Influence of impaired glucose tolerance and type 2 diabetes on the multimorbidity cluster of cardiovascular disease and cancer: a post hoc analysis of the Da Qing Diabetes Prevention Outcome Study.

IF 8.3 1区 医学 Q1 MEDICINE, GENERAL & INTERNAL
Fei Chen, Jinping Wang, Siyao He, Yifan He, Yali An, Qiuhong Gong, Xiaoping Chen, Ying Shuai, Xuan Wang, Yanyan Chen, Bo Zhang, Guangwei Li
{"title":"Influence of impaired glucose tolerance and type 2 diabetes on the multimorbidity cluster of cardiovascular disease and cancer: a post hoc analysis of the Da Qing Diabetes Prevention Outcome Study.","authors":"Fei Chen, Jinping Wang, Siyao He, Yifan He, Yali An, Qiuhong Gong, Xiaoping Chen, Ying Shuai, Xuan Wang, Yanyan Chen, Bo Zhang, Guangwei Li","doi":"10.1186/s12916-024-03749-6","DOIUrl":null,"url":null,"abstract":"<p><strong>Background: </strong>This study explored the influence of type 2 diabetes and impaired glucose tolerance (IGT) on the risk of the multimorbidity cluster of cardiovascular disease (CVD) and cancer.</p><p><strong>Methods: </strong>A total of 1629 participants in the Da Qing Diabetes Prevention Outcome Study were recruited in the present analysis, including normal glucose tolerance (NGT, N = 492), IGT (N = 540), and newly diagnosed type 2 diabetes (N = 597) groups. Cox proportional hazards analyses were performed to assess the relationship between NGT, IGT, and newly diagnosed type 2 diabetes and the risk of the multimorbidity cluster of CVD and cancer.</p><p><strong>Results: </strong>The incidence rates for multimorbidity cluster CVD and cancer were 1.25, 3.17, and 3.23 per 1000 person-years in people with NGT, IGT, and the newly diagnosed type 2 diabetes groups, respectively, over 34-year follow-up. Cox analysis revealed that diabetes status (as time-dependent variable) was significantly associated with the subsequent increased risk of multimorbidity cluster of CVD and cancer compared with non-diabetes (hazard ratios [HR] = 2.55, 95% confidence interval [CI] 1.51-4.31) after adjustment of potential confounders. Similar analysis showed that this risk was significantly higher in the IGT and newly diagnosed type 2 diabetes groups compared with NGT, with HR of 3.28 (95% CI 1.83-5.87) and HR of 3.90 (95% CI 2.14-7.09), respectively. Whereas compared diabetes with IGT group, this risk was not significantly different.</p><p><strong>Conclusions: </strong>Similar to newly diagnosed type 2 diabetes, IGT is significantly associated with an increased risk of the multimorbidity cluster of CVD and cancer compared with NGT. This finding highlights the urgent need for an active detection of IGT and effective prevention and management of diabetes.</p>","PeriodicalId":9188,"journal":{"name":"BMC Medicine","volume":"22 1","pages":"534"},"PeriodicalIF":8.3000,"publicationDate":"2024-11-15","publicationTypes":"Journal Article","fieldsOfStudy":null,"isOpenAccess":false,"openAccessPdf":"https://www.ncbi.nlm.nih.gov/pmc/articles/PMC11566220/pdf/","citationCount":"0","resultStr":null,"platform":"Semanticscholar","paperid":null,"PeriodicalName":"BMC Medicine","FirstCategoryId":"3","ListUrlMain":"https://doi.org/10.1186/s12916-024-03749-6","RegionNum":1,"RegionCategory":"医学","ArticlePicture":[],"TitleCN":null,"AbstractTextCN":null,"PMCID":null,"EPubDate":"","PubModel":"","JCR":"Q1","JCRName":"MEDICINE, GENERAL & INTERNAL","Score":null,"Total":0}
引用次数: 0

Abstract

Background: This study explored the influence of type 2 diabetes and impaired glucose tolerance (IGT) on the risk of the multimorbidity cluster of cardiovascular disease (CVD) and cancer.

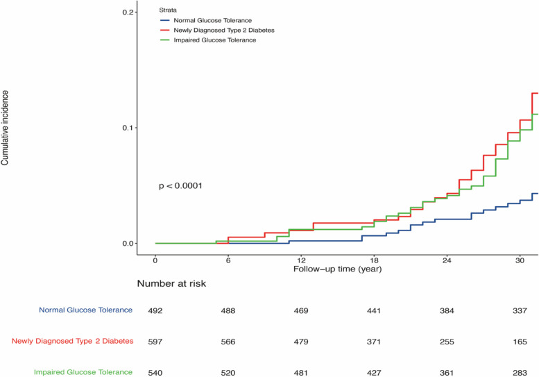
Methods: A total of 1629 participants in the Da Qing Diabetes Prevention Outcome Study were recruited in the present analysis, including normal glucose tolerance (NGT, N = 492), IGT (N = 540), and newly diagnosed type 2 diabetes (N = 597) groups. Cox proportional hazards analyses were performed to assess the relationship between NGT, IGT, and newly diagnosed type 2 diabetes and the risk of the multimorbidity cluster of CVD and cancer.

Results: The incidence rates for multimorbidity cluster CVD and cancer were 1.25, 3.17, and 3.23 per 1000 person-years in people with NGT, IGT, and the newly diagnosed type 2 diabetes groups, respectively, over 34-year follow-up. Cox analysis revealed that diabetes status (as time-dependent variable) was significantly associated with the subsequent increased risk of multimorbidity cluster of CVD and cancer compared with non-diabetes (hazard ratios [HR] = 2.55, 95% confidence interval [CI] 1.51-4.31) after adjustment of potential confounders. Similar analysis showed that this risk was significantly higher in the IGT and newly diagnosed type 2 diabetes groups compared with NGT, with HR of 3.28 (95% CI 1.83-5.87) and HR of 3.90 (95% CI 2.14-7.09), respectively. Whereas compared diabetes with IGT group, this risk was not significantly different.

Conclusions: Similar to newly diagnosed type 2 diabetes, IGT is significantly associated with an increased risk of the multimorbidity cluster of CVD and cancer compared with NGT. This finding highlights the urgent need for an active detection of IGT and effective prevention and management of diabetes.

Abstract Image

Abstract Image

糖耐量受损和 2 型糖尿病对心血管疾病和癌症多病群的影响:对大庆糖尿病预防结果研究的事后分析。
背景:本研究探讨了2型糖尿病和糖耐量受损(IGT)对心血管疾病(CVD)和癌症多发病风险的影响:本研究探讨了2型糖尿病和糖耐量受损(IGT)对心血管疾病(CVD)和癌症多病群风险的影响:本分析共招募了1629名大庆糖尿病预防结果研究的参与者,包括糖耐量正常组(NGT,N = 492)、糖耐量受损组(IGT,N = 540)和新诊断的2型糖尿病组(N = 597)。我们进行了 Cox 比例危险度分析,以评估 NGT、IGT 和新诊断的 2 型糖尿病与心血管疾病和癌症等多病风险之间的关系:结果:在34年的随访中,NGT、IGT和新诊断的2型糖尿病患者的心血管疾病和癌症多发病群发病率分别为每千人年1.25例、3.17例和3.23例。Cox 分析显示,在调整潜在的混杂因素后,糖尿病状态(作为时间依赖变量)与心血管疾病和癌症的多病群发风险增加显著相关(危险比 [HR] = 2.55,95% 置信区间 [CI] 1.51-4.31)。类似的分析表明,与非糖尿病组相比,IGT 组和新诊断的 2 型糖尿病组的风险明显更高,HR 分别为 3.28(95% CI 1.83-5.87)和 3.90(95% CI 2.14-7.09)。而糖尿病与 IGT 组相比,这一风险没有明显差异:结论:与新诊断的 2 型糖尿病相似,IGT 与 NGT 相比,与心血管疾病和癌症的多病群发风险增加密切相关。这一发现凸显了积极检测 IGT 以及有效预防和管理糖尿病的迫切需要。
本文章由计算机程序翻译,如有差异,请以英文原文为准。
求助全文
约1分钟内获得全文 求助全文
来源期刊
BMC Medicine
BMC Medicine 医学-医学:内科
CiteScore
13.10
自引率
1.10%
发文量
435
审稿时长
4-8 weeks
期刊介绍: BMC Medicine is an open access, transparent peer-reviewed general medical journal. It is the flagship journal of the BMC series and publishes outstanding and influential research in various areas including clinical practice, translational medicine, medical and health advances, public health, global health, policy, and general topics of interest to the biomedical and sociomedical professional communities. In addition to research articles, the journal also publishes stimulating debates, reviews, unique forum articles, and concise tutorials. All articles published in BMC Medicine are included in various databases such as Biological Abstracts, BIOSIS, CAS, Citebase, Current contents, DOAJ, Embase, MEDLINE, PubMed, Science Citation Index Expanded, OAIster, SCImago, Scopus, SOCOLAR, and Zetoc.
×
引用
GB/T 7714-2015
复制
MLA
复制
APA
复制
导出至
BibTeX EndNote RefMan NoteFirst NoteExpress
×
提示
您的信息不完整,为了账户安全,请先补充。
现在去补充
×
提示
您因"违规操作"
具体请查看互助需知
我知道了
×
提示
确定
请完成安全验证×
copy
已复制链接
快去分享给好友吧!
我知道了
右上角分享
点击右上角分享
0
联系我们:info@booksci.cn Book学术提供免费学术资源搜索服务,方便国内外学者检索中英文文献。致力于提供最便捷和优质的服务体验。 Copyright © 2023 布克学术 All rights reserved.
京ICP备2023020795号-1
ghs 京公网安备 11010802042870号
Book学术文献互助
Book学术文献互助群
群 号:604180095
Book学术官方微信