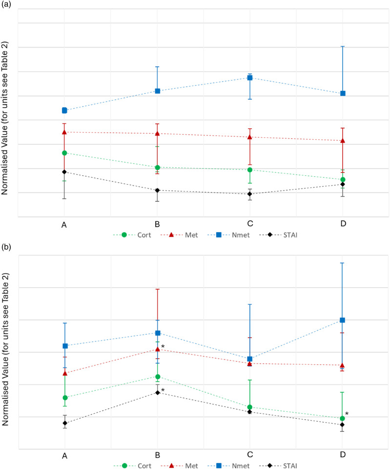
BackgroundAs cortisol and metanephrine are involved in the stress response, it is often recommended that individuals are relaxed at the time of venepuncture, however, evidence behind these recommendations is lacking. We investigated the effects of acute psychological stress on serum cortisol and plasma metanephrine concentrations in healthy individuals exposed to varying levels of psychological stress and compared these results to self-reported measures of stress.MethodsTen medical students completed two medical in-person simulations (one low-complexity, one high-complexity) in a random order. At four times, participants completed the State-Trait Anxiety Inventory (STAI) and serum cortisol and plasma metanephrine/normetanephrine were tested.ResultsMedian (interquartile range) STAI prior to the low-complexity simulation was 44 (18) versus 33 (13) afterwards (P = 0.050). STAI prior to the high-complexity simulation was 33 (10) versus 48 (17) afterwards (P = 0.007). Cortisol prior to the low-complexity simulation was 272 nmol/L (115) versus 247 (115) afterwards (P = 0.333). Prior to the high-complexity simulation, cortisol was 246 (70) versus 261 (137) afterwards (P = 0.859). Metanephrine prior to the low-complexity simulation was 242 pmol/L (79) versus 247 (93) afterwards (P = 0.515). Metanephrine prior to the high-complexity simulation was 220 (81) versus 251 pmol/L (120) afterwards (P = 0.074). Normetanephrine prior to the low-complexity simulation was 593 pmol/L (247) versus 682 (281) afterwards (P = 0.047 for the difference). Normetanephrine prior to the high-complexity simulation was 696 (123) versus 705 pmol/L (224) afterwards (P = 0.169).ConclusionsThe trend in cortisol levels largely reflected changes in STAI. We outline some implications of these findings for current practice and future research.

Abstract Image

Abstract Image

Abstract Image

受控急性心理压力对健康受试者血清皮质醇和血浆肾上腺素浓度的影响。
背景:由于皮质醇和甲肾上腺素参与应激反应,因此通常建议人们在静脉穿刺时保持放松,但这些建议背后缺乏证据。我们研究了急性心理压力对健康人血清皮质醇和血浆肾上腺素浓度的影响,这些人暴露在不同程度的心理压力下,并将这些结果与自我报告的压力测量结果进行了比较:十名医科学生以随机顺序完成了两个医学现场模拟(一个低复杂度,一个高复杂度)。参与者在四个时间段完成了状态-特质焦虑量表(STAI),并检测了血清皮质醇和血浆甲肾上腺素/正肾上腺素:低复杂度模拟前的 STAI 中位数(四分位数间距)为 44(18),模拟后为 33(13)(P = 0.050)。高复杂性模拟前的 STAI 为 33(10),模拟后为 48(17)(P = 0.007)。低复杂度模拟前的皮质醇为 272 nmol/L (115),模拟后为 247 (115) (P = 0.333)。在进行高复杂性模拟之前,皮质醇为 246 (70) 升,之后为 261 (137) 升(P = 0.859)。低复杂度模拟前的肾上腺素为 242 pmol/L (79),模拟后为 247 (93) (P = 0.515)。高复杂性模拟前的肾上腺素为 220(81),而模拟后为 251 pmol/L(120)(P = 0.074)。常肾上腺素在低复杂度模拟之前为 593 pmol/L (247),之后为 682 pmol/L (281)(差异为 P = 0.047)。高复杂性模拟前的正常肾上腺素为 696(123),而模拟后为 705 pmol/L(224)(P = 0.169):皮质醇水平的变化趋势在很大程度上反映了 STAI 的变化。我们概述了这些发现对当前实践和未来研究的一些影响。
本文章由计算机程序翻译,如有差异,请以英文原文为准。
求助全文
约1分钟内获得全文 求助全文
来源期刊
Annals of Clinical Biochemistry
Annals of Clinical Biochemistry Biochemistry, Genetics and Molecular Biology-Clinical Biochemistry
CiteScore
5.20
自引率
4.50%
发文量
61
期刊介绍: Annals of Clinical Biochemistry is the fully peer reviewed international journal of the Association for Clinical Biochemistry and Laboratory Medicine. Annals of Clinical Biochemistry accepts papers that contribute to knowledge in all fields of laboratory medicine, especially those pertaining to the understanding, diagnosis and treatment of human disease. It publishes papers on clinical biochemistry, clinical audit, metabolic medicine, immunology, genetics, biotechnology, haematology, microbiology, computing and management where they have both biochemical and clinical relevance. Papers describing evaluation or implementation of commercial reagent kits or the performance of new analysers require substantial original information. Unless of exceptional interest and novelty, studies dealing with the redox status in various diseases are not generally considered within the journal''s scope. Studies documenting the association of single nucleotide polymorphisms (SNPs) with particular phenotypes will not normally be considered, given the greater strength of genome wide association studies (GWAS). Research undertaken in non-human animals will not be considered for publication in the Annals. Annals of Clinical Biochemistry is also the official journal of NVKC (de Nederlandse Vereniging voor Klinische Chemie) and JSCC (Japan Society of Clinical Chemistry).
×
引用
GB/T 7714-2015
复制
MLA
复制
APA
复制
导出至
BibTeX EndNote RefMan NoteFirst NoteExpress
×
提示
您的信息不完整,为了账户安全,请先补充。
现在去补充
×
提示
您因"违规操作"
具体请查看互助需知
我知道了
×
提示
确定
请完成安全验证×
copy
已复制链接
快去分享给好友吧!
我知道了
右上角分享
点击右上角分享
0
联系我们:info@booksci.cn Book学术提供免费学术资源搜索服务,方便国内外学者检索中英文文献。致力于提供最便捷和优质的服务体验。 Copyright © 2023 布克学术 All rights reserved.
京ICP备2023020795号-1
ghs 京公网安备 11010802042870号
Book学术文献互助
Book学术文献互助群
群 号:604180095
Book学术官方微信